Antibacterial Effect of an Active Absorbent Pad on Fresh Beef Meat during the Shelf-Life: Preliminary Results
Abstract
1. Introduction
2. Materials and Methods
2.1. Active Absorbent Pad
2.2. Sample Preparation
2.3. Chemical–Physical Parameters
2.4. Microbiological Analyses
2.5. Data Analysis
3. Results and Discussion
3.1. Physico-Chemical Parameters
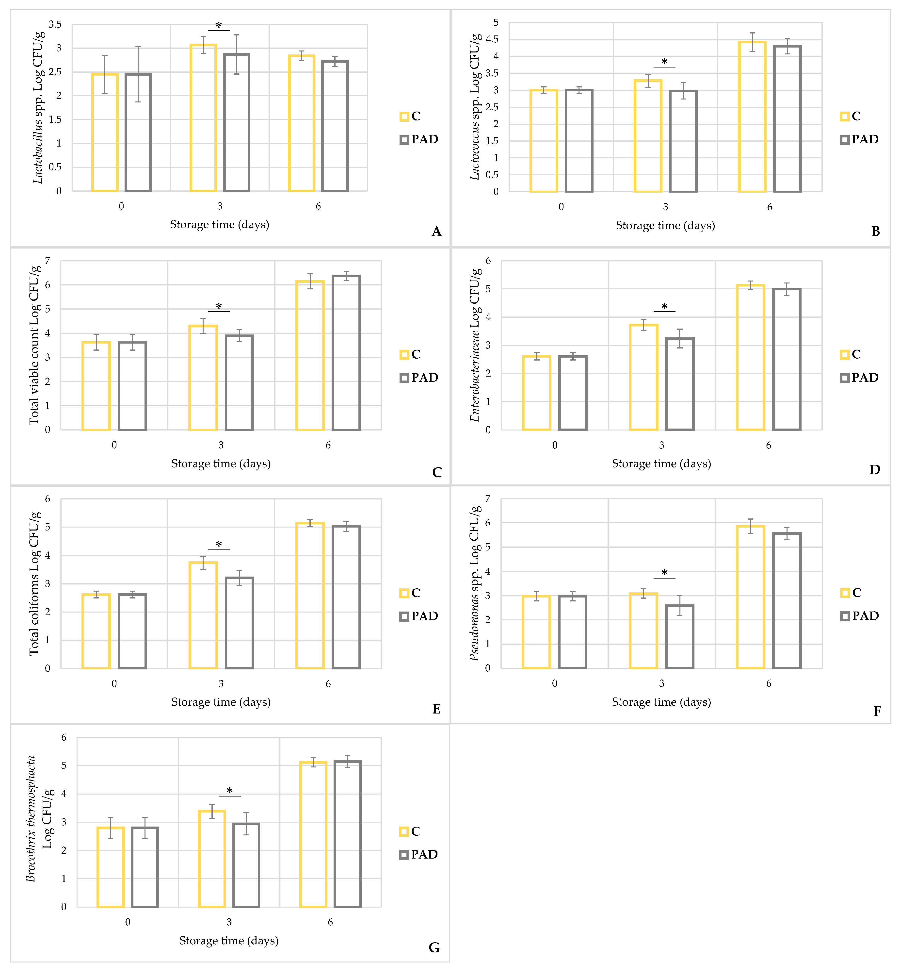
3.2. Microbiological Analyses
4. Conclusions
5. Patents
Author Contributions
Funding
Acknowledgments
Conflicts of Interest
References
- Sheridan, J.J. Sources of Contamination During Slaughter. J. Food Saf. 1998, 18, 321–339. [Google Scholar] [CrossRef]
- Nel, S.; Lues, J.F.R.; Buys, E.M.; Venter, P. Bacterial populations associated with meat from the deboning room of a high throughput red meat abattoir. Meat Sci. 2004, 66, 667–674. [Google Scholar] [CrossRef]
- Gaikwad, K.K.; Singh, S.; Lee, Y.S. A pyrogallol-coated modified LDPE film as an oxygen scavenging film for active packaging materials. Prog. Org. Coat. 2017. [Google Scholar] [CrossRef]
- Singh, S.; Gaikwad, K.K.; Lee, Y.S. Phase change materials for advanced cooling packaging. Environ. Chem. Lett. 2018, 16, 845–859. [Google Scholar] [CrossRef]
- Choi, H.Y.; Lee, Y.S. Characteristics of moisture-absorbing film impregnated with synthesized attapulgite with acrylamide and its effect on the quality of seasoned laver during storage. J. Food Eng. 2013. [Google Scholar] [CrossRef]
- Gaikwad, K.K.; Singh, S.; Lee, Y.S. Antimicrobial and improved barrier properties of natural phenolic compound-coated polymeric films for active packaging applications. J. Coat. Technol. Res. 2019. [Google Scholar] [CrossRef]
- Singh, S.; Gaikwad, K.K.; Lee, M.; Lee, Y.S. Temperature sensitive smart packaging for monitoring the shelf life of fresh beef. J. Food Eng. 2018. [Google Scholar] [CrossRef]
- Holman, B.W.B.; Kerry, J.P.; Hopkins, D.L. Meat packaging solutions to current industry challenges: A review. Meat Sci. 2018, 144, 159–168. [Google Scholar] [CrossRef]
- Panseri, S.; Martino, P.A.; Cagnardi, P.; Celano, G.; Tedesco, D.; Castrica, M.; Balzaretti, C.; Chiesa, L.M. Feasibility of biodegradable based packaging used for red meat storage during shelf-life: A pilot study. Food Chem. 2018. [Google Scholar] [CrossRef]
- Łopacka, J.; Półtorak, A.; Wierzbicka, A. Effect of MAP, vacuum skin-pack and combined packaging methods on physicochemical properties of beef steaks stored up to 12 days. Meat Sci. 2016. [Google Scholar] [CrossRef]
- McMillin, K.W. Where is MAP Going? A review and future potential of modified atmosphere packaging for meat. Meat Sci. 2008, 90, 43–65. [Google Scholar] [CrossRef]
- Otoni, C.G.; Espitia, P.J.P.; Avena-Bustillos, R.J.; McHugh, T.H. Trends in antimicrobial food packaging systems: Emitting sachets and absorbent pads. Food Res. Int. 2016, 83, 60–73. [Google Scholar] [CrossRef]
- Ahvenainen, R. Novel Food Packaging Techniques; Elsevier: Amsterdam, The Netherlands, 2003; ISBN 9781855736757. [Google Scholar]
- Appendini, P.; Hotchkiss, J.H. Review of antimicrobial food packaging. Innov. Food Sci. Emerg. Technol. 2002. [Google Scholar] [CrossRef]
- Goldberg, S.; Doyle, R.J.; Rosenberg, M. Mechanism of enhancement of microbial cell hydrophobicity by cationic polymers. J. Bacteriol. 1990. [Google Scholar] [CrossRef] [PubMed]
- Daifas, D.P.; Smith, J.P.; Tarte, I.; Blanchfield, B.; Austin, J.W. Effect of ethanol vapor on growth and toxin production by Clostridium botulinum in a high moisture bakery product. J. Food Saf. 2000. [Google Scholar] [CrossRef]
- Pereira, A.P.; Ferreira, I.C.F.R.; Marcelino, F.; Valentão, P.; Andrade, P.B.; Seabra, R.; Estevinho, L.; Bento, A.; Pereira, J.A. Phenolic compounds and antimicrobial activity of olive (Olea europaea L. Cv. Cobrançosa) leaves. Molecules 2007, 12, 1153. [Google Scholar] [CrossRef] [PubMed]
- Fernández, A.; Picouet, P.; Lloret, E. Reduction of the spoilage-related microflora in absorbent pads by silver nanotechnology during modified atmosphere packaging of beef meat. J. Food Prot. 2010, 73, 2263–2269. [Google Scholar] [CrossRef]
- Arvanitoyannis, I.S.; Stratakos, A.C. Application of modified atmosphere packaging and active/smart technologies to red meat and poultry: A review. Food Bioprocess Technol. 2012, 5, 1423–1456. [Google Scholar] [CrossRef]
- Han, J.H.; Patel, D.; Kim, J.E.; Min, S.C. Retardation of Listeria monocytogenes growth in mozzarella cheese using antimicrobial sachets containing rosemary oil and thyme oil. J. Food Sci. 2014. [Google Scholar] [CrossRef]
- Ayala-Zavala, J.F.; González-Aguilar, G.A. Optimizing the use of garlic oil as antimicrobial agent on fresh-cut tomato through a controlled release system. J. Food Sci. 2010. [Google Scholar] [CrossRef]
- Medeiros, E.A.A.; Soares, N.D.F.F.; Polito, T.D.O.S.; Sousa, M.M.D.; Silva, D.F.P. Sachês antimicrobianos em pós-colheita de manga. Rev. Bras. Frutic. 2011. [Google Scholar] [CrossRef]
- Sharma, G. Digital Color Imaging Handbook; CRC Press: Boca Raton, FL, USA, 2017; ISBN 9781420041484. [Google Scholar]
- Castrica, M.; Menchetti, L.; Balzaretti, C.M.; Branciari, R.; Ranucci, D.; Cotozzolo, E.; Vigo, D.; Curone, G.; Brecchia, G.; Miraglia, D. Impact of dietary supplementation with goji berries (lycium barbarum) on microbiological quality, physico-chemical, and sensory characteristics of rabbit meat. Foods 2020, 9, 1480. [Google Scholar] [CrossRef] [PubMed]
- Rodríguez-Calleja, J.M.; García-López, M.L.; Santos, J.A.; Otero, A. Development of the aerobic spoilage flora of chilled rabbit meat. Meat Sci. 2005. [Google Scholar] [CrossRef]
- Dave, D.; Ghaly, A.E. Meat spoilage mechanisms and preservation techniques: A critical review. Am. J. Agric. Biol. Sci. 2011. [Google Scholar] [CrossRef]
- Faustman, C.; Cassens, R.G. The biochemical basis for discoloration in fresh meat: A review. J. Muscle Foods 1990. [Google Scholar] [CrossRef]
- Jeyamkondan, S.; Jayas, D.S.; Holley, R.A. Review of centralized packaging systems for distribution of retail-ready meet. J. Food Prot. 2000, 63, 796–806. [Google Scholar] [CrossRef]
- Renerre, M. Oxidative processes and myoglobin. In Antioxidants in Muscle Foods: Nutritional Strategies to Improve Quality; John Wiley & Sons: Hoboken, NJ, USA, 2000; ISBN 0-471-31454-4. [Google Scholar]
- Arvanitoyannis, I.S.; Tsitsika, E.V.; Panagiotaki, P. Implementation of quality control methods (physicochemical, microbiological and sensory) in conjunction with multivariate analysis towards fish authenticity. Int. J. Food Sci. Technol. 2005, 40, 237–263. [Google Scholar] [CrossRef]
- Sun, X.D.; Holley, R.A. Antimicrobial and antioxidative strategies to reduce pathogens and extend the shelf life of fresh red meats. Compr. Rev. Food Sci. Food Saf. 2012. [Google Scholar] [CrossRef]
- O’Sullivan, M.G.; Kerry, J.P. Instrumental assessment of the sensory quality of meat, poultry and fish. Instrum. Assess. Food Sens. Qual. 2013. [Google Scholar] [CrossRef]
- Doulgeraki, A.I.; Ercolini, D.; Villani, F.; Nychas, G.J.E. Spoilage microbiota associated to the storage of raw meat in different conditions. Int. J. Food Microbiol. 2012, 157, 130–141. [Google Scholar] [CrossRef]
- Koutsoumanis, K.; Stamatiou, A.; Skandamis, P.; Nychas, G.J.E. Development of a microbial model for the combined effect of temperature and pH on spoilage of ground meat, and validation of the model under dynamic temperature conditions. Appl. Environ. Microbiol. 2006. [Google Scholar] [CrossRef] [PubMed]
- Nychas, G.J.E.; Skandamis, P.N.; Tassou, C.C.; Koutsoumanis, K.P. Meat spoilage during distribution. Meat Sci. 2008. [Google Scholar] [CrossRef] [PubMed]
- Corry, J.E.L. Spoilage organisms of red meat and poultry. In Microbiological Analysis of Red Meat, Poultry and Eggs: A Volume in Woodhead Publishing Series in Food Science, Technology and Nutrition; Woodhead Publishing: Cambridge, UK, 2006; ISBN 9781845690595. [Google Scholar]
- Nychas, G.J.E.; Skandamis, P.N. Fresh meat spoilage and modified atmosphere packaging (MAP). In Improving the Safety of Fresh Meat; Elsevier: Amsterdam, The Nederlanden, 2005; ISBN 9781855739550. [Google Scholar]
- Ercolini, D.; Casaburi, A.; Nasi, A.; Ferrocino, I.; Di Monaco, R.; Ferranti, P.; Mauriello, G.; Villani, F. Different molecular types of Pseudomonas fragi have the same overall behaviour as meat spoilers. Int. J. Food Microbiol. 2010. [Google Scholar] [CrossRef]
- Silva, F.; Domingues, F.C.; Nerín, C. Control microbial growth on fresh chicken meat using pinosylvin inclusion complexes based packaging absorbent pads. LWT Food Sci. Technol. 2018, 89, 148–154. [Google Scholar] [CrossRef]
- Ren, T.; Qiao, M.; Huang, T.S.; Weese, J.; Ren, X. Efficacy of N-halamine compound on reduction of microorganisms in absorbent food pads of raw beef. Food Control 2018, 84, 255–262. [Google Scholar] [CrossRef]
- Fang, Z.; Zhao, Y.; Warner, R.D.; Johnson, S.K. Active and intelligent packaging in meat industry. Trends Food Sci. Technol. 2017, 61, 60–71. [Google Scholar] [CrossRef]
- Coma, V. Bioactive packaging technologies for extended shelf life of meat-based products. Meat Sci. 2008, 78, 90. [Google Scholar] [CrossRef]
- Kerry, J.P.; O’Grady, M.N.; Hogan, S.A. Past, current and potential utilisation of active and intelligent packaging systems for meat and muscle-based products: A review. Meat Sci. 2006. [Google Scholar] [CrossRef]
- Quintavalla, S.; Vicini, L. Antimicrobial food packaging in meat industry. Meat Sci. 2002. [Google Scholar] [CrossRef]
- Realini, C.E.; Marcos, B. Active and intelligent packaging systems for a modern society. Meat Sci. 2014. [Google Scholar] [CrossRef]



| Parameter | Day | Group | Significance | |||
|---|---|---|---|---|---|---|
| Control | PAD | Group | Time | Group × Time | ||
| pH | 0 | 5.54 ± 0.01 | 0.008 | <0.001 | <0.001 | |
| 3 | 5.42 a ± 0.02 | 5.49 b ± 0.02 | ||||
| 6 | 5.56 a ± 0.02 | 5.58 a ± 0.02 | ||||
| L* | 0 | 45.90 ± 0.24 | <0.001 | <0.001 | <0.001 | |
| 3 | 45.22 a ± 0.25 | 45.04 a ± 0.25 | ||||
| 6 | 36.83 a ± 0.25 | 42.15 b ± 0.25 | ||||
| a* | 0 | 22.43 ± 0.07 | 0.562 | <0.001 | 0.087 | |
| 3 | 21.40 a ± 0.15 | 22.23 a ± 0.15 | ||||
| 6 | 19.86 a ± 0.71 | 19.44 a ± 0.27 | ||||
| b* | 0 | 14.54 ± 0.10 | 0.198 | <0.001 | 0.908 | |
| 3 | 13.58 a ± 0.09 | 13.33 a ± 0.07 | ||||
| 6 | 11.62 a ± 0.35 | 11.41 a ± 0.08 | ||||
| Storage Time | |||
|---|---|---|---|
| Day 0 | Control vs. PAD Day 3 | Control vs. PAD Day 6 | |
| 1.69 | 5.35 * | ||
| D0–D3 | D3–D6 | D0–D6 | |
| Control | 1.41 | 9.34 * | 9.88 * |
| PAD | 1.96 | 4.05 * | 5.73 * |
Publisher’s Note: MDPI stays neutral with regard to jurisdictional claims in published maps and institutional affiliations. |
© 2020 by the authors. Licensee MDPI, Basel, Switzerland. This article is an open access article distributed under the terms and conditions of the Creative Commons Attribution (CC BY) license (http://creativecommons.org/licenses/by/4.0/).
Share and Cite
Castrica, M.; Miraglia, D.; Menchetti, L.; Branciari, R.; Ranucci, D.; Balzaretti, C.M. Antibacterial Effect of an Active Absorbent Pad on Fresh Beef Meat during the Shelf-Life: Preliminary Results. Appl. Sci. 2020, 10, 7904. https://doi.org/10.3390/app10217904
Castrica M, Miraglia D, Menchetti L, Branciari R, Ranucci D, Balzaretti CM. Antibacterial Effect of an Active Absorbent Pad on Fresh Beef Meat during the Shelf-Life: Preliminary Results. Applied Sciences. 2020; 10(21):7904. https://doi.org/10.3390/app10217904
Chicago/Turabian StyleCastrica, Marta, Dino Miraglia, Laura Menchetti, Raffaella Branciari, David Ranucci, and Claudia M. Balzaretti. 2020. "Antibacterial Effect of an Active Absorbent Pad on Fresh Beef Meat during the Shelf-Life: Preliminary Results" Applied Sciences 10, no. 21: 7904. https://doi.org/10.3390/app10217904
APA StyleCastrica, M., Miraglia, D., Menchetti, L., Branciari, R., Ranucci, D., & Balzaretti, C. M. (2020). Antibacterial Effect of an Active Absorbent Pad on Fresh Beef Meat during the Shelf-Life: Preliminary Results. Applied Sciences, 10(21), 7904. https://doi.org/10.3390/app10217904

