Effects of the Mortar Matrix on the Flexural Capacity of Masonry Cross Sections Strengthened with FRCM Materials
Abstract
1. Introduction
2. Materials and Methods
- Conservation of plain sections (also referred to as the Bernoulli–Navier assumption);
- validity of the Bernoulli principle, wherein the shear deformability is neglected;
- the stress–strain relationship of the materials is known a priori;
- the stresses are dependent on the strain of the element alone, so that the effects of viscosity and shrinkage over time are neglected;
- it is assumed that the application of the load and consequent deformation take place in a monotonous way, and thus they do not explicitly consider the behavior under cyclic loads;
- it assumes the perfect bond between masonry and the strengthening system (without slip);
- the ultimate condition of the cross section is reached, either by crushing the compressed masonry or tensile failure of the composite system.
- P and M are the axial force and the bending moment;
- fc is the compressive strength of masonry;
- σmor and σf are the stress of the mortar matrix on compression side (same relationship of masonry, see Figure 2) and the stress of the composite on tension side, respectively;
- B and H are the base and the height of the cross section, respectively;
- tf, tmor are the thickness of fibers and mortar matrix, respectively;
- bc, bf and bmor are the distances of force resultants from the centroid of cross section, respectively.
- ξ is the depth of neutral axis normalized with reference to cross section height, ξ = x/H;
- ψ and λ are the coefficients (dimensionless) that correlate to the real non-linear stress distribution to the uniform distribution and the distance of the resultant of real non-linear stress distribution to the neutral axis depth, respectively [37];
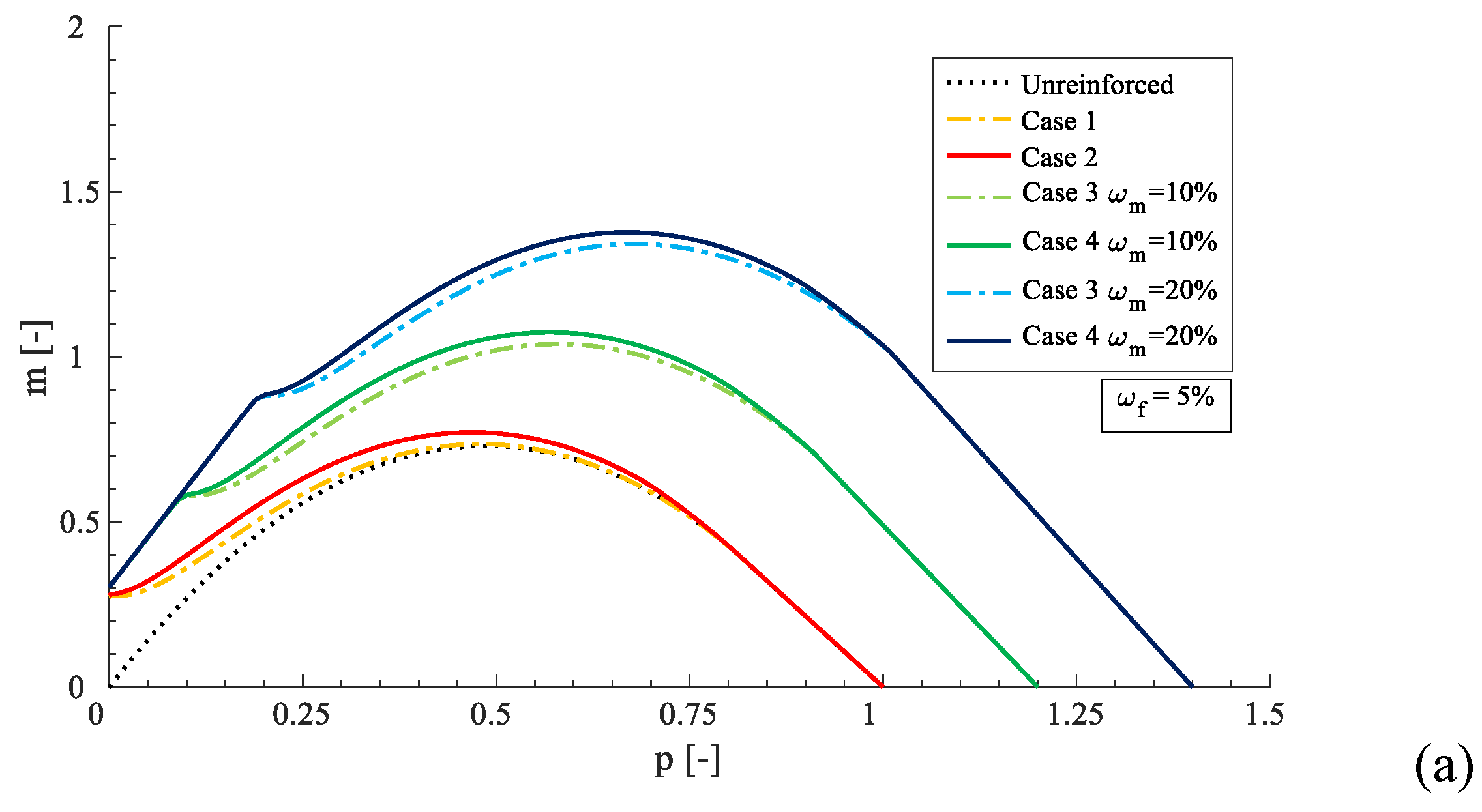
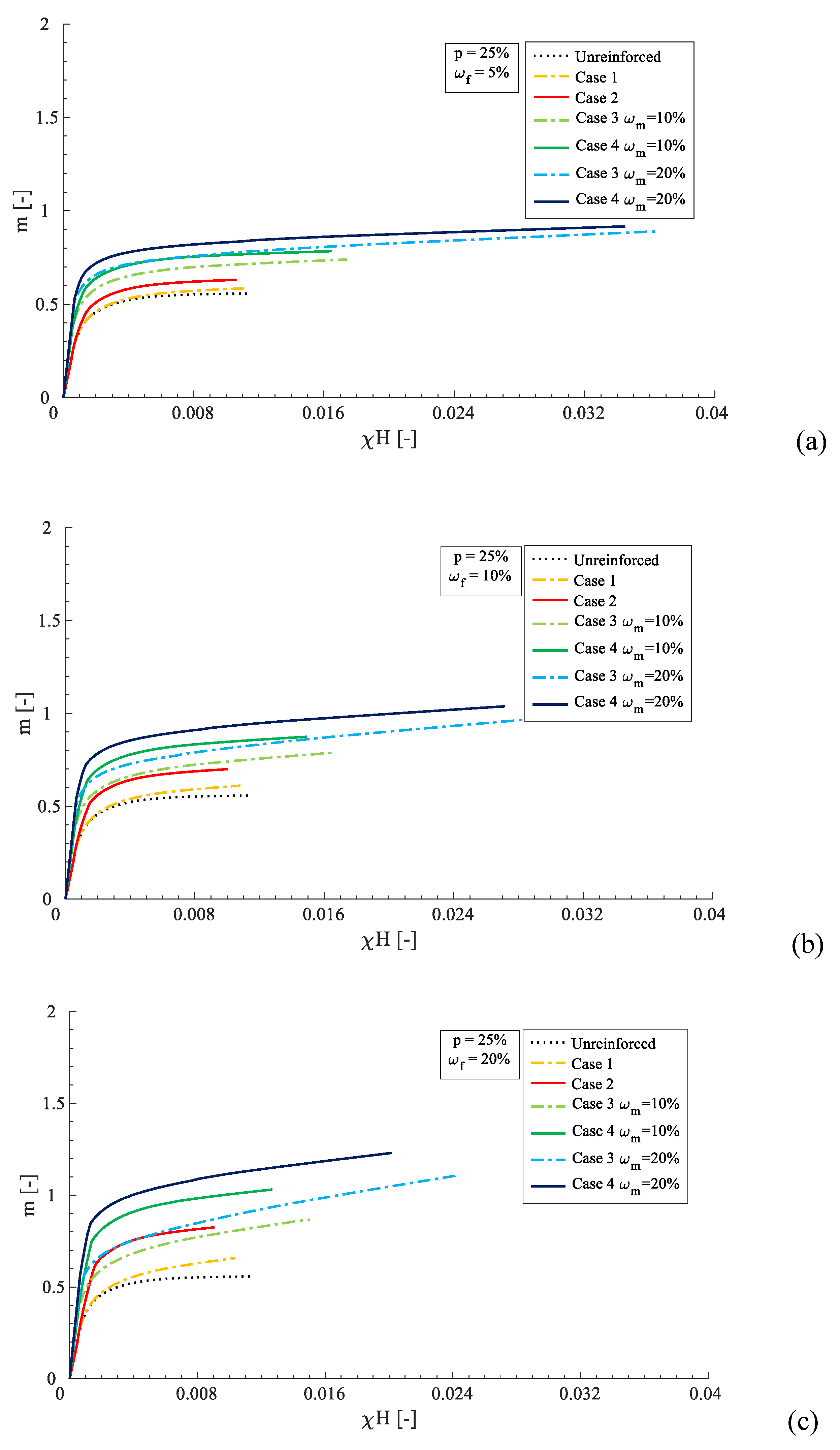
- ωf and ωm are the mechanical fiber reinforcement ratios related to the tensile and the compressive sides respectively, defined as:where Af and Amor are the cross section of dry fiber and of mortar matrix respectively, while fmor and ff are the strength of mortar matrix (in compression) and of composite (in tension);
- ρm is the ratio between the thickness of the mortar and the height of masonry cross section:
- and are the stress of the mortar matrix on the compression side and the stress of the composite on the tensile side, normalized with reference to the compressive strength of the mortar matrix and to the tensile strength of composite, respectively;
- (1)
- The linear relationship on the tension side and no mortar contribution on the compression side;
- (2)
- The bilinear relationship on the tension side and no mortar contribution on the compression side;
- (3)
- The linear relationship on the tension side and no mortar contribution on the compression side;
- (4)
- The bilinear relationship on the tension side and mortar contribution on the compression side.
- is the normalized modulus of elasticity of the dry fiber (Ef/ff);
- is the normalized uncracked modulus of elasticity of the composite (E1/ff);
- is the normalized post-cracking modulus of the composite (E2/ff);
- is the normalized first cracking strength of the mortar matrix;
- εuf is the ultimate strain of composite.
- Em is the modulus of elasticity of the mortar matrix;
- σcr is the homogenized first cracking in tension of the mortar matrix [23];
- Ef is the modulus of elasticity of the dry fiber;
- εcr is the strain corresponding to the stress σcr.
3. Conclusions
Author Contributions
Funding
Conflicts of Interest
List of Symbols
| fc | compressive strength of masonry |
| εk | conventional yielding strain of masonry in compression |
| εu | conventional ultimate strain of masonry in compression |
| σcr | first cracking in tension of the mortar matrix |
| ff | tensile strength of the composite |
| εcr | strain corresponding to the stress σcr |
| εuf | ultimate strain of the composite |
| fmor | compressive strength of mortar matrix |
| Ec | modulus of elasticity of the masonry |
| Em | modulus of elasticity of the mortar matrix |
| Ef | modulus of elasticity of the dry fiber |
| E1 | uncracked modulus of elasticity of the composite |
| E2 | post- uncracked modulus of the composite system |
| normalized modulus of elasticity of the dry fiber | |
| normalized uncracked modulus of elasticity of the composite | |
| normalized post- uncracked modulus of elasticity of the composite | |
| normalized first cracking stress in tension of the mortar matrix | |
| normalized stress of the composite system | |
| Am | cross section of mortar matrix |
| Af | cross section of dry fiber |
| B | base of the cross section |
| H | height of the cross section |
| P | axial load |
| p | normalized axial load P |
| M | bending moment |
| m | normalized bending moment M |
| tf | equivalent thickness of fibers |
| tmor | thickness of mortar matrix |
| bc | lever arm of masonry resultant |
| bf | lever arm of FRCM resultant |
| bmor | lever arm of mortar matrix resultant |
| ψ | dimensionless factor that correlates real nonlinear stress distribution with stress block resultant |
| λ | dimensionless factor that correlates real distance of centroid of nonlinear stress distribution with the neutral axis depth |
| x | depth of the neutral axis |
| ξ | normalized neutral axis |
| ωf | mechanical fiber reinforcement ratio |
| ωm | mechanical compressed mortar matrix reinforcement ratio |
| ρm | ratio between the thickness of the mortar matrix and the height of masonry cross section |
References
- Formisano, A. Theoretical and Numerical Seismic Analysis of Masonry Building Aggregates: Case Studies in San Pio Delle Camere (L’Aquila, Italy). J. Earthq. Eng. 2017, 21, 227–245. [Google Scholar] [CrossRef]
- Chieffo, N.; Formisano, A. Induced seismic-site effects on the vulnerability assessment of a historical centre in the molise Region of Italy: Analysis method and real behaviour calibration based on 2002 earthquake. Geosciences 2020, 10, 21. [Google Scholar] [CrossRef]
- Salzano, P.; Casapulla, C.; Ceroni, F.; Prota, A. Seismic Vulnerability and Simplified Safety Assessments of Masonry Churches in the Ischia Island (Italy) after the 2017 Earthquake. Int. J. Archit. Herit. 2020. [Google Scholar] [CrossRef]
- Acito, M.; Magrinelli, E.; Milani, G.; Tiberti, S. Seismic vulnerability of masonry buildings: Numerical insight on damage causes for residential buildings by the 2016 central Italy seismic sequence and evaluation of strengthening techniques. J. Build. Eng. 2020, 28, 101081. [Google Scholar] [CrossRef]
- Alecci, V.; De Stefano, M.; Focacci, F.; Luciano, R.; Rovero, L.; Stipo, G. Strengthening masonry arches with lime-based mortar composite. Buildings 2017, 7, 49. [Google Scholar] [CrossRef]
- Chieffo, N.; Formisano, A.; Miguel Ferreira, T. Damage scenario-based approach and retrofitting strategies for seismic risk mitigation: An application to the historical Centre of Sant’Antimo (Italy). Eur. J. Environ. Civ. Eng. 2019, 2116–7214. [Google Scholar] [CrossRef]
- Task Group 9.3. Externally bonded FRP Reinforcement for RC Structures; Technical Report, fib Bulletin 14; International Federation for Structural Concrete: Lausanne, Switzerland, 2001.
- Teng, J.G.; Chen, J.F.; Smith, S.T.; Lam, L. FRP Strength-Ened RC Structures; Wiley: London, UK, 2002. [Google Scholar]
- Council of National Research (CNR). Guide for the Design and Construction of Externally Bonded FRP Systems for Strengthening Existing Structures—Materials, RC and PC Structures, Masonry Structures; CNR-DT 200 R1; CNR: Rome, Italy, 2013. [Google Scholar]
- Council of National Research (CNR). Guidelines for the Design and Construction of Externally Bonded FRP Systems for Strengthening Existing Structures—Timber Structures; CNR-DT 201; CNR: Rome, Italy, 2005. [Google Scholar]
- Council of National Research (CNR). Guidelines for the Design and Construction of Externally Bonded FRP Systems for Strengthening Existing Structures—Metallic structures; CNR-DT 202; CNR: Rome, Italy, 2005. [Google Scholar]
- Salzano, P.; Bonati, A.; Ceroni, F.; Crisci, G.; Franco, A.; Occhiuzzi, A. Statistical analysis on mechanical properties of FRP materials for structural strengthening. In Proceedings of the 7th ECCOMAS Thematic Conference on Computational Methods in Structural Dynamics and Earthquake Engineering, Crete, Greece, 24–26 June 2019; Papadrakakis, M., Fragiadakis, M., Eds.; COMPDYN: Crete, Greece, 2019; pp. 5153–5168. [Google Scholar]
- Nardone, F.; Lignola, G.P.; Prota, A.; Manfredi, G.; Nanni, A. Modeling of flexural behavior of RC beams strengthened with mechanically fastened FRP strips. Compos. Struct. 2011, 93, 1973–1985. [Google Scholar] [CrossRef]
- Parisi, F.; Lignola, G.P.; Augenti, N.; Prota, A.; Manfredi, G. Rocking response assessment of in-plane laterally-loaded masonry walls with openings. Eng. Struct. 2013, 56, 1234–1248. [Google Scholar] [CrossRef]
- Lignola, G.P.; Angiuli, R.; Prota, A.; Aiello, M.A. FRP confinement of masonry: Analytical modeling. Mater. Struct. 2014, 47, 2101–2115. [Google Scholar] [CrossRef]
- Carozzi, F.G.; Bellini, A.; D’Antino, T.; de Felice, G.; Focacci, F.; Hojdys, L. Experimental investigation on tensile and shear bond properties of Carbon-FRCM composites applied on masonry substrates. Compos. Part B 2016, 128, 100–119. [Google Scholar] [CrossRef]
- Ramaglia, G.; Lignola, G.P.; Fabbrocino, F.; Prota, A. Impact of natural fibers on the ultimate behaviour of masonry elements. In Proceedings of the AIMETA 2017—Proceedings of the 23rd Conference of the Italian Association of Theoretical and Applied Mechanics, Salerno, Italy, 4–7 September 2017. [Google Scholar]
- Kouris, L.A.S.; Triantafillou, T.C. State-of-the-art on strengthening of masonry structures with textile reinforced mortar (TRM). Constr. Build. Mater. 2018, 188, 1221–1233. [Google Scholar] [CrossRef]
- Crisci, G.; Ceroni, F.; Lignola, G.P. Comparison between Design Formulations and Numerical Results for In-Plane FRCM-Strengthened Masonry Walls. Appl. Sci. 2020, 10, 4998. [Google Scholar] [CrossRef]
- Garmendia, L.; San-José, J.T.; García, D.; Larrinaga, P. Rehabilitation of masonry arches with compatible advanced composite material. Constr. Build. Mater. 2011, 25, 4374–4385. [Google Scholar] [CrossRef]
- Gattesco, N.; Boem, I. Experimental and analytical study to evaluate the effectiveness of an in-plane reinforcement for masonry walls using GFRP meshes. Constr. Build. Mater. 2015, 88, 91–104. [Google Scholar] [CrossRef]
- Ramaglia, G.; Lignola, G.P.; Fabbrocino, F.; Prota, A. Numerical investigation of masonry strengthened with composites. Polymers 2018, 10, 334. [Google Scholar] [CrossRef]
- Ramaglia, G.; Fabbrocino, F.; Lignola, G.P.; Prota, A. Unified Theory for Flexural Strengthening of Masonry with Composites. Materials 2019, 12, 680. [Google Scholar] [CrossRef]
- Fabbrocino, F.; Ramaglia, G.; Lignola, G.P.; Prota, A. Ductility-based incremental analysis of curved masonry structures. Eng. Fail. Anal. 2019, 97, 653–675. [Google Scholar] [CrossRef]
- D’Ambra, C.; Lignola, G.P.; Prota, A.; Sacco, E.; Fabbrocino, F. Experimental performance of FRCM retrofit on out-of-plane behaviour of clay brick walls. Compos. Part B Eng. 2018, 148, 198–206. [Google Scholar] [CrossRef]
- Babaeidarabad, S.; De Caso, F.; Nanni, A. URM walls strengthened with fabric reinforced cementitious matrix composite subjected to diagonal compression. J. Compos. Constr. 2013, 18, 04013045. [Google Scholar] [CrossRef]
- Ferretti, F.; Ferracuti, B.; Incerti, A.; Mazzotti, C. Diagonal Compression Tests on Masonry Panels Strengthened by FRP and FRCM. In Structural Analysis of Historical Constructions; Van Balen, K., Verstrynge, E., Eds.; CRC Press/Balkema: Boca Raton, FL, USA, 2016; pp. 1069–1076. [Google Scholar]
- Crisci, G.; Ceroni, F.; Lignola, G.P. Efficiency of FRCM Systems for Strengthening of Masonry Walls. In Proceedings of the 17th International Conference of Numerical Analysis and Applied Mathematics, Rhodes, Greece, 23–28 September 2019. [Google Scholar]
- CNR-DT 215. Guide for the Design and Construction of Externally Bonded Fibre Reinforced Inorganic Matrix Systems for Strenghtening Existing Structures; Council of National Research: Rome, Italy, 2018. [Google Scholar]
- Lignola, G.P.; Flora, A.; Manfredi, G. Simple method for the design of jet grouted umbrellas in tunneling. J. Geotech. Geoenviron. Eng. 2008, 134, 1778–1790. [Google Scholar] [CrossRef]
- Lourenço, P.B. Experimental and Numerical Issues in the Modelling of the Mechanical Behaviour of Masonry; CIMNE: Barcelona, Spain, 1998. [Google Scholar]
- CEN Eurocode 6—Design of Masonry Structures. In Part 1-1: General Rules for Reinforced and Unreinforced Masonry Structures; British Standards Institution: London, UK, 2005.
- De Felice, G.; Aiello, M.A.; Caggegi, C.; Ceroni, F.; De Santis, S.; Garbin, E.; Gattesco, N.; Hojdys, Ł.; Krajewski, P.; Kwiecien, A.; et al. Recommendation of RILEM Technical Committee 250-CSM: Test method for Textile Reinforced Mortar to substrate bond characterization. Spring Mater. Struct. 2018, 51, 95. [Google Scholar] [CrossRef]
- Bilotta, A.; Ceroni, F.; Nigro, E.; Pecce, M. Experimental tests on FRCM strengthening systems for tuff masonry elements. Constr. Build. Mater. 2017, 138, 114–133. [Google Scholar] [CrossRef]
- Bilotta, A.; Ceroni, F.; Lignola, G.P.; Prota, A. Use of DIC technique for investigating the behavior of FRCM materials for strengthening masonry elements. Compos. Part B 2017, 129, 251–270. [Google Scholar] [CrossRef]
- CEN Eurocode 2—Design of Concrete Structures-Part 1-1: General Rules and Rules for Buildings; British Standards Institution: London, UK, 2004.
- Lignola, G.P.; Giamundo, V.; Prota, A.; Cosenza, E. A unified theory for RC cross sections up to ultimate load, including hardening or softening of concrete. In Proceedings of the 4th Fib Congress 2014, Mumbai, India, 10–14 February 2014; pp. 134–193. [Google Scholar]
- Papanicolaou, C.G.; Triantafillou, T.C.; Papathanasiou, M.; Karlos, K. Textile reinforced mortar (TRM) versus FRP as strengthening material of URM walls: Out-of-plane cyclic loading. Mater. Struct. 2008, 41, 143–157. [Google Scholar] [CrossRef]












| Ēf | Ē1 | Ē2 | εuf | |
|---|---|---|---|---|
| [-] | [-] | [-] | [-] | [-] |
| 16.67 | 500 | 12.61 | 0.25 | 0.06 |
| Ef | ff | Em | σcr | tf | tmor | E1 | E2 |
|---|---|---|---|---|---|---|---|
| [GPa] | [MPa] | [MPa] | [MPa] | [mm] | [mm] | [GPa] | [GPa] |
| 36 | 2150 | 1041 | 538 | 0.02 | 20 | 1077 | 27 |
| Adopted Dimensional Parameters | |||||||
|---|---|---|---|---|---|---|---|
| fc | ff | Em | σcr | fmor | Af | Ef | Amor |
| [MPa] | [MPa] | [MPa] | [MPa] | [MPa] | [mm2] | [GPa] | [mm2] |
| 4.3 | 3350 | 630 | 836 | 31.36 | 18.8 | 225 | 800 |
| Adopted Dimensionless Parameters | ||||||
|---|---|---|---|---|---|---|
| E1/ff | E2/ff | εcr | εuf | ωf | ωm | ρm |
| [-] | [-] | [-] | [-] | [-] | [-] | [-] |
| 75.2 | 64.9 | 0.003 | 0.01489 | 0.43 | 0.17 | 0.024 |
Publisher’s Note: MDPI stays neutral with regard to jurisdictional claims in published maps and institutional affiliations. |
© 2020 by the authors. Licensee MDPI, Basel, Switzerland. This article is an open access article distributed under the terms and conditions of the Creative Commons Attribution (CC BY) license (http://creativecommons.org/licenses/by/4.0/).
Share and Cite
Crisci, G.; Ramaglia, G.; Lignola, G.P.; Fabbrocino, F.; Prota, A. Effects of the Mortar Matrix on the Flexural Capacity of Masonry Cross Sections Strengthened with FRCM Materials. Appl. Sci. 2020, 10, 7908. https://doi.org/10.3390/app10217908
Crisci G, Ramaglia G, Lignola GP, Fabbrocino F, Prota A. Effects of the Mortar Matrix on the Flexural Capacity of Masonry Cross Sections Strengthened with FRCM Materials. Applied Sciences. 2020; 10(21):7908. https://doi.org/10.3390/app10217908
Chicago/Turabian StyleCrisci, Giovanni, Giancarlo Ramaglia, Gian Piero Lignola, Francesco Fabbrocino, and Andrea Prota. 2020. "Effects of the Mortar Matrix on the Flexural Capacity of Masonry Cross Sections Strengthened with FRCM Materials" Applied Sciences 10, no. 21: 7908. https://doi.org/10.3390/app10217908
APA StyleCrisci, G., Ramaglia, G., Lignola, G. P., Fabbrocino, F., & Prota, A. (2020). Effects of the Mortar Matrix on the Flexural Capacity of Masonry Cross Sections Strengthened with FRCM Materials. Applied Sciences, 10(21), 7908. https://doi.org/10.3390/app10217908

