A New Split Gate Resurf Stepped Oxide UMOSFET Structure with High Doped Epitaxial Layer for Improving Figure of Merit (FOM)
Abstract
:Featured Application
Abstract
1. Introduction
2. Device Structure and Mechanism
3. Fabrication Procedure
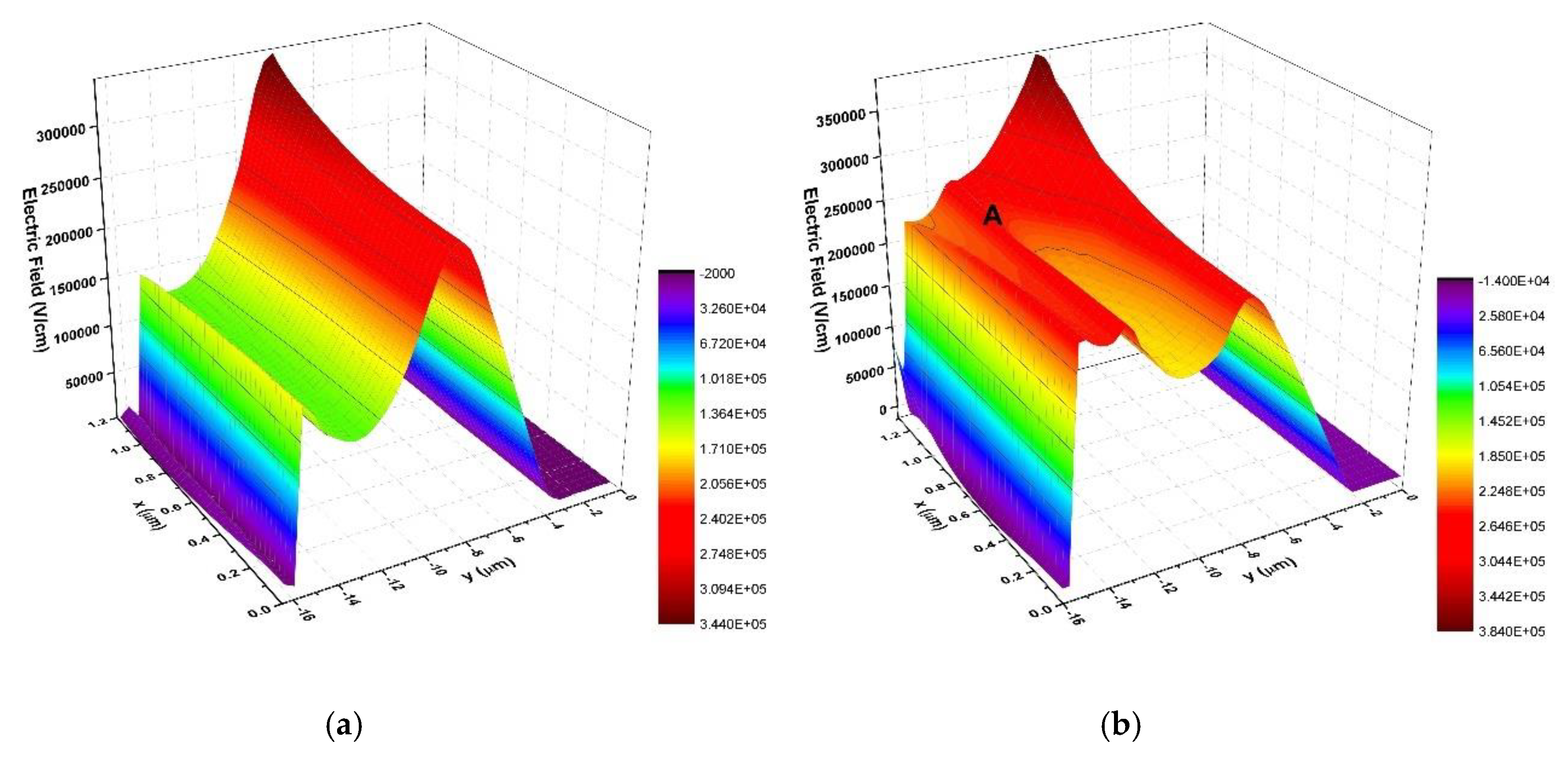
4. Results and Discussion
5. Conclusions
Author Contributions
Funding
Conflicts of Interest
References
- Shi, L.; Fan, X.; Miao, Z.; Wang, P.; Shen, K.; Yao, L. A technique for fabricating low voltage charge-coupled mosfet with 0.9 UM pitch size. In Proceedings of the China Semiconductor Technology International Conference, Shanghai, China, 11–12 March 2018. [Google Scholar]
- Kang, H.; Udrea, F. Theory of 3-D Superjunction MOSFET. IEEE Trans. Electron Devices 2019, 66, 5254–5259. [Google Scholar] [CrossRef]
- Ye, Z.Y.; Liu, L.; Yao, Y.; Lin, M.Z.; Wang, P.F. Fabrication of a 650V Superjunction MOSFET With Built-in MOS-Channel Diode for Fast Reverse Recovery. IEEE Electron Device Lett. 2019, 40, 1159–1162. [Google Scholar] [CrossRef]
- Kang, H.; Udrea, F. Analytic Model of Specific ON-State Resistance for Superjunction MOSFETs with an Oxide Pillar. IEEE Electron Device Lett. 2019, 40, 761–764. [Google Scholar] [CrossRef]
- Baliga, B.J. Vertical Field Effect Transistors Having Improved Breakdown Voltage Capability and Low On-State Resistance. U.S. Patent 5637898A, 10 June 1997. [Google Scholar]
- Koops, G.E.J.; Hijzen, E.A.; Hueting, R.J.E.; Zandt, M.A.A. RESURF stepped oxide (RSO) MOSFET for 85V having a record-low specific on-resistance. In Proceedings of the 16th International Symposium on Power Semiconductor Devices and ICs, Kitakyushu, Japan, 24–27 May 2004; pp. 185–188. [Google Scholar]
- Gajda, M.A.; Hodgskiss, S.W.; Mounfield, L.A.; Irwin, N.T.; Koops, G.E.J.; van Dalen, R. Industrialisation of Resurf Stepped Oxide Technology for Power Transistors. In Proceedings of the IEEE International Symposium on Power Semiconductor Devices and IC’s, Naples, Italy, 4–8 June 2006; pp. 1–4. [Google Scholar]
- Goarin, P.; Koops, G.E.J.; van Dalen, R.; Cam, C.L.; Saby, J. Split-gate Resurf Stepped Oxide (RSO) MOSFETs for 25V applications with record low gate-to-drain charge. In Proceedings of the 19th International Symposium on Power Semiconductor Devices and IC’s, Jeju Island, Korea, 27–31 May 2007; pp. 61–64. [Google Scholar]
- Tong, C.F.; Cortes, I.; Mawby, P.A.; Covington, J.A. Static and Dynamic Analysis of Split-Gate RESURF Stepped Oxide (RSO) MOSFETs for 35 V Applications. In Proceedings of the Conference on Electron Devices, Santiago de Compostela, Spain, 11–13 February 2009. [Google Scholar]
- Park, C.; Azam, M.; Dengel, G.; Shibib, A.; Terrill, K. A New 200 V Dual Trench MOSFET With Stepped Oxide for Ultra Low RDS(on). In Proceedings of the 31st International Symposium on Power Semiconductor Devices and ICs, Shanghai, China, 19–23 May 2019; pp. 95–98. [Google Scholar]
- Baliga, B.J.; North Carolina State University. Power Semiconductor Devices Having Improved High Frequency Switching and Breakdown Characteristics. U.S. Patent 5,998,833, 7 December 1999. [Google Scholar]
- Wang, Y.; Hu, H.; Jiao, W. Split-Gate-Enhanced UMOSFET with an Optimized Layout of Trench Surrounding Mesa. IEEE Trans. Electron Devices 2012, 59, 3037–3041. [Google Scholar] [CrossRef]
- Wang, Y.; Lan, H.; Cao, F.; Liu, Y.-T.; Shao, L. A novel power UMOSFET with a variable K dielectric layer. Chin. Phys. Soc. 2012, 21, 569–572. [Google Scholar] [CrossRef]
- Wang, Y.; Hu, H.F.; Yu, C.H.; Lan, H. High-performance split-gate enhanced UMOSFET with p-pillar structure. IEEE Trans. Electron Devices 2013, 60, 2302–2307. [Google Scholar] [CrossRef]
- Wang, Y.; Lan, H.; Dou, Z.; Hu, H.F. Method to improve trade-off performance for split-gate power U-shape metal-oxide semiconductor field-effect transistor with compound trench dielectrics. IET Power Electron. 2014, 7, 2030–2034. [Google Scholar]
- Wang, Y.; Hu, H.F.; Zheng, D.; Yu, C.H. Way of operation to improve performance for advanced split gate resurf stepped oxide UMOSFET. IET Power Electron. 2014, 7, 2964–2968. [Google Scholar] [CrossRef]
- Wang, Y.; Hu, H.F.; Yu, C.-H.; Wei, J.-T. Advanced hexagonal layout design for split-gate reduced surface field stepped oxide U-groove metal–oxide–semiconductor field-effect transistor. IET Power Electron. 2015, 8, 678–684. [Google Scholar]
- Park, C.; Havanur, S.; Shibib, A.; Terrill, K. 60 V rating split gate trench MOSFETs having best-in-class specific resistance and Figure-of-merit. In Proceedings of the 28th International Symposium on Power Semiconductor Devices and ICs, Prague, Czech Republic, 12–16 June 2016; pp. 387–390. [Google Scholar]
- Wang, Y.; Yu, C.; Li, M.; Cao, F.; Liu, Y. High-Performance Split-Gate-Enhanced UMOSFET with Dual Channels. IEEE Trans. Electron Devices 2017, 64, 1455–1460. [Google Scholar] [CrossRef]
- Kobayashi, K.; Kato, H.; Nishiguchi, T.; Shimomura, S.; Ohno, T.; Nishiwaki, T.; Aida, K.; Ichinoseki, K.; Oasa, K.; Kawaguchi, Y. 100-V Class Two-step-oxide Field-Plate Trench MOSFET to Achieve Optimum RESURF Effect and Ultralow On-resistance. In Proceedings of the 31st International Symposium on Power Semiconductor Devices and ICs, Shanghai, China, 19–23 May 2019; pp. 99–102. [Google Scholar]
- Baliga, B.J. Advanced Power MOSFET Concepts; Springer Science and Business Media: New York, NY, USA, 2010. [Google Scholar]
- Baliga, B.J. Trends in power discrete devices. In Proceedings of the 10th International Symposium on Power Semiconductor Devices and ICs, Kyoto, Japan, 3–6 June 1998; pp. 5–10. [Google Scholar]
- Wang, Y.; Hu, H.; Jiao, W. High-Performance Gate-Enhanced Power UMOSFET with Optimized Structure. IEEE Electron Device Lett. 2010, 31, 1281–1283. [Google Scholar] [CrossRef]
- Hattori, Y.; Nakashima, K.; Kuwahara, M.; Yoshida, T.; Yamauchi, S.; Yamaguchi, H. Design of a 200V Super Junction MOSFET with n-buffer regions and its Fabrication by Trench Filling. In Proceedings of the International Symposium on Power Semiconductor Devices and ICs, Kitakyushu, Japan, 24–27 May 2004; pp. 189–192. [Google Scholar]
- Shibata, T.; Noda, Y.; Yamauchi, S.; Nogami, S.; Yamaoka, T.; Hattori, Y.; Yamaguchi, H. 200V Trench Filling Type Super Junction MOSFET with Orthogonal Gate Structure. In Proceedings of the 19th International Symposium on Power Semiconductor Devices and IC’s, Jeju Island, Korea, 27–31 May 2007; pp. 37–40. [Google Scholar]









| Parameter | Value |
|---|---|
| Trench depth (HT) | 7.5 μm |
| Gate depth(HG) | 1.0 μm |
| n+ source junction depth | 0.2 μm |
| p- body junction depth | 0.8 μm |
| p- body doping concentration | 1.5 × 1018 cm−3 |
| Trench width (WT) | 3.6 μm |
| Mesa Width (WM) | 3.2 μm |
| Width of E1 (T1) | 1.6 μm |
| Thickness of field oxide (t1) | 1.2 μm |
| n-drift region doping concentration (ND) | 1 × 1015 cm−3 |
| Doping of lower epitaxial layer (N2) | 5 × 1015 cm−3 |
| Doping of middle epitaxial layer (N1) | 1.5 × 1016 cm−3 |
| Doping of upper epitaxial layer (N2) | 5 × 1015 cm−3 |
| Thickness of gate oxide | 50 nm |
| Thickness of n- drift region (L) | 16 μm |
| Thickness of lower epitaxial layer (L1) | 3.2 μm |
| Thickness of middle epitaxial layer (L2) | 4 μm |
| Thickness of upper epitaxial layer (L3) | 8.8 μm |
| Height of source electrode of SGRSO (H) | 6.3 μm |
| td(on) (ns) | td(off) (ns) | tr (ns) | tf (ns) | Eon (μJ) | Eoff (μJ) | |
|---|---|---|---|---|---|---|
| SGRSO | 0.59 | 7.57 | 0.57 | 5.59 | 0.081 | 0.92 |
| HDSGRSO | 0.48 | 7.93 | 0.69 | 17.64 | 0.082 | 1.78 |
Publisher’s Note: MDPI stays neutral with regard to jurisdictional claims in published maps and institutional affiliations. |
© 2020 by the authors. Licensee MDPI, Basel, Switzerland. This article is an open access article distributed under the terms and conditions of the Creative Commons Attribution (CC BY) license (http://creativecommons.org/licenses/by/4.0/).
Share and Cite
Chen, R.; Wang, L.; Zhang, H.; Cui, M.; Guo, M. A New Split Gate Resurf Stepped Oxide UMOSFET Structure with High Doped Epitaxial Layer for Improving Figure of Merit (FOM). Appl. Sci. 2020, 10, 7895. https://doi.org/10.3390/app10217895
Chen R, Wang L, Zhang H, Cui M, Guo M. A New Split Gate Resurf Stepped Oxide UMOSFET Structure with High Doped Epitaxial Layer for Improving Figure of Merit (FOM). Applied Sciences. 2020; 10(21):7895. https://doi.org/10.3390/app10217895
Chicago/Turabian StyleChen, Runze, Lixin Wang, Hongkai Zhang, Mengyao Cui, and Min Guo. 2020. "A New Split Gate Resurf Stepped Oxide UMOSFET Structure with High Doped Epitaxial Layer for Improving Figure of Merit (FOM)" Applied Sciences 10, no. 21: 7895. https://doi.org/10.3390/app10217895
APA StyleChen, R., Wang, L., Zhang, H., Cui, M., & Guo, M. (2020). A New Split Gate Resurf Stepped Oxide UMOSFET Structure with High Doped Epitaxial Layer for Improving Figure of Merit (FOM). Applied Sciences, 10(21), 7895. https://doi.org/10.3390/app10217895
