Modeling and Control of a Cable-Suspended Sling-Like Parallel Robot for Throwing Operations †
Abstract
Featured Application
Abstract
1. Introduction
2. Kinematic and Dynamic Model
3. Launch Trajectory Planning
4. Optimal Trajectory
4.1. Optimization Method
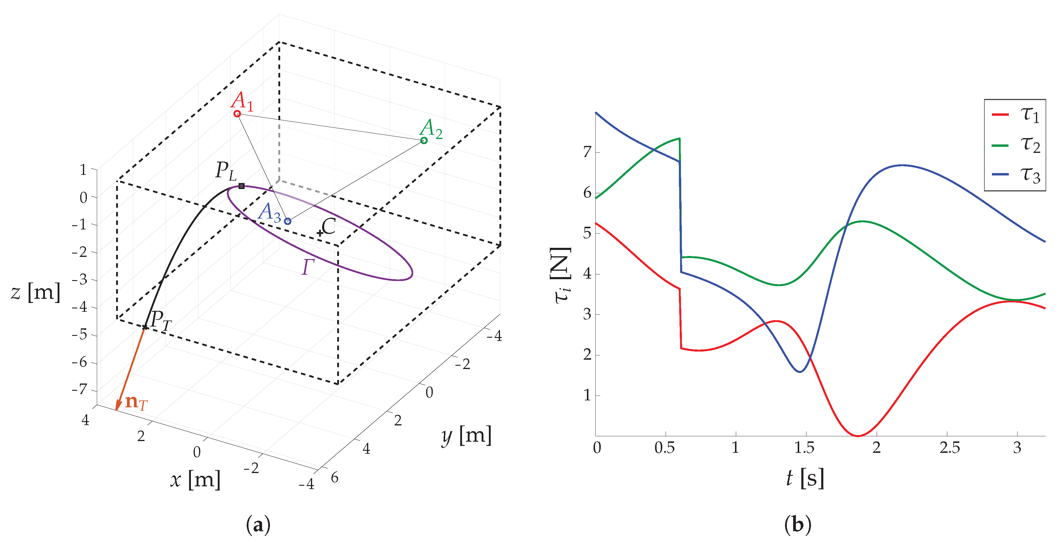
4.2. Numerical Example
5. Cable Elasticity
6. Conclusions
- optimizing the robot trajectory in order to reduce the discontinuity (in the rigid-body model) of cable tensions at the launch instant, which may cause oscillations after launch;
- studying tension fluctuations that are triggered, in the elastic model, even before the launch (see Figure 6);
- considering the effect of air drag; the trajectory of a point-mass object in free-flight through a viscous medium is described by differential equations that generally do not allow closed-form solutions, but some authors [29] propose tractable models that approximate the real solution;
- experimentally validating our results by tests on a prototype (currently under development).
Author Contributions
Funding
Acknowledgments
Conflicts of Interest
Abbreviations
| CDPR | Cable-Driven Parallel Robot |
| CSPR | Cable-Suspended Parallel Robot |
| EE | End-Effector |
| DoF | Degree of Freedom |
| SEW | Static Equilibrium Workspace |
| DW | Dynamic Workspace |
References
- Riechel, A.T.; Ebert-Uphoff, I. Force-feasible workspace analysis for underconstrained point-mass cable robots. In Proceedings of the IEEE 2004 ICRA, New Orleans, LA, USA, 26 April–1 May 2004; Volume 5, pp. 4956–4962. [Google Scholar] [CrossRef]
- Barrette, G.; Gosselin, C.M. Determination of the dynamic workspace of cable-driven planar parallel mechanisms. ASME J. Mech. Des. 2005, 127, 242–248. [Google Scholar] [CrossRef]
- Zhang, N.; Shang, W. Dynamic trajectory planning of a 3-DOF under-constrained cable-driven parallel robot. Mech. Mach. Theory 2016, 98, 21–35. [Google Scholar] [CrossRef]
- Zhang, N.; Shang, W.; Cong, S. Geometry-based trajectory planning of a 3-3 cable-suspended parallel robot. IEEE Trans. Robot. 2016, 33, 484–491. [Google Scholar] [CrossRef]
- Zhang, N.; Shang, W.; Cong, S. Dynamic trajectory planning for a spatial 3-DoF cable-suspended parallel robot. Mech. Mach. Theory 2018, 122, 177–196. [Google Scholar] [CrossRef]
- Jiang, X.; Gosselin, C.M. Dynamically feasible trajectories for three-DOF planar cable-suspended parallel robots. In Proceedings of the ASME 2014 IDETC/CIE, Buffalo, NY, USA, 17–20 August 2014; Volume 5A, p. V05AT08A085. [Google Scholar] [CrossRef]
- Mottola, G.; Gosselin, C.M.; Carricato, M. Dynamically feasible periodic trajectories for generic spatial three-degrees-of-freedom cable-suspended parallel robots. ASME J. Mech. Rob. 2018, 10, 031004. [Google Scholar] [CrossRef]
- Gosselin, C.M. Global planning of dynamically feasible trajectories for three-DOF spatial cable-suspended parallel robots. In Cable-Driven Parallel Robots; Mechanisms and Machine Science; Bruckmann, T., Pott, A., Eds.; Springer: Berlin/Heidelberg, Germany, 2013; Volume 12, pp. 3–22. [Google Scholar] [CrossRef]
- Shao, Z.; Li, T.; Tang, X.; Tang, L.; Deng, H. Research on the dynamic trajectory of spatial cable-suspended parallel manipulators with actuation redundancy. Mechatronics 2018, 49, 26–35. [Google Scholar] [CrossRef]
- Mottola, G.; Gosselin, C.M.; Carricato, M. Dynamically feasible motions of a class of purely-translational cable-suspended parallel robots. Mech. Mach. Theory 2019, 132, 193–206. [Google Scholar] [CrossRef]
- Mottola, G.; Gosselin, C.M.; Carricato, M. Effect of actuation errors on a purely-translational spatial cable-driven parallel robot. In Proceedings of the IEEE 9th Annual International Conference on CYBER Technology in Automation, Control, and Intelligent Systems (CYBER), Suzhou, China, 29 July–2 August 2019; pp. 701–707. [Google Scholar] [CrossRef]
- Saber, O.; Zohoor, H. Workspace analysis of a cable-suspended robot with active-passive cables. In Proceedings of the ASME 2013 IDETC/CIE, Portland, OR, USA, 4–7 August 2013; Volume 6A, p. V06AT07A071. [Google Scholar] [CrossRef]
- Mason, M.T.; Lynch, K.M. Dynamic manipulation. In Proceedings of the IEEE/RSJ 1993 IROS, Yokohama, Japan, 26–30 July 1993; Volume 1, pp. 152–159. [Google Scholar] [CrossRef]
- Lynch, K.M.; Mason, M.T. Dynamic nonprehensile manipulation: Controllability, planning, and experiments. Int. J. Rob. Res. 1999, 18, 64–92. [Google Scholar] [CrossRef]
- Tabata, T.; Aiyama, Y. Tossing manipulation by 1 degree-of-freedom manipulator. In Proceedings of the IEEE/RSJ 2001 IROS, Maui, HI, USA, 29 October–3 November 2001; Volume 1, pp. 132–137. [Google Scholar] [CrossRef]
- Miyashita, H.; Yamawaki, T.; Yashima, M. Control for throwing manipulation by one joint robot. In Proceedings of the IEEE 2009 ICRA, Kobe, Japan, 12–17 May 2009; pp. 1273–1278. [Google Scholar] [CrossRef]
- Reist, P.; D’Andrea, R. Design and analysis of a blind juggling robot. IEEE Trans. Robot. 2012, 28, 1228–1243. [Google Scholar] [CrossRef]
- Ruggiero, F.; Lippiello, V.; Siciliano, B. Nonprehensile dynamic manipulation: A survey. IEEE Robot. Autom. Lett. 2018, 3, 1711–1718. [Google Scholar] [CrossRef]
- Sakaguchi, T.; Fujita, M.; Watanabe, H.; Miyazaki, F. Motion planning and control for a robot performer. In Proceedings of the IEEE 1993 ICRA, Atlanta, GA, USA, 2–6 May 1993; Volume 3, pp. 925–931. [Google Scholar] [CrossRef]
- Mettin, U.; Shiriaev, A.S.; Freidovich, L.B.; Sampei, M. Optimal ball pitching with an underactuated model of a human arm. In Proceedings of the IEEE 2010 ICRA, Anchorage, AL, USA, 3–7 May 2010; pp. 5009–5014. [Google Scholar] [CrossRef]
- Yedeg, E.L.; Wadbro, E. State constrained optimal control of a ball pitching robot. Mech. Mach. Theory 2013, 69, 337–349. [Google Scholar] [CrossRef]
- Shoji, T.; Katsumata, S.; Nakaura, S.; Sampei, M. Throwing motion control of the springed Pendubot. IEEE Trans. Control Syst. Technol. 2013, 21, 950–957. [Google Scholar] [CrossRef]
- Senoo, T.; Namiki, A.; Ishikawa, M. High-speed throwing motion based on kinetic chain approach. In Proceedings of the IEEE/RSJ 2008 IROS, Nice, France, 22–26 September 2008; pp. 3206–3211. [Google Scholar] [CrossRef]
- Zeng, A.; Song, S.; Lee, J.; Rodriguez, A.; Funkhouser, T. TossingBot: Learning to throw arbitrary objects with residual physics. IEEE Trans. Robot. 2020, 36, 1307–1319. [Google Scholar] [CrossRef]
- Bätz, G.; Lee, K.K.; Wollherr, D.; Buss, M. Robot basketball: A comparison of ball dribbling with visual and force/torque feedback. In Proceedings of the IEEE 2009 ICRA, Kobe, Japan, 12–17 May 2009; pp. 514–519. [Google Scholar] [CrossRef]
- Sintov, A.; Shapiro, A. A stochastic dynamic motion planning algorithm for object-throwing. In Proceedings of the IEEE 2015 ICRA, Seattle, WA, USA, 26–30 May 2015; pp. 2475–2480. [Google Scholar] [CrossRef]
- Okada, M.; Pekarovskiy, A.; Buss, M. Robust trajectory design for object throwing based on sensitivity for model uncertainties. In Proceedings of the IEEE 2015 ICRA, Seattle, WA, USA, 26–30 May 2015; pp. 3089–3094. [Google Scholar] [CrossRef]
- Frank, H.; Wellerdick-Wojtasik, N.; Hagebeuker, B.; Novak, G.; Mahlknecht, S. Throwing objects—A bio-inspired approach for the transportation of parts. In Proceedings of the IEEE 2006 ROBIO, Kunming, China, 17–20 December 2006; pp. 91–96. [Google Scholar] [CrossRef]
- Frank, T.; Janoske, U.; Mittnacht, A.; Schroedter, C. Automated throwing and capturing of cylinder-shaped objects. In Proceedings of the IEEE 2012 ICRA, Saint Paul, MN, USA, 14–18 May 2012; pp. 5264–5270. [Google Scholar] [CrossRef]
- Barteit, D.; Frank, H.; Kupzog, F. Accurate prediction of interception positions for catching thrown objects in production systems. In Proceedings of the IEEE 2008 6th INDIN, Daejeon, Korea, 13–16 July 2008; pp. 893–898. [Google Scholar] [CrossRef]
- Arisumi, H.; Kotoku, T.; Komoriya, K. A study of casting manipulation (swing motion control and planning of throwing motion). In Proceedings of the IEEE/RSJ 1997 IROS, Grenoble, France, 11 September 1997; Volume 1, pp. 168–174. [Google Scholar] [CrossRef]
- Arisumi, H.; Kotoku, T.; Komoriya, K. Swing motion control of casting manipulation. IEEE Contr. Syst. Mag. 1999, 19, 56–64. [Google Scholar] [CrossRef]
- Arisumi, H.; Yokoi, K.; Komoriya, K. Casting manipulation—Midair control of a gripper by impulsive force. IEEE Trans. Robot. 2008, 24, 402–415. [Google Scholar] [CrossRef]
- Fagiolini, A.; Torelli, A.; Bicchi, A. Casting robotic end-effectors to reach far objects in space and planetary missions. In Proceedings of the 9th ESA Workshop Advanced Space Technologies for Robotics and Automation, ASTRA 2006, Noordwijk, The Netherlands, 28–30 November 2006. [Google Scholar]
- Fagiolini, A.; Belo, F.A.W.; Catalano, M.G.; Bonomo, F.; Alicino, S.; Bicchi, A. Design and control of a novel 3D casting manipulator. In Proceedings of the IEEE 2010 ICRA, Anchorage, AL, USA, 3–7 May 2010; pp. 4169–4174. [Google Scholar] [CrossRef]
- Arisumi, H.; Otsuki, M.; Nishida, S. Launching penetrator by casting manipulator system. In Proceedings of the IEEE/RSJ 2012 IROS, Vilamoura, Portugal, 7–12 October 2012; pp. 5052–5058. [Google Scholar] [CrossRef]
- Tsukagoshi, H.; Watari, E.; Fuchigami, K.; Kitagawa, A. Casting device for search and rescue aiming higher and faster access in disaster site. In Proceedings of the IEEE/RSJ 2012 IROS, Vilamoura, Portugal, 7–12 October 2012; pp. 4348–4353. [Google Scholar] [CrossRef]
- Hill, L.; Woodward, T.; Arisumi, H.; Hatton, R.L. Wrapping a target with a tethered projectile. In Proceedings of the IEEE 2015 ICRA, Seattle, WA, USA, 26–30 May 2015; pp. 1442–1447. [Google Scholar] [CrossRef]
- Hatakeyama, T.; Mochiyama, H. Shooting manipulation inspired by chameleon. IEEE Trans. Mechatron. 2013, 18, 527–535. [Google Scholar] [CrossRef]
- Pongratz, M.; Pollhammer, K.; Szep, A. KOROS initiative: Automatized throwing and catching for material transportation. In Leveraging Applications of Formal Methods, Verification, and Validation (ISoLA 2011); Communications in Computer and Information Science; Hähnle, R., Knoop, J., Margaria, T., Schreiner, D., Steffen, B., Eds.; Springer: Berlin/Heidelberg, Germany, 2011; Volume 336, pp. 136–143. [Google Scholar] [CrossRef]
- Chen, H.; Zhang, B.; Fuhlbrigge, T. Robot throwing trajectory planning for solid waste handling. In Proceedings of the IEEE 9th Annual International Conference on CYBER Technology in Automation, Control, and Intelligent Systems (CYBER), Suzhou, China, 29 July–2 August 2019; pp. 1372–1375. [Google Scholar] [CrossRef]
- Raptopoulos, F.; Koskinopoulou, M.; Maniadakis, M. Robotic pick-and-toss facilitates urban waste sorting. In Proceedings of the IEEE 16th International Conference on Automation Science and Engineering (CASE), Hong Kong, China, 20–21 August 2020; pp. 1149–1154. [Google Scholar] [CrossRef]
- Jiang, X. Dynamic Trajectory Planning and Synthesis for Fully Actuated Cable-Suspended Parallel Robots. Ph.D. Thesis, Université Laval, Québec, QC, Canada, 2017. [Google Scholar]
- Cveticanin, L. Dynamics of Bodies with Time-Variable Mass. In Mathematical and Analytical Techniques with Applications to Engineering; Springer: Cham, Switzerland, 2016. [Google Scholar] [CrossRef]
- Pott, A. Cable-driven parallel robots: Theory and application. In Springer Tracts in Advanced Robotics; Springer: Cham, Switzerland, 2018; Volume 120. [Google Scholar] [CrossRef]







Publisher’s Note: MDPI stays neutral with regard to jurisdictional claims in published maps and institutional affiliations. |
© 2020 by the authors. Licensee MDPI, Basel, Switzerland. This article is an open access article distributed under the terms and conditions of the Creative Commons Attribution (CC BY) license (http://creativecommons.org/licenses/by/4.0/).
Share and Cite
Lin, D.; Mottola, G.; Carricato, M.; Jiang, X. Modeling and Control of a Cable-Suspended Sling-Like Parallel Robot for Throwing Operations. Appl. Sci. 2020, 10, 9067. https://doi.org/10.3390/app10249067
Lin D, Mottola G, Carricato M, Jiang X. Modeling and Control of a Cable-Suspended Sling-Like Parallel Robot for Throwing Operations. Applied Sciences. 2020; 10(24):9067. https://doi.org/10.3390/app10249067
Chicago/Turabian StyleLin, Deng, Giovanni Mottola, Marco Carricato, and Xiaoling Jiang. 2020. "Modeling and Control of a Cable-Suspended Sling-Like Parallel Robot for Throwing Operations" Applied Sciences 10, no. 24: 9067. https://doi.org/10.3390/app10249067
APA StyleLin, D., Mottola, G., Carricato, M., & Jiang, X. (2020). Modeling and Control of a Cable-Suspended Sling-Like Parallel Robot for Throwing Operations. Applied Sciences, 10(24), 9067. https://doi.org/10.3390/app10249067

