Temperature Dependence of Normalized Sensitivity of Love Wave Sensor of Unidirectional Carbon Fiber Epoxy Composite on Mn-Doped 0.24PIN-0.46PMN-0.30PT Single Crystal Substrate
Abstract
1. Introduction
2. Theory and Equation
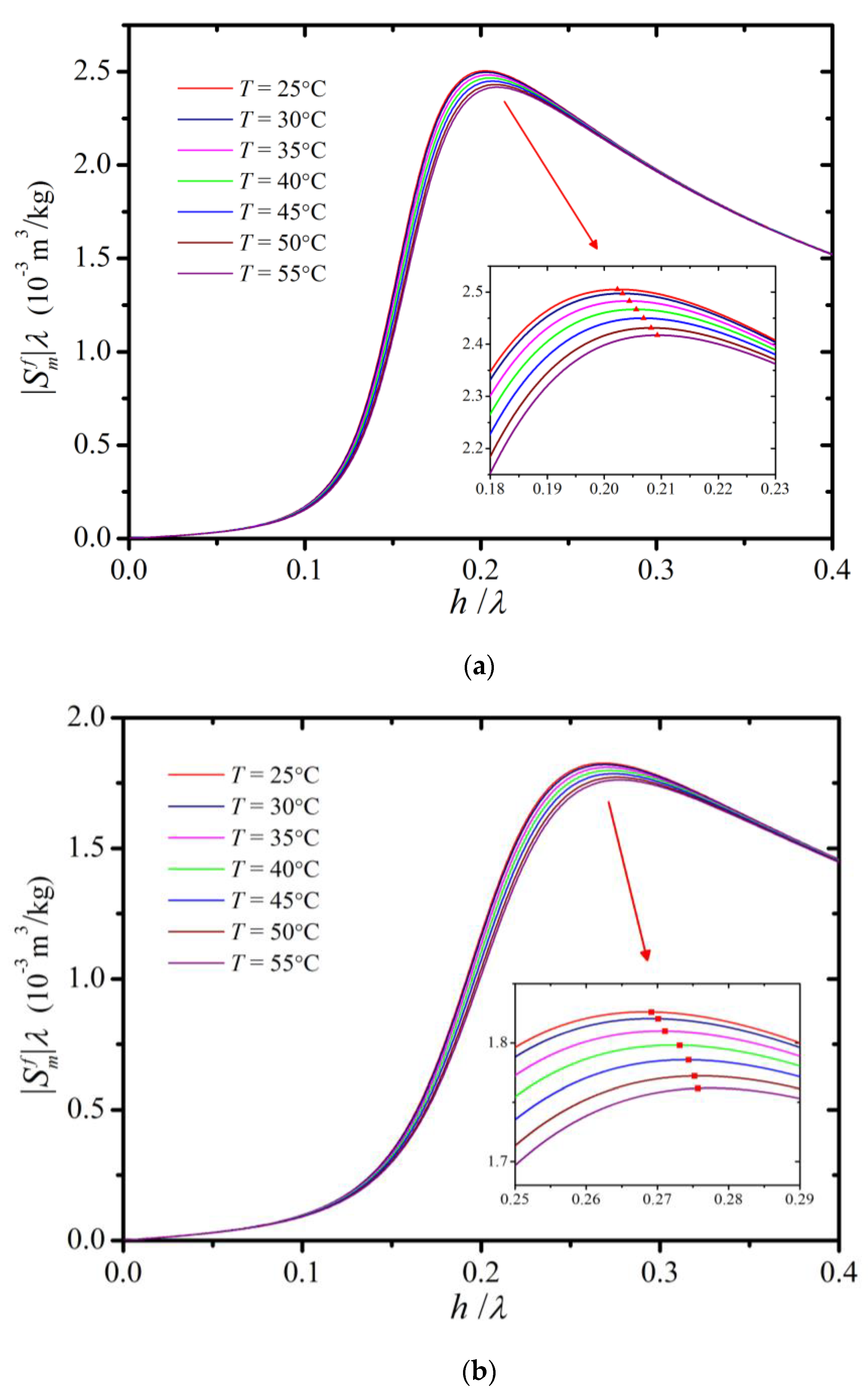
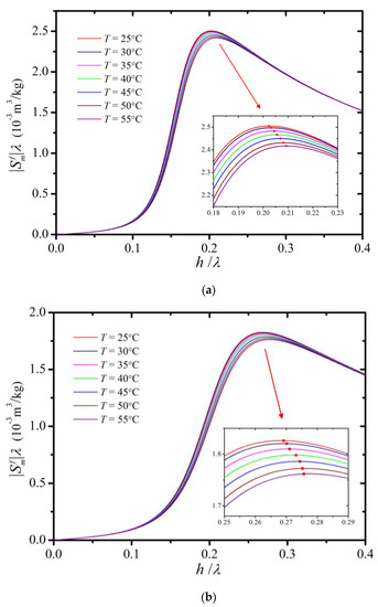
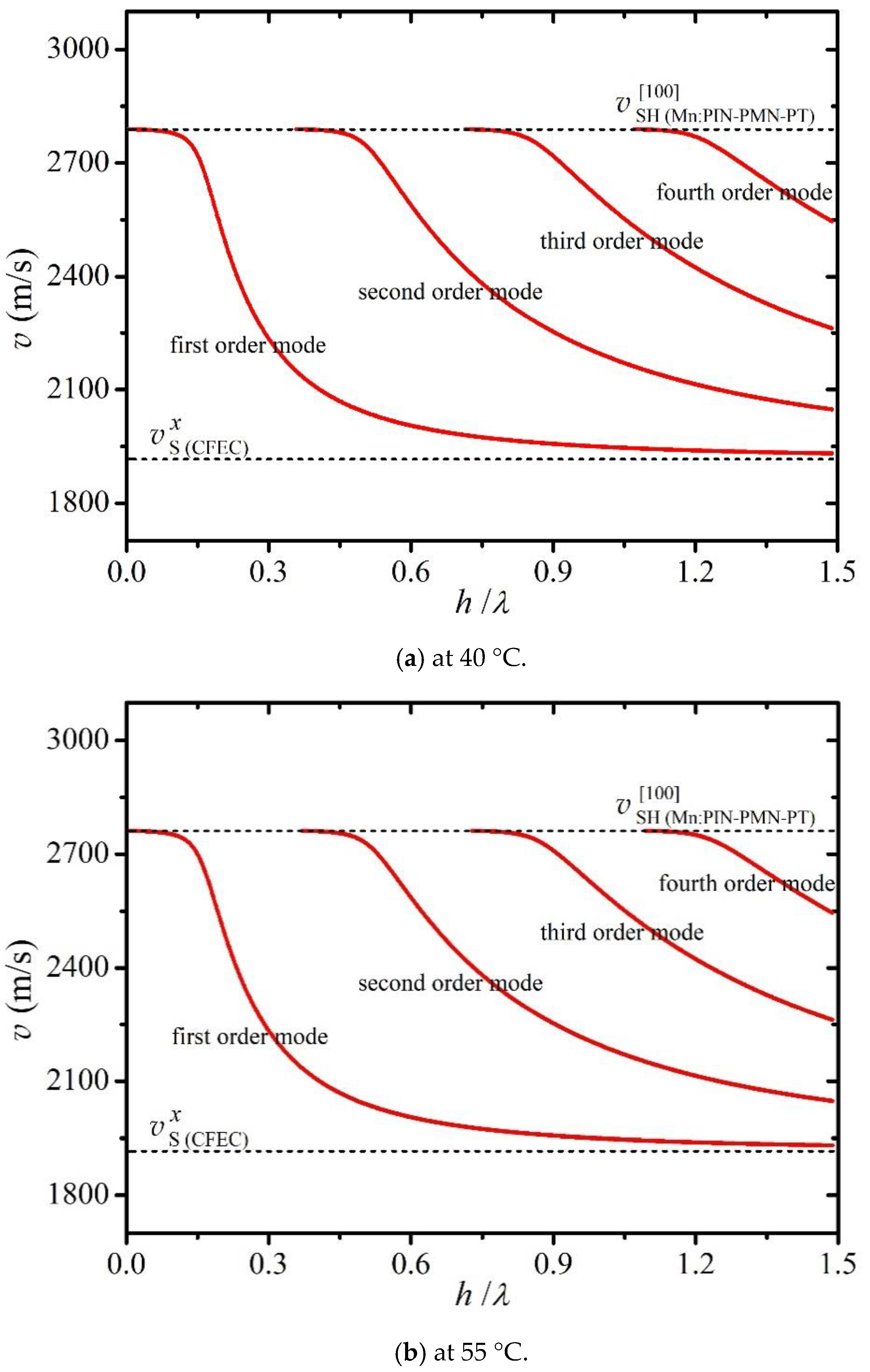
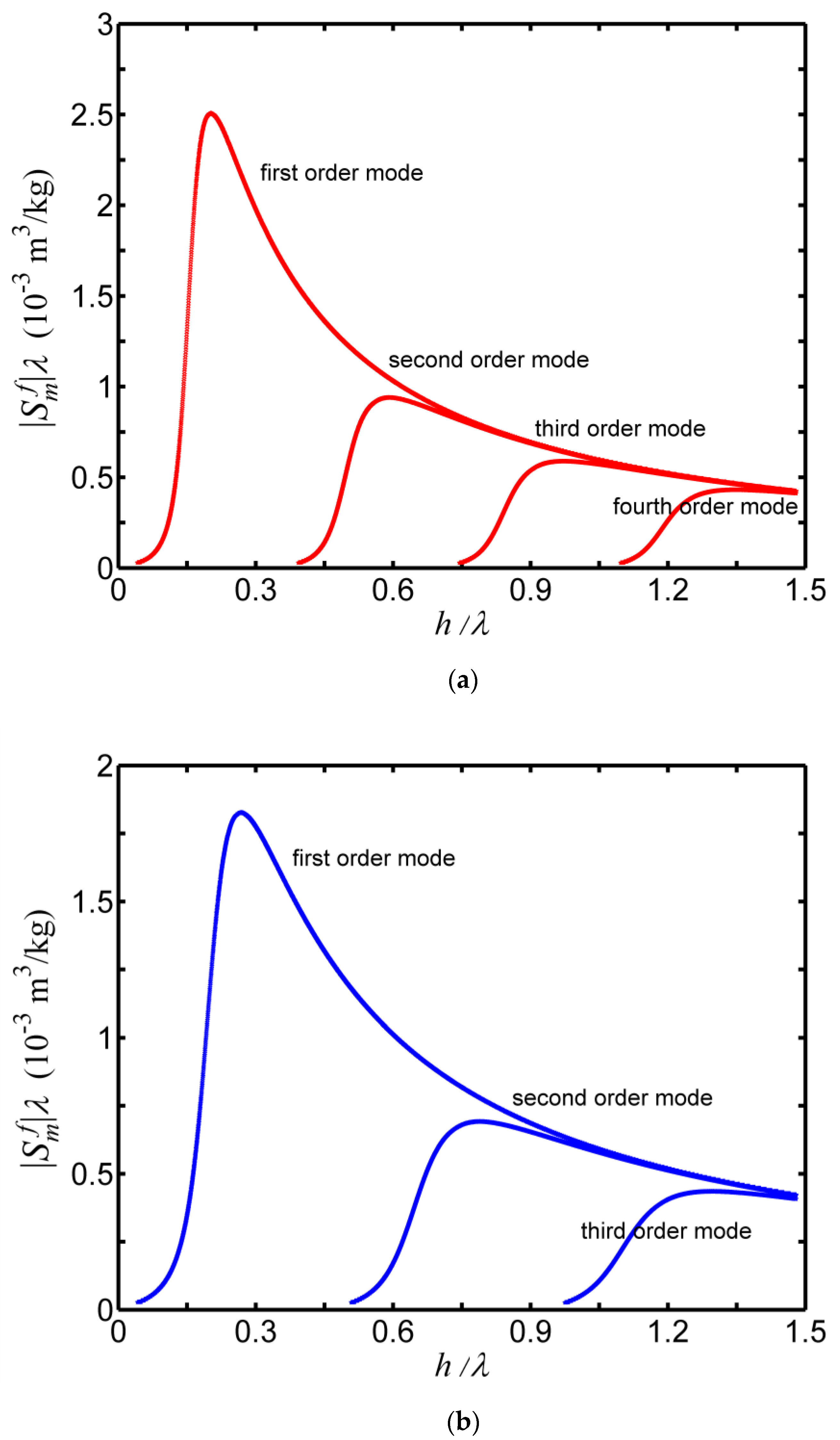
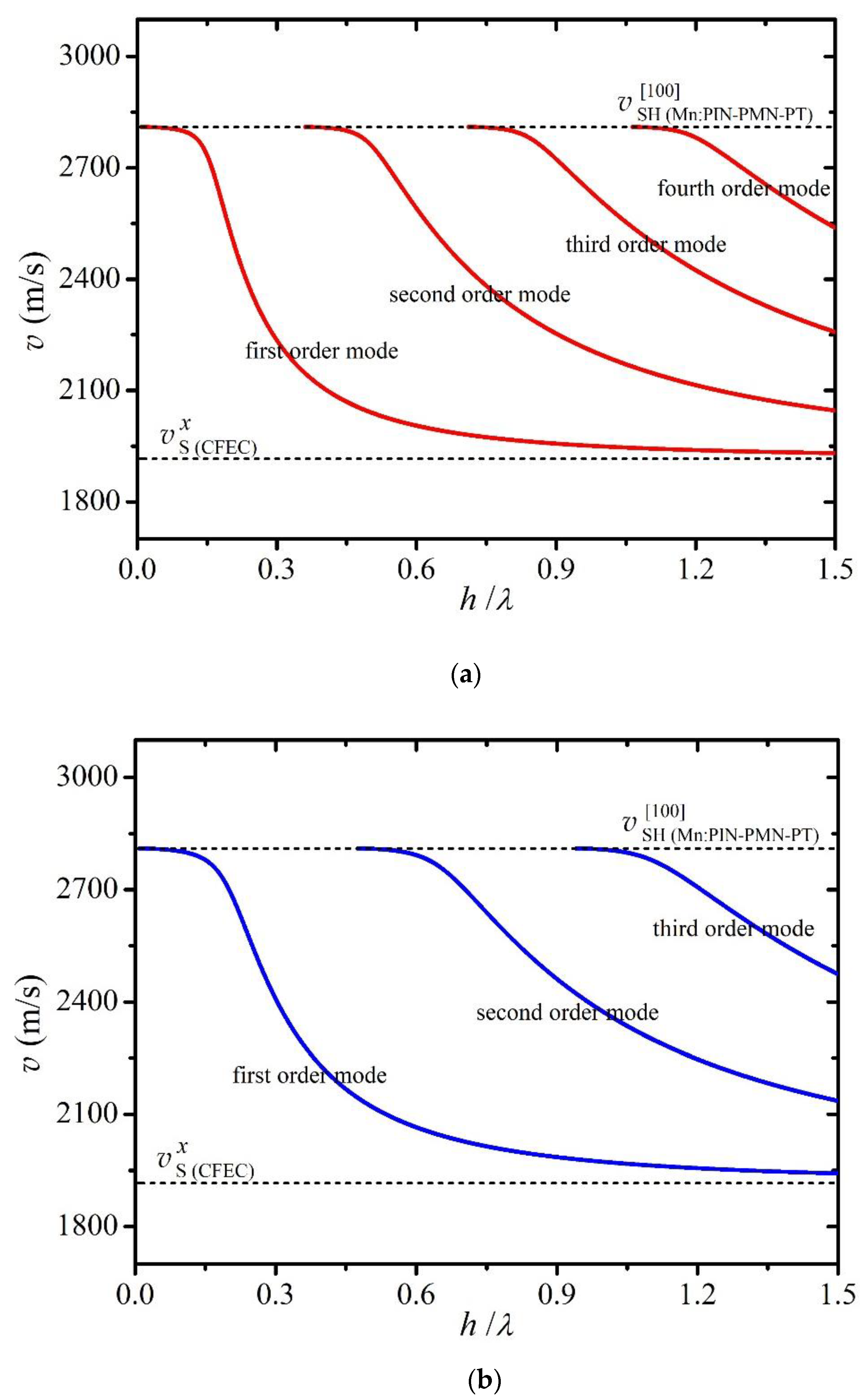
3. Results and Discussion
4. Conclusions
Author Contributions
Funding
Acknowledgments
Conflicts of Interest
Appendix A




References
- Puiu, M.; Gurban, A.M.; Rotariu, L.; Brajnicov, S.; Viespe, C.; Bala, C. Enhanced Sensitive Love Wave Surface Acoustic Wave Sensor Designed for Immunoassay Formats. Sensors 2015, 15, 10511–10525. [Google Scholar] [CrossRef] [PubMed]
- Nikolaou, I.; Hallil, H.; Plano, B.; Deligeorgis, G.; Conedera, V.; Garcia, H.; Dejous, C.; Rebière, D. Drop-casted Graphene Oxide Love wave sensor for detection of humidity and VOCs. J. Integr. Circuits Syst. 2016, 11, 49–56. [Google Scholar]
- Wang, W.; Fan, S.Y.; Liang, Y.; He, S.T.; Pan, Y.; Zhang, C.H.; Dong, C. Enhanced Sensitivity of a Love Wave-Based Methane Gas Sensor Incorporating a Cryptophane-A Thin Film. Sensors 2018, 18, 3247. [Google Scholar] [CrossRef] [PubMed]
- Jakoby, B.; Vellekoop, M.J. Properties of Love waves: Applications in sensors. Smart Mater. Struct. 1997, 6, 668–679. [Google Scholar] [CrossRef]
- Herrmann, F.; Weihnacht, M.; Büttgenbach, S. Temperature-compensated Love mode sensors based on quartz/SiO2 and LiTaO3/SiO2 systems. Proc. SPIE-Int. Soc. Opt. Eng. Adv. Environ. Chem. Sens. Technol. 2001, 4205, 180–187. [Google Scholar]
- Chen, X.; Liu, D.L. Temperature stability of ZnO-based Love wave biosensor with SiO2 buffer layer. Sens. Actuators A 2009, 156, 317–322. [Google Scholar] [CrossRef]
- Hu, Y.W.; Xiang, J.W.; Sun, X.Y. Temperature Compensation Experiment of Love Wave Sensor. Adv. Mater. Res. 2012, 490, 673–677. [Google Scholar] [CrossRef]
- Xu, F.Q.; Wang, W.; Hou, J.L.; Liu, M.H. Temperature Effects on the Propagation Characteristics of Love Waves along Multi-Guide Layers of SiO2/Su-8 on St-90° X Quartz. Sensors 2012, 12, 7337–7349. [Google Scholar] [CrossRef]
- Zhang, Y.; Lin, C.T.; Yang, S. Fabrication of hierarchical pillar arrays from thermoplastic and photosensitive SU-8. Small 2010, 6, 768–775. [Google Scholar] [CrossRef]
- Jakoby, B.; Bastemeijer, J.; Vellekoop, M.J. Temperature-compensated Love-wave sensors on quartz substrates. Sens. Actuators 2000, 82, 83–88. [Google Scholar] [CrossRef]
- Harding, G.L.; Du, J.; Dencher, P.R.; Barnett, D.; Howe, E. Love wave acoustic immunosensor operating in liquid. Sens. Actuator A 1997, 61, 279–286. [Google Scholar] [CrossRef]
- Jakubik, W.P.; Urbańczyk, M.W.; Kochowski, S.; Bodzenta, J. Bilayer structure for hydrogen detection in a surface acoustic wave sensor system. Sens. Actuators B 2002, 82, 265–271. [Google Scholar] [CrossRef]
- Jakubik, W.P.; Urban´czyk, M.W.; Kochowski, S.; Bodzenta, J. Palladium and phthalocyanine bilayer films for hydrogen detection in a surface acoustic wave sensor system. Sens. Actuators B 2003, 96, 321–328. [Google Scholar] [CrossRef]
- Yang, Y.; Zhu, D.Z. A Y type SAW mass sensor with metal array reflectors. Sens. Actuators B 2005, 109, 244–248. [Google Scholar] [CrossRef]
- Du, J.; Harding, G.L. A multilayer structure for Love-mode acoustic sensors. Sens. Actuators A 1998, 65, 152–159. [Google Scholar] [CrossRef]
- Wang, Z.; Cheeke, J.D.N.; Jen, C.K. Sensitivity analysis for Love mode acoustic gravimetric sensors. Appl. Phys. Lett. 1994, 64, 2940. [Google Scholar] [CrossRef]
- Wang, W.; Xie, X.; Hou, J.L.; He, S.T. Love Wave Devices with Excellent Temperature Stability for Application in Gas Sensor; IEEE Sensors: Taipei, Taiwan, 2012; pp. 1–4. [Google Scholar]
- Viespe, C.; Dinca, V.; Popescu-Pelin, G.; Miu, D. Love Wave Surface Acoustic Wave Sensor with Laser-Deposited Nanoporous Gold Sensitive Layer. Sensors 2019, 19, 4492. [Google Scholar] [CrossRef]
- Šetka, M.; Bahos, F.A.; Matatagui, D.; Potoček, M.; Kral, Z.; Drbohlavová, J.; Gràcia, I.; Vallejos, S. Love wave sensors based on gold nanoparticle-modified polypyrrole and their properties to ammonia and ethylene. Sens. Actuators B Chem. 2020, 304, 127337. [Google Scholar] [CrossRef]
- Drbohlavová, L.; Fekete, L.; Bovtun, V.; Kempa, M.; Taylor, A.; Liu, Y.; Bou Matar, O.; Talbi, A.; Mortet, V. Love-wave devices with continuous and discrete nanocrystalline diamond coating for biosensing applications. Sens. Actuators A 2019, 298, 111584. [Google Scholar] [CrossRef]
- Tang, Q.B.; Guo, Y.J.; Tang, Y.L.; Long, G.D.; Wang, J.L.; Li, D.J.; Zu, X.T.; Ma, J.Y.; Wang, L.; Torun, H.; et al. Highly sensitive and selective Love mode surface acoustic wave ammonia sensor based on graphene oxides operated at room temperature. J. Mater. Sci. 2019, 54, 11925–11935. [Google Scholar] [CrossRef]
- Chen, G.; Xie, X.; Wang, W.; He, S.T. An experimental research of love wave sensor based on LiTaO3/SiO2 structure. In Proceedings of the 2014 Symposium on Piezoelectricity, Acoustic Waves, and Device Applications, Beijing, China, 30 October–2 November 2014; pp. 1–4. [Google Scholar]
- Wang, W.; Xie, X.; Chen, G.; Liu, J.L.; He, S.T. Temperature-compensated Love wave based gas sensor on waveguide structure of SiO2/36° YX LiTaO3. Smart Mater. Struct. 2015, 24, 065019. [Google Scholar] [CrossRef]
- Bahos, F.A.; Vallejos, S.; Gràcia, I.; Cané, C.; Fernández, M.J.; Horrillo, M.C.; Matatagui, D. High-Performance Ammonia Sensor at Room Temperature Based on a Love-Wave Device with Fe2O3@WO3-x Nanoneedles. Proceedings 2017, 1, 484. [Google Scholar] [CrossRef]
- Kalantar Zadeh, K.; Trinchi, A.; Wlodarski, W.; Holland, A. A novel Love-mode device based on a ZnO/ST-cut quartz crystal structure for sensing applications. Sens. Actuators A 2002, 100, 135–143. [Google Scholar] [CrossRef]
- Huang, N.X.; Lü, T.Q.; Zhang, R.; Cao, W.W. High sensitivity gravimetric sensor made of carbon fiber epoxy composite on Pb(Mg1/3Nb2/3)O3-PbTiO3 single crystal substrate. Appl. Phys. Lett. 2013, 103, 053507. [Google Scholar] [CrossRef]
- Sathish, S.; Welter, J.; Reibel, R.; Buynak, C. Thermo-Elastic Characterization of Heat Damage in Carbon Fiber Epoxy Composites. AIP Conf. Proc. 2006, 820, 1015–1018. [Google Scholar]
- Nakamura, K.; Kazumi, M.; Shimizu, H. SH-type and Rayleigh-type surface waves on rotated Y-cut LiTaO3. In 1977 Ultrasonics Symposium; IEEE: Piscataway, NJ, USA, 1977; pp. 819–822. [Google Scholar]
- Liu, J.S.; He, S.T. Theoretical analysis on Love waves in a layered structure with a piezoelectric substrate and multiple elastic layers. J. Appl. Phys. 2010, 107, 073511. [Google Scholar] [CrossRef]
- Ou, W.C.; Li, S.Y.; Cao, W.W.; Yang, M. A single-mode Mn-doped 0.27PIN-0.46PMN-0.27PT single-crystal ultrasonic motor. J. Electroceram. 2016, 37, 121–126. [Google Scholar] [CrossRef]
- Zhou, Y.M.; Li, Q.; Zhuo, F.P.; Yan, Q.F.; Zhang, Y.L.; Chu, X.C. Anisotropic field induced phase transitions and negative electrocaloric effect in rhombohedral Mn doped Pb(In1/2Nb1/2)O3-Pb(Mg1/3Nb2/3)O3-PbTiO3 single crystals. Ceram. Int. 2018, 44, 9045–9052. [Google Scholar] [CrossRef]
- Chen, Y.; Lam, K.H.; Zhou, D.; Yue, Q.W.; Yu, Y.X.; Wu, J.C.; Qiu, W.B.; Sun, L.; Zhang, C.; Luo, H.S.; et al. High Performance Relaxor-Based Ferroelectric Single Crystals for Ultrasonic Transducer Applications. Sensors 2014, 14, 13730–13758. [Google Scholar] [CrossRef]
- Zhang, S.J.; Li, F. High performance ferroelectric relaxor-PbTiO3 single crystals: Status and perspective. J. Appl. Phys. 2012, 111, 031301. [Google Scholar] [CrossRef]
- Zhang, S.J.; Li, F.; Sherlock, N.P.; Luo, J.; Lee, H.J.; Xia, R.; Meyer Jr, R.J.; Hackenberger, W.; Shrout, T.R. Recent developments on high Curie temperature PIN–PMN–PT ferroelectric crystals. J. Cryst. Growth 2011, 318, 846–850. [Google Scholar] [CrossRef] [PubMed]
- Li, Y.; Tang, Y.X.; Chen, J.W.; Zhao, X.Y.; Yang, L.R.; Wang, F.F.; Zeng, Z.H.; Luo, S. Enhanced pyroelectric properties and thermal stability of Mn-doped 0.29Pb(In1/2Nb1/2)O3-0.29Pb(Mg1/3Nb2/3)O3-0.42PbTiO3 single crystals. Appl. Phys. Lett. 2018, 112, 172901. [Google Scholar] [CrossRef]
- Huo, X.Q.; Zhang, S.J.; Liu, G.; Zhang, R.; Luo, J.; Sahul, R.; Cao, W.W.; Shrout, T.R. Complete set of elastic, dielectric, and piezoelectric constants of [011]c poled rhombohedral Pb(In0.5Nb0.5)O3-Pb(Mg1/3Nb2/3)O3-PbTiO3:Mn single crystals. J. Appl. Phys. 2013, 113, 074106. [Google Scholar] [CrossRef] [PubMed]
- Chen, C.W.; Zhang, R.; Chen, H.; Cao, W.W. Guided wave propagation in 0.67Pb(Mg1/3Nb2/3)O3-0.33PbTiO3 single crystal plate poled along [001]c. Appl. Phys. Lett. 2007, 91, 02907. [Google Scholar] [CrossRef]
- Nayfeh, A.H.; Chien, H.T. The influence of piezoelectricity on free and reflected waves from fluid-loaded anisotropic plates. J. Acoust. Soc. Am. 1992, 91, 1250–1261. [Google Scholar] [CrossRef]
- Yang, C.H.; Chimenti, D.E. Acoustic waves in a piezoelectric plate loaded by a dielectric fluid. Appl. Phys. Lett. 1993, 63, 1328. [Google Scholar] [CrossRef]
- Yang, C.H.; Chimenti, D.E. Guided plate waves in piezoelectrics immersed in a dielectric fluid. I. Analysis. J. Acoust. Soc. Am. 1995, 97, 2103–2109. [Google Scholar] [CrossRef]
- Tang, L.G.; Tian, H.; Zhang, Y.; Cao, W.W. Temperature dependence of dielectric, elastic, and piezoelectric constants of [001]c poled Mn-doped 0.24Pb(In1/2Nb1/2)O3-0.46Pb(Mg1/3Nb2/3)O3-0.30PbTiO3 single crystal. Appl. Phys. Lett. 2016, 108, 082901. [Google Scholar] [CrossRef]
- Huang, N.X.; Lü, T.Q.; Zhang, R.; Cao, W.W. High sensitivity gravimetric sensor made of unidirectional carbon fiber epoxy composite on (1-x)Pb(Zn1/3Nb2/3)O3-xPbTiO3 single crystal substrate. Chin. Phys. B 2014, 23, 117704. [Google Scholar] [CrossRef]
- Auld, B.A. Acoustic Fields and Waves in Solids; Wiley: New York, NY, USA, 1976; Volume 2, Chapter 12; pp. 271–332. [Google Scholar]
- Liu, Q.; Flewitt, A.J. On-chip temperature-compensated Love mode surface acoustic wave device for gravimetric sensing. Appl. Phys. Lett. 2014, 105, 213511. [Google Scholar] [CrossRef]
- Chu, S.Y.; Water, W.; Liaw, J.T. A Study of Love Wave Acoustic Sensors in ZnO/Quartz Structure. Integr. Ferroelectr. 2002, 44, 91–100. [Google Scholar] [CrossRef]
- Water, W.; Yan, Y.S. Characteristics of strontium-doped ZnO films on love wave filter applications. Thin Solid Film. 2007, 515, 6992–6996. [Google Scholar] [CrossRef]
- Le Pommellec, J.Y.; El Baroudi, A. Viscoelastic fluid effect on the surface wave propagation. Sens. Actuators A 2019, 291, 188–195. [Google Scholar]
- Liu, J.S.; Wang, L.J. Dynamics and response of a humidity sensor based on a Love wave device incorporating a polymeric layer. Sens. Actuators B 2014, 204, 50–56. [Google Scholar] [CrossRef]






| Elastic Constants (1010 N/m2) | Density (kg/m3) | ||||||||
|---|---|---|---|---|---|---|---|---|---|
| Fiber Orientation | c11 | c12 | c13 | c22 | c23 | c44 | c55 | c66 | |
| x-axis a | 12.6 | 0.67 | 0.67 | 1.37 | 0.71 | 0.33 | 0.58 | 0.58 | 1580 |
| y-axis a | 1.37 | 0.67 | 0.71 | 12.6 | 0.67 | 0.58 | 0.33 | 0.58 | 1580 |
| Temperature (°C) | 10−3m3/kg | (m/s) | (1010 N/m2) a | (1010 N/m2) a | ||||
|---|---|---|---|---|---|---|---|---|
| x-axis | y-axis | x-axis | y-axis | x-axis | y-axis | |||
| 25 | 2.5052 | 1.8261 | 0.2023 | 0.2691 | 2518.6 | 2492.0 | 6.409 | 6.171 |
| 30 | 2.4974 | 1.8204 | 0.2032 | 0.2701 | 2513.8 | 2488.2 | 6.390 | 6.137 |
| 35 | 2.4830 | 1.8099 | 0.2044 | 0.2710 | 2507.9 | 2484.0 | 6.353 | 6.101 |
| 40 | 2.4669 | 1.7981 | 0.2056 | 0.2731 | 2501.2 | 2476.5 | 6.312 | 6.063 |
| 45 | 2.4500 | 1.7858 | 0.2069 | 0.2744 | 2494.5 | 2471.1 | 6.269 | 6.023 |
| 50 | 2.4314 | 1.7722 | 0.2082 | 0.2752 | 2487.8 | 2467.1 | 6.222 | 5.982 |
| 55 | 2.4174 | 1.7618 | 0.2093 | 0.2757 | 2482.1 | 2464.2 | 6.188 | 5.930 |
| TCF (ppm/°C) | (10−3m3/kg) | h/λ | |||
|---|---|---|---|---|---|
| 25 °C | 35 °C | 45 °C | 55 °C | ||
| −126.62 | 2.5043 | 2.4801 | 2.4415 | 2.4006 | 0.2002 |
| −76.33 | 2.4336 | 2.4216 | 2.4025 | 2.3825 | 0.2251 |
| −50.59 | 2.2834 | 2.2765 | 2.2650 | 2.2547 | 0.2502 |
| −36.09 | 2.1241 | 2.1200 | 2.1133 | 2.1063 | 0.2750 |
| −26.93 | 1.9778 | 1.9748 | 1.9703 | 1.9655 | 0.3002 |
| −20.83 | 1.8437 | 1.8414 | 1.8381 | 1.8345 | 0.3250 |
| −16.45 | 1.7240 | 1.7221 | 1.7198 | 1.7172 | 0.3501 |
| −13.30 | 1.6190 | 1.6177 | 1.6158 | 1.6136 | 0.3750 |
| −10.92 | 1.5228 | 1.5215 | 1.5199 | 1.5183 | 0.4001 |
Publisher’s Note: MDPI stays neutral with regard to jurisdictional claims in published maps and institutional affiliations. |
© 2020 by the authors. Licensee MDPI, Basel, Switzerland. This article is an open access article distributed under the terms and conditions of the Creative Commons Attribution (CC BY) license (http://creativecommons.org/licenses/by/4.0/).
Share and Cite
Huang, N.; Sun, E.; Zhang, R.; Yang, B.; Liu, J.; Lü, T.; Han, L.; Cao, W. Temperature Dependence of Normalized Sensitivity of Love Wave Sensor of Unidirectional Carbon Fiber Epoxy Composite on Mn-Doped 0.24PIN-0.46PMN-0.30PT Single Crystal Substrate. Appl. Sci. 2020, 10, 8442. https://doi.org/10.3390/app10238442
Huang N, Sun E, Zhang R, Yang B, Liu J, Lü T, Han L, Cao W. Temperature Dependence of Normalized Sensitivity of Love Wave Sensor of Unidirectional Carbon Fiber Epoxy Composite on Mn-Doped 0.24PIN-0.46PMN-0.30PT Single Crystal Substrate. Applied Sciences. 2020; 10(23):8442. https://doi.org/10.3390/app10238442
Chicago/Turabian StyleHuang, Naixing, Enwei Sun, Rui Zhang, Bin Yang, Jian Liu, Tianquan Lü, Lianfu Han, and Wenwu Cao. 2020. "Temperature Dependence of Normalized Sensitivity of Love Wave Sensor of Unidirectional Carbon Fiber Epoxy Composite on Mn-Doped 0.24PIN-0.46PMN-0.30PT Single Crystal Substrate" Applied Sciences 10, no. 23: 8442. https://doi.org/10.3390/app10238442
APA StyleHuang, N., Sun, E., Zhang, R., Yang, B., Liu, J., Lü, T., Han, L., & Cao, W. (2020). Temperature Dependence of Normalized Sensitivity of Love Wave Sensor of Unidirectional Carbon Fiber Epoxy Composite on Mn-Doped 0.24PIN-0.46PMN-0.30PT Single Crystal Substrate. Applied Sciences, 10(23), 8442. https://doi.org/10.3390/app10238442
