Next Article in Journal
Surface Texture Measurement on Complex Geometry Using Dual-Scan Positioning Strategy
Next Article in Special Issue
Criticality Analysis for BWR Spent Fuel Based on the Burnup Credit Evaluation from Full Core Simulations
Previous Article in Journal
Anxiolytic, Antidepressant-Like Proprieties and Impact on the Memory of the Hydro-Ethanolic Extract of Origanum majorana L. on Mice
Previous Article in Special Issue
Burnup Credit Evaluation for BWR Spent Fuel from Full Core Calculations
 
 
Font Type:
Arial Georgia Verdana
Font Size:
Aa Aa Aa
Line Spacing:
Column Width:
Background:
Article

System Studies on the Fusion-Fission Hybrid Systems and Its Fuel Cycle

1
Plasma Physics Department, National Research Nuclear University Moscow Engineering Physics Institute, Kashirskoe Hwy 31, 115409 Moscow, Russia
2
Tokamak Department, National Research Center “Kurchatov Institute”, Akademika Kurchatova pl. 1, 123098 Moscow, Russia
*
Authors to whom correspondence should be addressed.
Appl. Sci. 2020, 10(23), 8417; https://doi.org/10.3390/app10238417
Submission received: 8 November 2020 / Revised: 23 November 2020 / Accepted: 24 November 2020 / Published: 26 November 2020
(This article belongs to the Special Issue Nuclear Wastes Management)

Abstract

:
This paper is devoted to applications of fusion-fission hybrid systems (FFHS) as a powerful neutron source implementing transmutation of minor actinides (MA: Np, Am, Cm) extracted from the spent nuclear fuel (SNF) of nuclear reactors. Calculations which simulated nuclide kinetics for the metallic fuel containing MA and neutron transport were performed for particular facilities. Three FFHS with fusion power equal to 40 MW are considered in this study: demo, pilot-industrial and industrial reactors. In addition, needs for a fleet of such reactors are assessed as well as future FFHSs’ impact on Russian Nuclear Power System. A system analysis of nuclear energy development in Russia was also performed with the participation of the FFHSs, with the help of the model created at AO “Proryv”. The quantity of MA that would be produced and transmuted in this scenario is estimated. This research shows that by the means of only one hybrid facility it is possible to reduce by 2130 the mass of MA in the Russian power system by about 28%. In the case of the absence of partitioning and transmutation of MA from SNF, 287 t of MA will accumulate in the Russian power system by 2130.

1. Introduction

1.1. Prerequisites for Minor Actinides Transmutation

One of the most crucial issues for nuclear engineering is to create a closed nuclear fuel cycle that would provide the use of nuclear energy for a long time (more than 1000 years) and improve the safety, ecology and economics of nuclear technology. This issue includes the problem of spent nuclear fuel (SNF) and radioactive waste (RW) management. Minor actinides (MA—Np, Am, Cm) comprise about 0.1–0.15% of SNF mass, have high radiotoxicity and a relatively long half-life [1,2]. One of the ways to manage MA is to dispose of them in geologic repositories. However, there is another approach where MA are transmuted into lighter nuclides. This paper describes the important problems of MA management and a way to solve those using FFHSs.
The value of radiotoxicity shows the real harmful potential of a particular nuclide—thus it is used by a majority of authors. Radiotoxicity is a result of the multiplication of nuclide radioactivity and effective dose coefficient (or DPUI—Dose Per Unit Intake, Sv/Bq) [2]:
R a d i o t o x i c i t y = A · e ( 50 )
where A is the nuclide’s activity (Bq) for a particular moment, e ( 50 ) is the effective dose coefficient (Sv/Bq) that is the dose (Sv) resulting from the intake of 1 Bq from a specific nuclide over 50 years.
As reported in [1,2] the typical SNF of a light water reactor (LWR) consists of more than 95% U, about 1% Pu, only 0.1% MA and about 3–4% fission products (FP). Plutonium and MA (despite their small percentage) provide the main contribution to the long-term radiotoxicity of radioactive waste [2], (Figure 1). The radiotoxicity of fission products declines much faster compared to that of actinides. It reaches the radioactive equilibrium with respect to the uranium ore in about 300 years [2]. If SNF is not reprocessed and transmuted, it reaches the natural radiotoxicity level only after 100,000 years [2]. At the same time, in the European Union alone, nuclear power plants produce annually around 2500 tons of SNF [1], almost the same amount is produced in the USA [3].
The concept of radiation equivalent treatment of radioactive nuclides in nuclear fuel cycle [4] is quite attractive because it could provide a great reduction of safety requirements and costs for the RW repository ([5], p. 516, [6]). This concept implies disposing of radioactive waste that has a radiotoxicity level equal to the natural U or Th ore level (or at least reduced radiotoxicity level).
However, nowadays, many EU countries (and not just EU countries) have chosen a phase-out scenario for nuclear energy (like Sweden [7] and Germany) and/or have decided not to reprocess SNF and simply to dispose of it in geologic repositories (like the USA [1,7]). There are severe problems with this approach. It requires controlling SNF for an impractical length of time, meaning it is very expensive (due to the time and storage space needed), probably unsafe, not to mention the direct disposal of SNF will deprive humanity of a great source of power.
Because of nuclear power RW problem, “pure” thermonuclear fusion reactors seem like a good alternative as they produce much less RW during their operation if the correct materials are chosen [8]. However, the fusion reactor is a very complex facility that is in fact inefficient in utilizing very valuable thermonuclear neutrons. At the same time fusion-fission hybrid systems have relatively easily achieved plasma parameters compared to “pure” thermonuclear fusion reactors [9].
Thus reprocessing the spent nuclear fuel via separating minor actinides, Pu and U seems a promising way forward in development of the nuclear power. Pu and U could be used in fission reactors again. Fission products could be used as sources of radiation, reducing the amount of radioactive waste. As mentioned above, FP lose their radiotoxicity much faster than actinides. The last problem, concerning MA, could be solved via the transmutation of MA in fission reactions which produce fission products. This strategy is called partitioning & transmutation (P&T) [1].
A very hard spectrum is required for the fission of most MA due to the threshold character of their fission cross-sections (Figure 2). In Figure 2, two types of neutron cross-section are shown: fission and capture. The ratio of their average values for a particular neutron spectrum (α) is crucial to effective transmutation. Table 1 shows that the capture-to-fission ratio for the spectrum of a light water reactor is bigger than 1 for most actinides while for the fast reactor spectrum this ratio less than 1 for most actinides. At the same time, α is much greater than 1 for both of the spectrums in the cases of Am-241, Np-237 and Am-243, which comprise the main part of MA.
Another issue connected with MA transmutation is the low fraction of delayed neutrons for MA nuclides (Table 2) [1]. It is an obstacle to MA transmutation in a critical reactor.
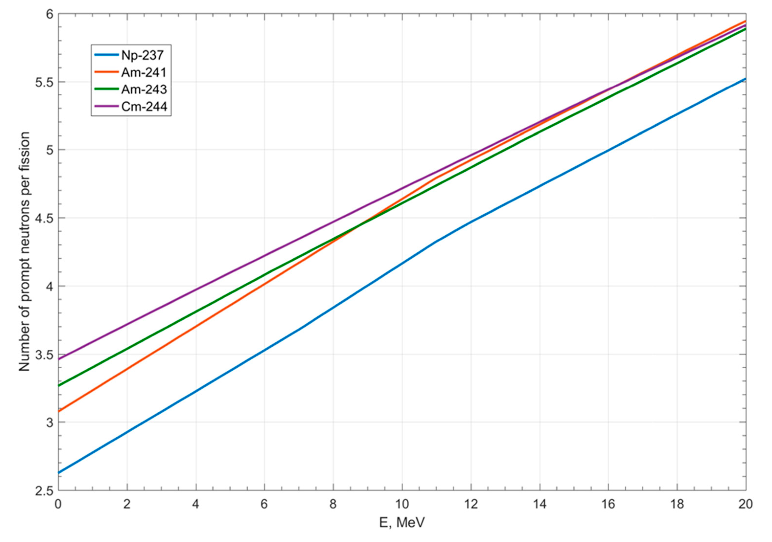
One more feature of all actinides that is important for neutronics is the number of prompt neutrons per fission that increases with initial neutron energy growth (Figure 3). Thus the higher the initial neutron energy, the more effective the neutron utilization.
The neutronics features of MA discussed above are the reasons why subcritical systems are more appropriate for MA transmutation compared to critical reactors. One of the most promising approaches to solving this problem is the application of a fusion reactor as a high energy neutron source. This idea is investigated in [1,3,10,11,12].

1.2. Studies on FFHS as Burner Reactor

The majority of foreign researchers consider Pu to be a problem like MA and even more serious because of the proliferation risks. The author of [3] is not an exception: he investigates the transmutation of fuel that consists of MA and Pu in different FFHSs (with blanket thermal power from 3 to 10 GW). FFHS do not have high requirements for plasma parameters because most of the neutrons are born inside a blanket (that contains fissile materials). For example, if keff = 0.95 then the neutron multiplication factor for a plasma source will be about 20. The fusion power of these FFHSs varies between 150 MW and 500 MW (that corresponds to ITER fusion power). The author of [3] pointed out that for FFHSs the following parameters are appropriate: fusion power <200 MW, normalized beta < 2, neutron wall loading < 1 MW/m2, power amplification Qp < 2. In this case, the corresponding efficiency of burning Pu-MA fuel is 1.1 × A, 1.65 × A, 3.7 × A tons annually (where A is availability factor). The original values were changed according to Pu + MA fraction in the SNF (1.1%).
The authors of [10] point out the advantages of a FFHS for MA transmutation and investigate the utilization of a thermonuclear neutron source with fusion power less than 200 MW for the transmutation of the metal fuel consisting of MA, Pu and Zr. The proportions of fuel components are varied: the more Pu there is in the fuel the lower MA transmutation rate, but the higher blanket thermal power. It was found that the transmutation rate of MA could reach 19.4% for each irradiation cycle (that is 5 y) and about 86.5% for 25 cycles.
Another approach for MA transmutation in a FFHS is an application of a molten salt blanket where actinide fluorides are dissolved in a molten eutectic of alkali metal fluorides. This salt also serves as a coolant. It is a very promising blanket option, having, for example, such advantages as online fuel composition control. Such an approach is addressed in [11]. In this study, the authors decided to take all transuranic elements (TRU) from SNF (i.e., Pu and MA) for fuel fabrication. The fusion power of this reactor is 250 MW and the blanket thermal power is 3 GW. In this case, it’s possible to burn about 1.1 t of TRU annually. The authors also stressed that removing more than 50% of FP from the fuel after each irradiation cycle is vital.
Finally, not only are efficiency parameters important, but also the impact of FFHSs on a nuclear fuel cycle. This impact was successfully established by research [12] for Japan’s nuclear power. This paper addresses the utilization of three stellarators that have extremely high fusion powers (as for FFHS) of 1, 2 and 3 GWt. These reactors are assumed to be introduced in 2050, 2070 and 2090 respectively. The authors demonstrate that a FFHS with 1 GWt fusion power is able to burn about 350 kg of MA per year, which seems like a very small amount compared to other studies. There is a discrepancy between [11] and [12] on the impact of FPs’ accumulation on the MA burning process. Thus a more detailed analysis of this question is required for new studies. The authors of [12] also show that all MA in the system could be burned by utilization of the stellarators mentioned above in approximately 200 years.

1.3. Conclusions on Literature Review and Details of This Study

As can be seen in the presented studies, FFHSs are a really promising solution for the transmutation of TRU that would help to manage the problem of nuclear waste storage. Although there is a considerable number of studies on the application of FFHSs for MA transmutation, the majority of them are only at the beginning stage of designing a real facility or have no intention of designing real facilities at all. Another drawback of many studies is the lack of a comprehensive analysis of the problem: not only are the parameters of the transmutation essential, but also comparison with other competing approaches to the transmutation and the assessment of the impact on the nuclear power system.
Our team has already completed many steps of the FFHS’s design. We use the ITER project as a foundation for our own. New studies are needed for particular FFHS implementation projects. At present, the demo FFHS (DEMO-FNS) is at the design stage. The road map of the project also assumes pilot industrial (PIHR) and industrial (IHR) hybrid reactors. All these reactors have identical fusion power (40 MW), similar construction, different blanket fuel loadings and capacity factors.
In this paper, an assessment of the potential of the assumed hybrid reactors for MA incineration is performed. Performance parameters are compared for different coolants (H2O and CO2) in the transmutation zone. Features of fuel inventory evolution during transmutation are analyzed. Another important aim of this study is to estimate the accumulated amount of MA in Russian nuclear power system over the next 100 years and FFHSs’ potential for reducing this amount. For this purpose, the Universal System Model of Russian nuclear power was used [13].
There are two sections in this study. The first is a study of fuel inventory evolution in the blanket of FFHSs containing a metallic fuel that is a zirconium and MA alloy. The second part of the study is a system analysis of the development of nuclear power in Russia and the involvement of the hybrid reactors.

2. Materials and Methods

All three hybrid reactors, assumed by the road map of the NRC “Kurchatov Institute” project, will be based on a tokamak with a blanket containing fissile materials and lithium.
The demo hybrid reactor DEMO-FNS is the first of the reactors mentioned above, and its contemporary design is the most detailed and defined. The other two reactors will have a similar construction with slightly different parameters. All of the tokamaks of the hybrid systems considered have the following identical parameters: major plasma radius R0 = 320 cm, minor plasma radius a = 100 cm, plasma current Ip = 5 MA, toroidal magnetic field Bt0 = 5 T, fusion power Pfus = 40 MW (that corresponds to ~1.4 × 1019 n/s for D-T reaction) and effective fuel irradiation time is 5 years. Each reactor is due to commence operations in 2033, 2045 and 2055 respectively. The differences that are important for this study are listed below in Table 3:
The 3D geometrical model of DEMO-FNS for neutron transport calculation via the Monte-Carlo method is shown in Figure 4 and Figure 5. The blanket contains 18 assemblies with minor actinides (transmutation area), with lithium salt in the remaining space (tritium breeding area).
Two coolants for the transmutation area are examined: CO2 and H2O. The coolant flows vertically, along the fuel rods, inside the assemblies’ casings. H2O is chosen as a basic option for the blanket. The average coolant density inside the assemblies for H2O is 0.37 g/cm3 and for CO2 is 0.14 g/cm3. Utilization of CO2, instead of H2O, causes keff growth (up to 1.04). It is thus necessary to decrease total fuel loading in the case of CO2 as a coolant to 19.7 t (for DEMO-FNS).
A metal alloy of MA and Zr was chosen as a fuel. This alloy has a theoretical density of 15 g/cm3. Many researchers have considered this type of fuel [10,14,15], and it has even been utilized in a fast reactor [16]. A detailed fuel inventory is shown in Table 4.
Calculations on nuclide kinetics were carried out by the program FISPACT-II [17] using a constant neutron spectrum. The neutron spectrum for the transmutation area was obtained as a result of neutron transport calculations using the Monte-Carlo method. The spectrum is volume-averaged for the whole transmutation area. The utilization of a constant neutron spectrum for calculations on nuclide kinetics gives some error in the results, because of the impact of fuel inventory evolution on the spectrum and vice versa. However, in the case of a subcritical system with an external neutron source, this error should not be very high. Different researchers address contradictory assessments on this error [11,12].
The neutron data library ENDF/B-VI is used for neutron transport calculation. The spectrum was obtained for 709 energy groups that correspond to the CCFE-709 group structure. The nuclear data library TENDL_2014 is used for nuclide kinetics calculations. This explains the reason for utilizing the CCFE-709 group structure for the neutron spectrum.

3. Results and Discussion

3.1. Neutron Transport and keff Calculations

The neutron energy spectra in the transmutation area of DEMO-FNS with different coolants are shown in Figure 6:
  • In the case of H2O as a coolant, the volume-averaged total neutron flux is Φ ¯ n = 2.88 × 1014 (cm2·s)−1, average neutron energy is E ¯ n = 3.52 MeV and keff = 0.95.
  • In the case of CO2, Φ ¯ n = 3.02 × 1014 (cm2·s)−1, E ¯ n = 3.47 MeV and keff = 0.91.
As follows from the obtained spectra, 99% of neutrons have energy higher than 0.001 MeV, and 40% of them have energy higher than 1 MeV. 1 MeV is the threshold fission energy for most of the actinides that have a threshold type fission cross-section (Figure 2). As follows from this distribution, DEMO-FNS has quite a hard spectrum in the transmutation area, which is a positive feature for MA transmutation. The differences between the two spectra reveal that in the case of CO2, the spectrum becomes harder, the number of fusion, and especially fission, neutrons rises. It is caused by a decrease in coolant density (from 0.37 g/cm3 to 0.14 g/cm3) and moderating efficiency (from 1.7 × 104 to 2.1 × 103 for 14 MeV neutrons) and also by a decrease in the volume percentage of the fuel in the assemblies.

3.2. Neutron Cross-Sections Analysis

The obtained spectra were used for calculating the average cross-sections by means of the FISPACT-II program. As shown in Figure 7, there are three important actinides (Np-237, Am-241, Am-243) that have a capture to fission ratio α higher than 1 despite there being very hard neutron spectra inside the transmutation area ( E ¯ n > 3 MeV). At the same time, it is necessary to highlight that this ratio is just slightly higher than 1, compared to the same ratio for light-water and fast reactors (Table 1). This feature of α for some of the actinides has the following explanation. Most MA have almost equal fission cross-section which is higher than capture cross-section for neutron energy higher than 1 MeV, while for some of them (Np-237, Am-241, Am-243), the capture cross-section is significantly larger than the fission cross-section for neutron energy less than 1 MeV. At the same time, 60% of neutrons have energy between 0.001 and 1 MeV. This causes an offset of the average fission cross-section to a low energy region where it is less than the capture cross-section.
As follows from Figure 7, CO2 is the best option for MA transmutation as for this coolant all main actinides have the lowest α value. However, there is a problem for MA transmutation in the case of this coolant that will be shown below.

3.3. Results of Nuclide Kinetics Analysis

For all three reactors, the basic effective irradiation time of the fuel is 5 years. However, due to the capacity factor, the total time of idle plus irradiation is longer. For the demo reactor, it is about 16.7 years (the capacity factor is 0.3).
All of the main parameters of the transmutation for each reactor are listed in Table 5. This table shows in particular the mass changing in the most important actinides during irradiation. There are mass fluctuations during the reactor’s operating cycle caused by the alternating shifts between irradiation and cooling time (idle).

3.3.1. DEMO-FNS and H2O as a Coolant

For DEMO-FNS, which has light water as a coolant, the mass of all MA decreases whereas the mass of U and Pu isotopes increases. The accumulation of other actinides is less than 1 g/t. DEMO-FNS has a low efficiency of actinide incineration (just 54.3 kg/year) due to the low capacity factor.
A more detailed analysis of the final fuel inventory shows that the biggest fraction of Pu is made by Pu-238 (80%), Pu-242 (11%), and Pu-240 (6.5%). Almost all U is U-234 (99%). Despite Cm mass decreasing in total, new isotopes appear: Cm-242 (12%) and Cm-245 (2%), due to neutron capture on Am and initial Cm-244. The main pathways to Pu-238 begin from Np-237 (37%) and Am-241 (60%) that undergo neutron capture. U-234 is a result of Pu-238 α-decay.

3.3.2. DEMO-FNS and CO2 as a Coolant

As mentioned above, simply changing the coolant to CO2 in the transmutation area causes keff growth up to 1.04, thus reducing the total fuel loading for this option to 19.7 t. With CO2, the qualitative change in mass of all actinides is the same as with H2O, but the quantitative parameters are different. Burnup of actinides increases by 14.3%, however the total actinides incineration is less because of a lower fuel loading. The amount of transmuted Np and Am is less, as well as U and Pu accumulation, while the amount of transmuted Cm is two times larger. This change is caused by a harder spectrum in the case of CO2, so neutron capture cross-sections decrease more than fission cross-sections increase. Thus total cross-sections decrease, and the transmutation rate reduces as a result. At the same time, due to the lower neutron capture rate, the accumulation of Cm is less than before and its fission rate is very high (its isotopes have low α (Figure 7)). Thus, the transmuted amount of Cm is larger than before.
In the initial fuel composition, there is a small amount of Cm, so despite its isotopes experiencing fission at a high rate, new isotopes of Cm appear due to the neutron capture reaction on other actinides. The amount of Cm may even increase (as in [18]): the neutron capture rate for other actinides is higher than the fission rate of Cm. This situation is typical for the operation of both the pilot industrial (PIHR) and industrial (IHR) reactors.

3.3.3. Pilot Industrial Hybrid Reactor

Compared to DEMO-FNS, PIHR has a shorter operating cycle, accounting for a higher capacity factor (0.8). Due to this circumstance, a smaller amount of Am-241 decays into Np-237, thus the transmuted amount of Np is greater while the accumulated amount of U is smaller (U-234 is a product of Np-237 decay). The efficiency of actinides’ incineration is higher for PIHR than for the demo reactor, but the total incinerated amount of actinides is almost the same.

3.3.4. Industrial Hybrid Reactor—The Final Aim

The final purpose of the FFHS project is to create an industrial hybrid reactor. IHR will have identical constructions with DEMO-FNS and PIHR, 40 MW of fusion power, but a larger fuel loading (40 t). This causes a growth of the neutron flux in the transmutation area. For this study, it is assumed that the neutron flux will increase five times compared to the demo reactor using H2O as a coolant. The high capacity factor (0.95) and large fuel loading make this reactor effective. Not only for MA transmutation, but also for electrical power production exceeding the reactor’s operational consumption, so this facility will solve the problem of MA transmutation not only from a technical, but also from an economical, perspective.
The evolution of the fuel inventory during the operating cycle for IHR is similar to that of PIHR but, due to a higher neutron flux, the transmutation rate is higher. This reactor will be able to produce more than 3 GW(th) and ~1 GW(el), while its own electrical energy consumption is about 200 MW.

3.4. FFHS in Two-Component Nuclear Power System of Russia and Its Potential for MA Reduction

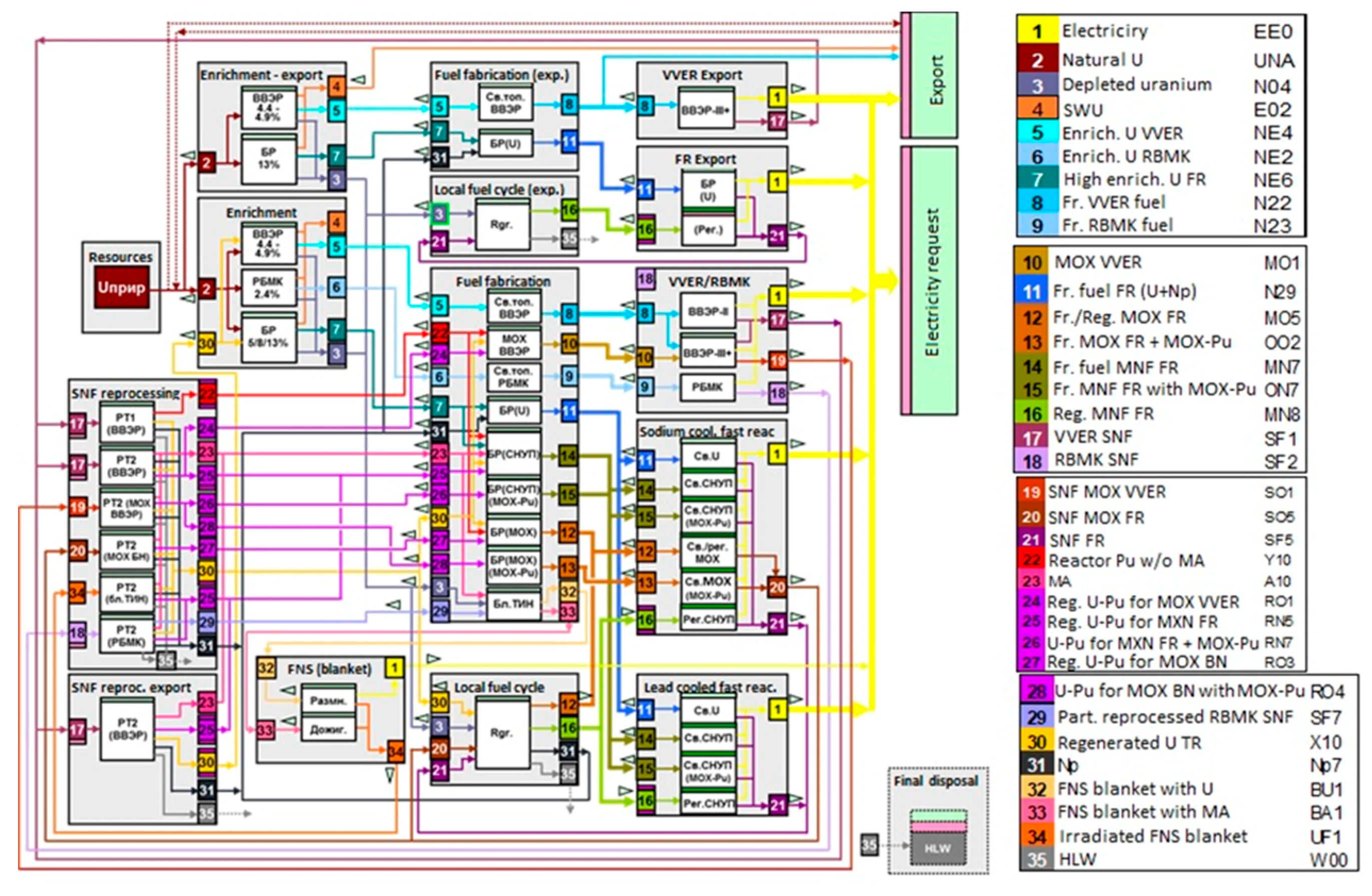
In the first part of this study, the potential of FFHSs for MA transmutation was defined. However, what also matters is the impact of FFHSs’ operation on the nuclear power system that reduces the total amount of MA. For this purpose, the Universal System Model designed by E. V. Muraviev [13] was used. This model describes the history and development plans of Russian nuclear power in terms of product flows (fuel, waste, energy, money) between important components of the system (power plants, fuel fabrication and reprocessing plants, consumers). The principal scheme of this model is shown in Figure 8. The model covers a period of time, from 1970 to 2130, and has the following features:
  • The two-component structure of nuclear power system for the 21st century, i.e., there will be two types of reactors: thermal spectrum and fast spectrum
  • Installed capacity of nuclear power plants in 2100 is 92 GW(e), and 107 GW(e) in 2130
  • The accumulated amount of SNF from VVER is ~5000 t
  • VVER commissioning in Russia will end in 2040
  • The export of nuclear power plants and their services are not taken into account
Figure 9 shows the past and future planned evolution of the net installed capacity of nuclear power plants in Russia. In 2100, the last thermal reactor will be decommissioned and the system will consist of only fast reactors.
In this part of the investigation, some parameters of the FFHSs described above were decreased compared to the first part of this study: the total MA loading into the DEMO-FNS and PIHR blankets is 20 t and into IHR is 40 t. The efficiency of the actinides’ incineration is slightly lower.
The net installed capacity of nuclear power plants defines the total SNF (and hence MA) production, as well as the total accumulated amount of MA for a given year. This value defines the feasibility of a full blanket loading. The results presented here were obtained under the assumption that the blankets were fully loaded. For this, DEMO-FNS is decommissioned when PIHR is commissioned, while PIHR is decommissioned when IHR is commissioned.
Figure 10 shows the total amount of minor actinides in the system at five-year intervals between 1970 and 2130. 287 t of MA are accumulated in SNF if there is no fuel reprocessing, as shown by the blue curve. The orange curve shows how this mass of actinides would be reduced by the means of hybrid reactors. The third curve describes the reduction of MA by the hybrid reactors’ operation and the initial fuel loadings in the blankets, so it is possible to reduce the total amount by 28% (82 t) or 43% (122 t), taking into account the initial fuel loadings.
The production rate of minor actinides in the system was obtained based on information about MA accumulation during the assumed period of time (Figure 11). As follows from the graph it will be necessary to incinerate more than 4 t/year of MA at the end of this timeline. This means that at least 4 facilities with IHR parameters will be needed.
Meanwhile, it is possible to take into commission just 2 additional IHRs in 2090 and 2120. In this case, it is possible to reduce the total amount by 48% (142 t) or 88% (262 t) taking into account the initial fuel loadings.
It is not only the accumulated amount of minor actinides in SNF that is matter, but also the amount of minor actinides extracted in a given year during this timeline. The extracted amount is determined by the capabilities of Russia’s reprocessing plants. This determines the feasibility of full fuel loading in the blanket. 20 t of MA are needed for the blanket’s first loading. But only about 4 t of extracted MA at the start of DEMO-FNS in 2033, and 22 t in 2055, will be available. It is clear that there are not enough extracted minor actinides in the system when each hybrid reactor commences operations. The graph in Figure 12 shows the difference between available extracted amount of MA and needed amount for full blankets loading. If only the considered installed capacity of reprocessing plants is utilized, the deficit will not be overcome until after 2070. The negative values mean that the available amount of MA in the system is less than the required amount for FFHSs’ operation in a particular year.

4. Conclusions

This research was performed as part of the Kurchatov Institute project on the development of fusion-fission hybrid reactors in Russia. This study shows that the application of fusion-fission hybrid reactors possesses a promising application potential for the transmutation of minor actinides. Calculations on neutron transport and nuclide kinetics were performed for particular reactors: demo, pilot industrial and industrial hybrid. It is shown that the capture to fission ratio is less than 1 for most actinides, which is a really positive feature for effective MA transmutation. The exceptions are Np-237 (only if H2O is used as a coolant), Am-241 and Am-243. For all of these, α is slightly higher than 1. Utilization of CO2 as a coolant leads to reduction in the total fuel loading, thus the potential advantages of this coolant for transmutation are neutralized. This situation could be improved via optimization of the transmutation area for this coolant. During irradiation, new actinides appear. This is an important feature for multicycle reprocessing and utilizing the fuel. Determining an equilibrium inventory for the FFHS’s fuel is an objective for future research as well as analysis of the inventory evolution and its influence on the neutron spectrum during irradiation and vice versa.
For effective MA transmutation, in terms of not only technical but also economical parameters, it is necessary to use a FFHS with a large fuel loading and high capacity factor, such as IHR, which is able to incinerate more than 1 t of actinides per year and generate about 1 GW of electrical power.
A system analysis of nuclear power in Russia, performed with the involvement of the hybrid reactors, highlights the problems associated with the absence of MA transmutation and the potential of FFHSs to reduce these hazards.
As can be seen from the results obtained, there is a deficit of extracted MA, even for optimized development scenarios. At the same time, it is necessary to decommission the DEMO-FNS and PIHR (at least as burner reactors), and to abandon one additional IHR, which is needed due to the rate of MA accumulation in the system. It is also necessary to delay the commissioning of 2 other additional IHRs.
For the considered scenarios, the deficit problem of extracted MA may be overcome around 2075. However, in the case of additional IHRs, the MA deficit takes place again at the moment when the second and third IHR are commissioned. This situation can be improved by the utilization of imported foreign SNF, which can be considered a service of radioactive waste management. The results obtained also indicate the need for faster commissioning the capacities of SNF reprocessing plants, to ensure the required amount of MA for FFHS fuel manufacturing.
It follows from the analysis performed that, over the period of time considered, it is possible to decrease by 2130 the amount of MA in the system by ~28%, in the case of just 1 IHR, and by ~48%, in the case of two additional IHRs. If the MA loaded into the FFHS blankets are not considered to be waste, then the amount of MA excluded from the system may be increased by up ~43% and, in the case of two additional IHRs, by up to ~88%.

Author Contributions

Methodology, investigation, writing—original draft preparation and data curation, M.S.; supervision, conceptualization, writing—review & editing, B.K. All authors have read and agreed to the published version of the manuscript.

Funding

This work was supported by contract № 1/17518-D/ between ROSATOM and NRC “Kurchatov Institute”.

Acknowledgments

The authors appreciate the support from B. Kuteev as scientific supervisor, E.V. Muraviev and A.A. Kashirsky as consultants and the authors of the Universal System Model.

Conflicts of Interest

The authors declare no conflict of interest.

References

  1. Salvatores, M.; Palmiotti, G. Radioactive waste partitioning and transmutation within advanced fuel cycles: Achievements and challenges. Prog. Part. Nucl. Phys. 2011, 66, 144–166. [Google Scholar] [CrossRef]
  2. Adlys, G. Sources of Radiotoxicity in Spent Nuclear Fuel. In Proceedings of the International Symposium on Biomedical Engineering and Medical Physics, Riga, Latvia, 10–12 October 2012; Dekhtyar, Y., Katashev, A., Lancere, L., Eds.; Springer: Berlin, Germany, 2013; Volume 38, pp. 213–216, ISBN 978-3-642-34196-0. [Google Scholar]
  3. Stacey, W. Transmutation missions for fusion neutron sources. Fusion Eng. Des. 2007, 82, 11–20. [Google Scholar] [CrossRef]
  4. Adamov, E.O.; Vlaskin, G.N.; Lopatkin, A.V.; Rachkov, V.I.; Khomyakov, Y.S. Radiation equivalent treatment of radioactive nuclides in nuclear fuel cycle—Effective alternative to the delayed solution of spent nuclear fuel accumulation problem. News of the Russian Academy of Sciences. Energy 2015, 6, 15–25. [Google Scholar]
  5. Crossland, I. Nuclear Fuel Cycle Science and Engineering; Woodhead Publishing Limited: Cambridge, UK, 2012; ISBN 978-0-85709-073-7. [Google Scholar]
  6. Stacey, W.M. Solving the Spent Nuclear Fuel Problem by Fissioning Transuranics in Subcritical Advanced Burner Reactors Driven by Tokamak Fusion Neutron Sources. Nucl. Technol. 2017, 200, 15–26. [Google Scholar] [CrossRef]
  7. Dufek, J.; Arzhanov, V.; Gudowski, W. Nuclear Spent Fuel Management Scenarios; Status and Assessment Report; Swedish Nuclear Fuel and Waste Management Co.: Stockholm, Sweden, 2006. [Google Scholar]
  8. Zucchetti, M.; Candido, L.; Khripunov, V.; Kolbasov, B.; Testoni, R. Fusion power plants, fission and conventional power plants. Radioactivity, radiotoxicity, radioactive waste. Fusion Eng. Des. 2018, 136, 1529–1533. [Google Scholar] [CrossRef]
  9. Wu, Y.; Jiang, J.; Wang, M.; Jin, M.; Team, F. A fusion-driven subcritical system concept based on viable technologies. Nucl. Fusion 2011, 51, 103036. [Google Scholar] [CrossRef]
  10. Yang, C.; Cao, L.; Wu, H.; Zheng, Y.; Zu, T. Neutronics analysis of minor actinides transmutation in a fusion-driven subcritical system. Fusion Eng. Des. 2013, 88, 2777–2784. [Google Scholar] [CrossRef]
  11. Ridikas, D.; Plukiene, R.; Plukis, A.; Cheng, E. Fusion–fission hybrid system for nuclear waste transmutation (I): Characterization of the system and burn-up calculations. Prog. Nucl. Energy 2006, 48, 235–246. [Google Scholar] [CrossRef]
  12. Furudate, Y.; Shishido, H.; Yusa, N.; Hashizume, H. Construction of minor actinides reduction scenario in Japan utilizing fusion reactors. Prog. Nucl. Energy 2018, 103, 28–32. [Google Scholar] [CrossRef]
  13. Muraviev, E.V. Optimization of Two-Component Nuclear Power System. JPhCS 2020, 1475, 012003. [Google Scholar]
  14. Hong, S.H.; Kim, M.H. Neutronic investigation of waste transmutation option without partitioning and transmutation in a fusion-fission hybrid system. Nucl. Eng. Technol. 2018, 50, 1060–1067. [Google Scholar] [CrossRef]
  15. Stacey, W.M.; Van Rooijen, W.; Bates, T.; Colvin, E.; Dion, J.; Feener, J.; Gayton, E.; Gibbs, D.; Grennor, C.; Head, J.; et al. A TRU-Zr Metal-Fuel Sodium-Cooled Fast Subcritical Advanced Burner Reactor. Nucl. Technol. 2008, 162, 53–79. [Google Scholar] [CrossRef]
  16. Capriotti, L.; Brémier, S.; Inagaki, K.; Pöml, P.; Papaioannou, D.; Ohta, H.; Ogata, T.; Rondinella, V. Characterization of metallic fuel for minor actinides transmutation in fast reactor. Prog. Nucl. Energy 2017, 94, 194–201. [Google Scholar] [CrossRef]
  17. Sublet, J.-C.; Eastwood, J.; Morgan, J.; Gilbert, M.; Fleming, M.; Arter, W. FISPACT-II: An Advanced Simulation System for Activation, Transmutation and Material Modelling. Nucl. Data Sheets 2017, 139, 77–137. [Google Scholar] [CrossRef]
  18. Wang, M.; Zeng, Q.; Jiang, J.; Wu, Y. Neutronics Analysis and Optimization for Fusion Driven Subcritical Spent Fuel Burning System. J. Fusion Energy 2015, 34, 598–603. [Google Scholar] [CrossRef]
Figure 1. Radiotoxicity of SNF (spent nuclear fuel) and its components (for PWR, UOX, 60 GW·d/t) [1].
Figure 1. Radiotoxicity of SNF (spent nuclear fuel) and its components (for PWR, UOX, 60 GW·d/t) [1].
Applsci 10 08417 g001
Figure 2. Microscopic cross-sections of Np-237 and Am-241 against incident neutron energy.
Figure 2. Microscopic cross-sections of Np-237 and Am-241 against incident neutron energy.
Applsci 10 08417 g002
Figure 3. Number of prompt neutrons per fission against initial neutron energy.
Figure 3. Number of prompt neutrons per fission against initial neutron energy.
Applsci 10 08417 g003
Figure 4. Horizontal equatorial cut of DEMO-FNS (fusion neutron source) model. TFC—Toroidal field coil.
Figure 4. Horizontal equatorial cut of DEMO-FNS (fusion neutron source) model. TFC—Toroidal field coil.
Applsci 10 08417 g004
Figure 5. Horizontal equatorial cut of DEMO-FNS model—transmutation area.
Figure 5. Horizontal equatorial cut of DEMO-FNS model—transmutation area.
Applsci 10 08417 g005
Figure 6. Normalized neutron spectrum in the transmutation area of DEMO-FNS.
Figure 6. Normalized neutron spectrum in the transmutation area of DEMO-FNS.
Applsci 10 08417 g006
Figure 7. Average capture-to-fission ratios α for different coolants.
Figure 7. Average capture-to-fission ratios α for different coolants.
Applsci 10 08417 g007
Figure 8. Fusion neutron source in the structure of Russian nuclear power system (The Universal System Model).
Figure 8. Fusion neutron source in the structure of Russian nuclear power system (The Universal System Model).
Applsci 10 08417 g008
Figure 9. Evolution of the net installed capacity of nuclear power plants in Russia.
Figure 9. Evolution of the net installed capacity of nuclear power plants in Russia.
Applsci 10 08417 g009
Figure 10. Total inventory of MA in the system.
Figure 10. Total inventory of MA in the system.
Applsci 10 08417 g010
Figure 11. Production rate of MA in the system.
Figure 11. Production rate of MA in the system.
Applsci 10 08417 g011
Figure 12. Difference between available extracted amount of MA and needed amount for full blankets loading.
Figure 12. Difference between available extracted amount of MA and needed amount for full blankets loading.
Applsci 10 08417 g012
Table 1. Average fission, capture and capture-to-fission ratios α for selected TRU isotopes *.
Table 1. Average fission, capture and capture-to-fission ratios α for selected TRU isotopes *.
σ ¯ = σ ¯ ( E ) φ ( E ) d E / φ ( E ) d E
IsotopeFor PWR SpectrumFor Fast Reactor Spectrum
σf, bσc, bασf, bσc, bα
U-23539.869.250.231.950.560.29
U-2380.104.4642.870.050.347.43
Np-2370.5335.3766.840.341.805.24
Np-238120.5031.030.261.710.200.12
Pu-2382.3220.358.781.201.040.86
Pu-239105.3060.070.571.830.540.30
Pu-2400.63233.30372.920.400.571.42
Pu-241105.0038.470.372.540.480.19
Pu-2420.4429.9668.180.280.401.45
Am-2411.11111.01100.370.282.007.26
Am-242195.2028.370.153.210.390.12
Am-242m469.00105.400.223.310.210.06
Am-2430.4751.65110.250.211.567.54
Cm-2421.374.022.930.630.490.77
Cm-24379.0712.100.152.820.280.10
Cm-2440.9017.7719.850.490.641.31
Cm-245119.8019.220.162.720.410.15
* The values were obtained using TENDL_2014, FISPACT-II and reference incident particle spectra (PWR-UO2-0, Superphenix).
Table 2. The effective fraction of delayed neutrons.
Table 2. The effective fraction of delayed neutrons.
Nuclideβ
238U0.0172
237Np0.00388
238Pu0.00137
239Pu0.00214
240Pu0.00304
241Pu0.00535
242Pu0.00664
241Am0.00127
243Am0.00233
242Cm0.000377
Table 3. Capacity factor and fuel loading with MA (minor actinides).
Table 3. Capacity factor and fuel loading with MA (minor actinides).
ParameterDEMO-FNSPIHRIHR
Capacity factor0.30.80.95
Fuel loading (MA + Zr), t (H2O—coolant)26.2426.2441.68
Table 4. Fuel inventory (15 g/cm3), % (mass).
Table 4. Fuel inventory (15 g/cm3), % (mass).
NuclideFraction, %NuclideFraction, %
Np-23728.67Zr-902.05
Am-24162.10Zr-910.45
Am-242m0.06Zr-920.70
Am-2434.63Zr-940.72
Cm-2440.49Zr-960.12
MA95.96Zr4.04
Table 5. Main parameters of MA transmutation in FFHSs.
Table 5. Main parameters of MA transmutation in FFHSs.
DEMO-FNS (H2O)DEMO-FNS (CO2)PIHRIHR
Total fuel loading, t26.2419.726.2441.68
Irradiation + Idle, y16.716.76.255.25
Change in actinides mass: accumulation (+); reduction (–), kg/t (per ton of the fuel)Np−9.9 (3.5%)−5.2 (1.8%)−19.1 (6.7%)−100.3 (35.0%)
Am−70.2 (10.5%)−63.2 (9.5%)−60.8 (9.1%)−241.8 (36.2%)
Cm−0.4 (7.7%)−1.0 (21.2%)+2.8 (57.5%)+17.7 (358.1%)
U+2.4+1.6+0.9+3.0
Pu+43.5+29.5+41.7+174.0
Burnup of actinides, %(mass)3.64.03.615.4
Total actinides incineration, kg906.4755.0904.46148.0
Efficiency of actinides incineration, kg/year54.345.2144.71171.0
Time-averaged fission power, MW(th)4723984723100
Publisher’s Note: MDPI stays neutral with regard to jurisdictional claims in published maps and institutional affiliations.

Share and Cite

MDPI and ACS Style

Shlenskii, M.; Kuteev, B. System Studies on the Fusion-Fission Hybrid Systems and Its Fuel Cycle. Appl. Sci. 2020, 10, 8417. https://doi.org/10.3390/app10238417

AMA Style

Shlenskii M, Kuteev B. System Studies on the Fusion-Fission Hybrid Systems and Its Fuel Cycle. Applied Sciences. 2020; 10(23):8417. https://doi.org/10.3390/app10238417

Chicago/Turabian Style

Shlenskii, Mikhail, and Boris Kuteev. 2020. "System Studies on the Fusion-Fission Hybrid Systems and Its Fuel Cycle" Applied Sciences 10, no. 23: 8417. https://doi.org/10.3390/app10238417

APA Style

Shlenskii, M., & Kuteev, B. (2020). System Studies on the Fusion-Fission Hybrid Systems and Its Fuel Cycle. Applied Sciences, 10(23), 8417. https://doi.org/10.3390/app10238417

Note that from the first issue of 2016, this journal uses article numbers instead of page numbers. See further details here.

Article Metrics

Back to TopTop