Detection for Frying Times of Various Edible Oils Based on Near-Infrared Spectroscopy
Abstract
1. Introduction
2. Materials and Methods
2.1. Materials and Instruments
2.2. Experimental Method
2.2.1. Frying Process
2.2.2. Spectral Acquisition
2.3. Data Processing and Analysis
2.3.1. Preprocessing Method
2.3.2. Extraction of Spectral Characteristic Wavelength
2.3.3. Prediction of Frying Times
3. Results and Discussion
3.1. Spectral Pretreatment
3.2. Selection of Characteristic Wavelength
3.3. Model Establishment and Evaluation
4. Conclusions
Author Contributions
Funding
Acknowledgments
Conflicts of Interest
References
- Moreira, R.G.; Castell-Perez, M.E.; Barrufet, M.A. Fried Product Processing and Characteristics. In Deep-Fat Frying: Fundamentals and Applications; Aspen Publishers Inc.: Frederick, MD, USA, 1999; pp. 11–31. [Google Scholar]
- Sun, Y.; Zhang, M.; Fan, D. Effect of ultrasonic on deterioration of oil in microwave vacuum frying and prediction of frying oil quality based on low field nuclear magnetic resonance (LF-NMR). Ultrason. Sonochem. 2019, 51, 77–89. [Google Scholar] [CrossRef]
- Castejón, D.; Herrera, A.; Heras, A.; Cambero, I.; Mateos-Aparicio, I. Oil quality control of culinary oils subjected to deep-fat frying based on NMR and EPR Spectroscopy. Food Anal. Methods 2017, 10, 2467–2480. [Google Scholar] [CrossRef]
- Debnath, S.; Rastogi, N.; Krishna, A.G.; Lokesh, B.R. Effect of frying cycles on physical, chemical and heat transfer quality of rice bran oil during deep-fat frying of poori: An Indian traditional fried food. Food Bioprod. Process. 2012, 90, 249–256. [Google Scholar] [CrossRef]
- Gertz, C.; Behmer, D. Application of FT-NIR spectroscopy in assessment of used frying fats and oils*. Eur. J. Lipid Sci. Technol. 2014, 116, 756–762. [Google Scholar] [CrossRef]
- Gil, B.; Cho, Y.J.; Yoon, S.H. Rapid determination of polar compounds in frying fats and oils using image analysis. LWT 2004, 37, 657–661. [Google Scholar] [CrossRef]
- Yang, J.; Zhao, K.; He, Y. Quality evaluation of frying oil deterioration by dielectric spectroscopy. J. Food Eng. 2016, 180, 69–76. [Google Scholar] [CrossRef]
- Farhoosh, R.; Tavassoli-Kafrani, M.H. Simultaneous monitoring of the conventional qualitative indicators during frying of sunflower oil. Food Chem. 2011, 125, 209–213. [Google Scholar] [CrossRef]
- Aniołowska, M.; Kita, A. The effect of type of oil and degree of degradation on glycidyl esters content during the frying of french fries. J. Am. Oil Chem. Soc. 2015, 92, 1621–1631. [Google Scholar] [CrossRef]
- Aniołowska, M.; Kita, A. The effect of frying on glycidyl esters content in palm oil. Food Chem. 2016, 203, 95–103. [Google Scholar] [CrossRef]
- Srivastava, Y.; Semwal, A.D. A study on monitoring of frying performance and oxidative stability of virgin coconut oil (VCO) during continuous/prolonged deep fat frying process using chemical and FTIR spectroscopy. J. Food Sci. Technol. 2013, 52, 984–991. [Google Scholar] [CrossRef]
- Uriarte, P.; Guillén, M.D. Formation of toxic alkylbenzenes in edible oils submitted to frying temperature. Food Res. Int. 2010, 43, 2161–2170. [Google Scholar] [CrossRef]
- Ramadan, M.F.; Sharoba, A.M. Rheological characteristics of vegetable oils as affected by deep frying of French fries. J. Food Meas. Charact. 2014, 8, 171–179. [Google Scholar] [CrossRef]
- Li, X.; Li, J.; Wang, Y.; Cao, P.; Liu, Y. Effects of frying oils’ fatty acids profile on the formation of polar lipids components and their retention in French fries over deep-frying process. Food Chem. 2017, 237, 98–105. [Google Scholar] [CrossRef]
- Feng, H.; Li, Y.; Sui, X.; Qi, B.; Wang, Z.; Jiang, L.; Cao, W. Effect of frying cycles on polar components in soybean oil and absorbed lipids of fried potatoes. Trans. Chin. Soc. Agric. Eng. 2016, 32, 309–314. [Google Scholar] [CrossRef]
- Sánchez-Muniz, F.J.; Cuesta, C.; Garrido-Polonio, C. Sunflower oil used for frying: Combination of column, gas and high-performance size-exclusion chromatography for its evaluation. J. Am. Oil Chem. Soc. 1993, 70, 235–240. [Google Scholar] [CrossRef]
- Liu, H. Study on 3-Chloropropanol Esters and Glycidyl Esters during Frying Process. Master’s Thesis, Henan University of Technology, Henan, China, 2018. [Google Scholar]
- Wang, R.; Sun, W.; Pang, W.; Cai, X.; Gao, B. Hygienic Standard for Edible Vegetable Oils Used in Frying Foods. In State Standard of the People’s Republic of China, 3rd ed.; Ministry of Health, People’s Republic of China: Beijing, China, 2003; GB7102.1. [Google Scholar]
- Jiang, T.; Wei, W. Research on the change of soybean oil quality during the frying process. J. Anhui Agri 2015, 43, 279–281. [Google Scholar] [CrossRef]
- Porep, J.U.; Kammerer, D.R.; Carle, R. On-line application of near infrared (NIR) spectroscopy in food production. Trends Food Sci. Technol. 2015, 46, 211–230. [Google Scholar] [CrossRef]
- Yan, L.; Zhang, Q.; Miao, W.; Shen, X. Research progress on analysis of edible vegetable oils using near-infrared spectroscopy. J. Food Saf. Qual. 2017, 8, 1521–1526. [Google Scholar] [CrossRef]
- Picouet, P.A.; Gou, P.; Hyypiö, R.; Castellari, M. Implementation of NIR technology for at-line rapid detection of sunflower oil adulterated with mineral oil. J. Food Eng. 2018, 230, 18–27. [Google Scholar] [CrossRef]
- Pereira, C.G.; Leite, A.I.N.; Andrade, J.; Bell, M.J.V.; Anjos, V. Evaluation of butter oil adulteration with soybean oil by FT-MIR and FT-NIR spectroscopies and multivariate analyses. LWT 2019, 107, 1–8. [Google Scholar] [CrossRef]
- Liu, Y.; Li, J.; Li, Y.; Zhang, D.; Song, Z.; Zhang, C.; Pan, X.; Li, J.; Wang, Z. Quality evaluation of fried soybean oil base on near infrared spectroscopy. J. Food Process. Eng. 2018, 41, e12887. [Google Scholar] [CrossRef]
- Weyer, L.; Workman, J., Jr. Practical Guide to Interpretive Near-Infrared Spectroscopy; CRC Press: Boca Raton, FL, USA, 2007. [Google Scholar]
- Mu, Z.; Liu, Y.; Wang, X. Study on polar components of heated frying oil using liquid chromatography. Sci. Technol. Food Ind. 2008, 9, 32. [Google Scholar] [CrossRef]









| Edible Oil | Intervals of 2 nm | Intervals of 4 nm | Intervals of 6 nm |
|---|---|---|---|
| Soybean Oil | 0.001205 | 0.001570 | 0.002115 |
| Peanut Oil | 0.002211 | 0.002503 | 0.002939 |
| Rapeseed Oil | 0.001996 | 0.002307 | 0.002771 |
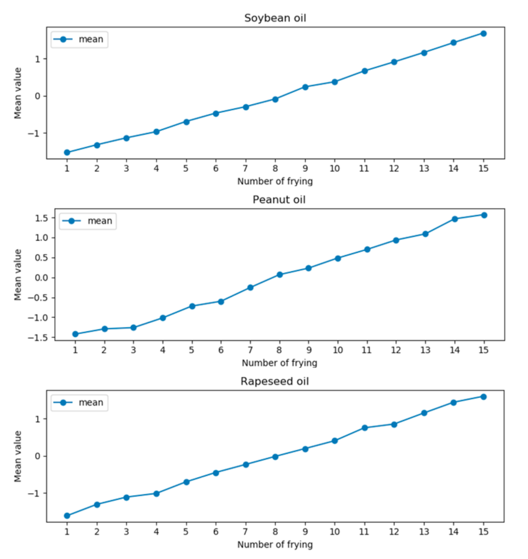
| Frying Times | Soybean Oil | Peanut Oil | Rapeseed Oil |
|---|---|---|---|
| 1 | P1 < −1.3230 | P2 < −1.2900 | P3 < −1.3018 |
| 2 | −1.3230 ≤ P1 < −1.1346 | −1.2900 ≤ P2 < −1.2086 | −1.3018 ≤ P 3 < −1.1057 |
| 3 | −1.1346 ≤ P1 < −0.9696 | −1.2086 ≤ P2 < −1.0146 | −1.1057 ≤ P3 < −1.0078 |
| 4 | −0.9696 ≤ P1 < −0.6939 | −1.0146 ≤ P2 < −0.7184 | −1.0078 ≤ P3 < −0.6979 |
| 5 | −0.6939 ≤ P1 < −0.4682 | −0.7184 ≤ P2 < −0.5975 | −0.6979 ≤ P3 < −0.4457 |
| 6 | −0.4682 ≤ P1 < −0.2958 | −0.5975 ≤ P2 < −0.2542 | −0.4457 ≤ P3 < −0.2308 |
| 7 | −0.2958 ≤ P1 < 0.8660 | −0.2542 ≤ P2 < 0.0690 | −0.2308 ≤ P3 < −0.0136 |
| 8 | 0.8660 ≤ P1 < 0.2404 | 0.0690 ≤ P2 < 0.2327 | −0.0136 ≤ P3 < 0.1962 |
| 9 | 0.2404 ≤ P1 < 0.3777 | 0.2327 ≤ P2 < 0.4855 | 0.1962 ≤ P3 < 0.4071 |
| 10 | 0.3777 ≤ P1 < 0.6712 | 0.4855 ≤ P2 < 0.6998 | 0.4071 ≤ P3 < 0.7548 |
| 11 | 0.6712 ≤ P1 < 0.9145 | 0.6998 ≤ P2 < 0.9379 | 0.7548 ≤ P3 < 0.8559 |
| 12 | 0.9145 ≤ P1 < 1.1691 | 0.9379 ≤ P2 < 1.0899 | 0.8559 ≤ P3 < 1.1527 |
| 13 | 1.1691 ≤ P1 < 1.4346 | 1.0899 ≤ P2 < 1.4668 | 0.1527 ≤ P3 < 1.4419 |
| 14 | 1.4346 ≤ P1 < 1.6948 | 1.4668 ≤ P2 < 1.5722 | 1.4419 ≤ P3 < 1.6022 |
| 15 | 1.6948 ≤ P1 | 1.5722 ≤ P2 | 1.6022 ≤ P3 |
| Edible Oil | Defined Mean | Defined Standard Deviation |
|---|---|---|
| Soybean Oil | 0.00118507058 | 0.00018783131 |
| Peanut Oil | 0.00216684698 | 0.00009695884 |
| Rapeseed Oil | 0.00198695012 | 0.00011230984 |
Publisher’s Note: MDPI stays neutral with regard to jurisdictional claims in published maps and institutional affiliations. |
© 2020 by the authors. Licensee MDPI, Basel, Switzerland. This article is an open access article distributed under the terms and conditions of the Creative Commons Attribution (CC BY) license (http://creativecommons.org/licenses/by/4.0/).
Share and Cite
Liu, Y.; Sun, L.; Bai, H.; Ran, Z. Detection for Frying Times of Various Edible Oils Based on Near-Infrared Spectroscopy. Appl. Sci. 2020, 10, 7789. https://doi.org/10.3390/app10217789
Liu Y, Sun L, Bai H, Ran Z. Detection for Frying Times of Various Edible Oils Based on Near-Infrared Spectroscopy. Applied Sciences. 2020; 10(21):7789. https://doi.org/10.3390/app10217789
Chicago/Turabian StyleLiu, Yi, Laijun Sun, Hongyi Bai, and Zhiyong Ran. 2020. "Detection for Frying Times of Various Edible Oils Based on Near-Infrared Spectroscopy" Applied Sciences 10, no. 21: 7789. https://doi.org/10.3390/app10217789
APA StyleLiu, Y., Sun, L., Bai, H., & Ran, Z. (2020). Detection for Frying Times of Various Edible Oils Based on Near-Infrared Spectroscopy. Applied Sciences, 10(21), 7789. https://doi.org/10.3390/app10217789

