Depth Dose Enhancement on Flattening-Filter-Free Photon Beam: A Monte Carlo Study in Nanoparticle-Enhanced Radiotherapy
Abstract
1. Introduction
2. Materials and Methods
2.1. Monte Carlo Phase-Space Files for the FF and FFF Photon Beams
2.2. Depth Doses of the Photon Beams
2.3. Calculation of the DDE Ratio (DDER)
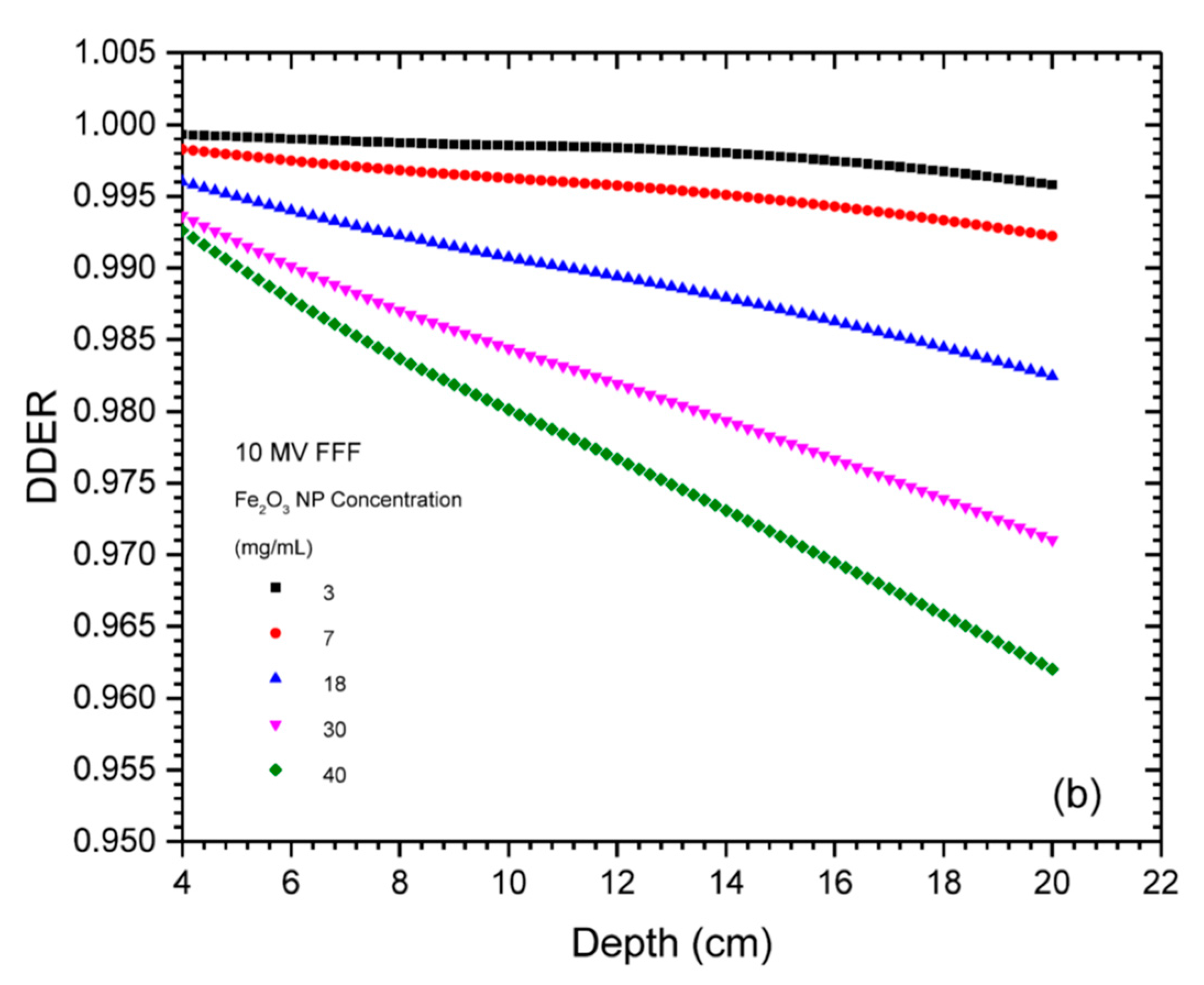
3. Results
4. Discussion
4.1. Dependence of DDER on Treatment Depth
4.2. Dependence of DDER on the FF and FFF Photon Beams
4.3. Dependence of DDER on the NP Material and Concentration
5. Conclusions
Funding
Acknowledgments
Conflicts of Interest
References
- Lomax, M.E.; Folkes, L.K.; O’neill, P. Biological consequences of radiation-induced DNA damage: Relevance to radiotherapy. Clin. Oncol. 2013, 25, 578–585. [Google Scholar] [CrossRef] [PubMed]
- Chun, H.; Chow, J.C.L. Gold nanoparticle DNA damage in radiotherapy: A Monte Carlo study. AIMS Bioeng. 2016, 3, 352–361. [Google Scholar]
- Chow, J.C.L. Recent Progress of Gold Nanomaterials in Cancer Therapy. In Handbook of Nanomaterials and Nanocomposites for Energy and Environmental Applications; Kharissova, O.V., Torres-Martínez, L.M., Kharisov, B.I., Eds.; Springer Nature: Cham, Switzerland, 2020; pp. 1–30. [Google Scholar]
- Chow, J.C.L. Application of Nanoparticle Materials in Radiation Therapy. In Handbook of Ecomaterials; Martinez, L.M.T., Kharissova, O.V., Kharisov, B.I., Eds.; Springer Nature: Cham, Switzerland, 2017; Chapter 150; pp. 3661–3681. [Google Scholar]
- Rosa, S.; Connolly, C.; Schettino, G.; Butterworth, K.T.; Prise, K.M. Biological mechanisms of gold nanoparticle radiosensitization. Cancer Nanotechnol. 2017, 8, 2. [Google Scholar] [CrossRef] [PubMed]
- Butterworth, K.T.; McMahon, S.J.; Currell, F.J.; Prise, K.M. Physical basis and biological mechanisms of gold nanoparticle radiosensitization. Nanoscale 2012, 4, 4830–4838. [Google Scholar] [CrossRef] [PubMed]
- Chow, J.C.L. Characteristics of secondary electrons from irradiated gold nanoparticle in radiotherapy. In Handbook of Nanoparticles; Aliofkhazraei, M., Ed.; Springer International Publishing: Cham, Switzerland, 2015; Chapter 10; pp. 1–18. [Google Scholar]
- Chow, J.C.L. Photon and electron interactions with gold nanoparticles: A Monte Carlo study on gold nanoparticle-enhanced radiotherapy. In Nanobiomaterials in Medical Imaging: Applications of Nanobiomaterials; Grumezescu, A.M., Ed.; Elsevier: Amsterdam, The Netherlands, 2016; Chapter 2; pp. 45–70. [Google Scholar]
- Mututantri-Bastiyange, D.; Chow, J.C.L. Imaging dose of cone-beam computed tomography in nanoparticle-enhanced image-guided radiotherapy: A Monte Carlo phantom study. AIMS Bioeng. 2020, 7, 1–11. [Google Scholar] [CrossRef]
- Abdulle, A.; Chow, J.C.L. Contrast enhancement for portal imaging in nanoparticle-enhanced radiotherapy: A Monte Carlo phantom evaluation using flattening-filter-free photon beams. Nanomaterials 2019, 9, 920. [Google Scholar] [CrossRef]
- Albayedh, F.; Chow, J.C.L. Monte Carlo simulation on the imaging contrast enhancement in nanoparticle-enhanced radiotherapy. J. Med. Phys. 2018, 43, 195–199. [Google Scholar]
- Chow, J.C.L. Dose Enhancement Effect in Radiotherapy: Adding Gold Nanoparticle to Tumour in Cancer Treatment. In Nanostructures for Cancer Therapy; Ficai, A., Grumezescu, A.M., Eds.; Elsevier: Amsterdam, The Netherlands, 2017; Chapter 15; pp. 383–400. [Google Scholar]
- Chithrani, D.B.; Jelveh, S.; Jalali, F.; van Prooijen, M.; Allen, C.; Bristow, R.G.; Hill, R.P.; Jaffray, D.A. Gold nanoparticles as radiation sensitizers in cancer therapy. Rad. Res. 2010, 173, 719. [Google Scholar] [CrossRef]
- Chow, J.C.L.; Leung, M.K.K.; Fahey, S.; Chithrani, D.B.; Jaffray, D.A. Monte Carlo simulation on low-energy electrons from gold nanoparticle in radiotherapy. J. Phys. Conf. Ser. 2012, 341, 012012. [Google Scholar] [CrossRef]
- Lutz, W.R.; Larsen, R.D. The effect of flattening filter design on quality variations within an 8-MV primary x-ray beam. Med. Phys. 1984, 11, 843–845. [Google Scholar] [CrossRef]
- Chow, J.C.L.; Owrangi, A.M. A surface energy spectral study on the bone heterogeneity and beam obliquity using the flattened and unflattened photon beams. Rep. Pract. Oncol. Radiother. 2016, 21, 63–70. [Google Scholar] [CrossRef] [PubMed]
- Chow, J.C.L.; Owrangi, A.M. Dosimetric dependences of bone heterogeneity and beam angle on the unflattened and flattened photon beams: A Monte Carlo comparison. Rad. Phys. Chem. 2014, 101, 46–52. [Google Scholar] [CrossRef]
- Bortfeld, T. IMRT: A review and preview. Phys. Med. Biol. 2006, 51, R363. [Google Scholar] [CrossRef] [PubMed]
- Chow, J.C.L.; Owrangi, A.M. Mucosal dosimetry on unflattened photon beams: A Monte Carlo phantom study. Biomed. Phys. Eng. Express 2019, 5, 015007. [Google Scholar] [CrossRef]
- Vassiliev, O.N.; Titt, U.; Pönisch, F.; Kry, S.F.; Mohan, R.; Gillin, M.T. Dosimetric properties of photon beams from a flattening filter free clinical accelerator. Phys. Med. Biol. 2006, 51, 1907. [Google Scholar] [CrossRef] [PubMed]
- Nicolini, G.; Ghosh-Laskar, S.; Shrivastava, S.K.; Banerjee, S.; Chaudhary, S.; Agarwal, J.P.; Munshi, A.; Clivio, A.; Fogliata, A.; Mancosu, P.; et al. Volumetric modulation arc radiotherapy with flattening filter-free beams compared with static gantry IMRT and 3D conformal radiotherapy for advanced esophageal cancer: A feasibility study. Int. J. Radiat. Oncol. Biol. Phys. 2012, 84, 553–560. [Google Scholar] [CrossRef] [PubMed]
- Arslan, A.; Sengul, B. Comparison of radiotherapy techniques with flattening filter and flattening filter-free in lung radiotherapy according to the treatment volume size. Sci. Rep. 2020, 10, 1–8. [Google Scholar] [CrossRef]
- Sharma, M.; Chow, J.C.L. Skin dose enhancement from the application of skin-care creams using FF and FFF photon beams in radiotherapy: A Monte Carlo phantom evaluation. AIMS Bioeng. 2020, 7, 82–90. [Google Scholar] [CrossRef]
- Martelli, S.; Chow, J.C.L. Dose enhancement for the flattening-filter-free and flattening-filter photon beams in nanoparticle-enhanced radiotherapy: A Monte Carlo phantom study. Nanomaterials 2020, 10, 637. [Google Scholar] [CrossRef]
- Zheng, X.J.; Chow, J.C.L. Radiation dose enhancement in skin therapy with nanoparticle addition: A Monte Carlo study on kilovoltage photon and megavoltage electron beams. World J. Radiol. 2017, 9, 63–71. [Google Scholar] [CrossRef]
- Chow, J.C.L. Recent progress in Monte Carlo simulation on gold nanoparticle radiosensitization. AIMS Biophys. 2018, 5, 231–244. [Google Scholar] [CrossRef]
- Rogers, D.W. Fifty years of Monte Carlo simulations for medical physics. Phys. Med. Biol. 2006, 51, R287. [Google Scholar] [CrossRef] [PubMed]
- Siddique, S.; Chow, J.C.L. Gold nanoparticles for drug delivery and cancer therapy. Appl. Sci. 2020, 10, 3824. [Google Scholar] [CrossRef]
- Haume, K.; Rosa, S.; Grellet, S.; Śmiałek, M.A.; Butterworth, K.T.; Solov’yov, A.V.; Prise, K.M.; Golding, J.; Mason, N.J. Gold nanoparticles for cancer radiotherapy: A review. Cancer Nanotechnol. 2016, 7, 8. [Google Scholar] [CrossRef] [PubMed]
- Kostevšek, N. A Review on the Optimal Design of Magnetic Nanoparticle-Based T2 MRI Contrast Agents. Magnetochemistry 2020, 6, 11. [Google Scholar] [CrossRef]
- Hu, H. Recent Advances of Bioresponsive Nano-Sized Contrast Agents for Ultra-High-Field Magnetic Resonance Imaging. Front. Chem. 2020, 8, 203. [Google Scholar] [CrossRef] [PubMed]
- Chin, S.; Eccles, C.L.; McWilliam, A.; Chuter, R.; Walker, E.; Whitehurst, P.; Berresford, J.; Van Herk, M.; Hoskin, P.J.; Choudhury, A. Magnetic resonance-guided radiation therapy: A review. J. Med. Imag. Radiat. Oncol. 2020, 64, 163–177. [Google Scholar] [CrossRef]
- Agostinelli, S.; Allison, J.; Amako, K.A.; Apostolakis, J.; Araujo, H.; Arce, P.; Asai, M.; Axen, D.; Banerjee, S.; Barrand, G.; et al. GEANT4—A simulation toolkit. Nucl. Instrum. Methods Phys. Res. Sect. A Accel. Spectrometers Detect. Assoc. Equip. 2003, 506, 250–303. [Google Scholar] [CrossRef]
- Rogers, D.W.; Kawrakow, I.; Seuntjens, J.P.; Walters, B.R.; Mainegra-Hing, E. NRC user codes for EGSnrc. NRC Rep. PIRS (Rev. B) 2003, 702. [Google Scholar]
- Rogers, D.W.; Walters, B.; Kawrakow, I. BEAMnrc users manual. NRC Rep. PIRS 2009, 509, 12. [Google Scholar]
- Walters, B.R.; Kawrakow, I.; Rogers, D.W. DOSXYZnrc users manual. NRC Rep. PIRS 2005, 794, 1–25. [Google Scholar]
- Hainfeld, J.F.; Slatkin, D.N.; Smilowitz, H.M. The use of gold nanoparticles to enhance radiotherapy in mice. Phys. Med. Biol. 2004, 49, N309. [Google Scholar] [CrossRef] [PubMed]
- Chow, J.C.L. Monte Carlo Nanodosimetry in Gold Nanoparticle-Enhanced Radiotherapy. In Recent Advancements and Applications in Dosimetry; Chan, M.F., Ed.; Nova Science Publishers: New York, NY, USA, 2018; Chapter 2. [Google Scholar]
- Bloch, P.; McDonough, J. Extraction of the photon spectra from measured beam parameters. Med. Phys. 1998, 25, 752–757. [Google Scholar] [CrossRef] [PubMed]
- Elsaesser, A.; Taylor, A.; de Yanés, G.S.; McKerr, G.; Kim, E.M.; O’Hare, E.; Howard, C.V. Quantification of nanoparticle uptake by cells using microscopical and analytical techniques. Nanomedicine 2010, 5, 1447–1457. [Google Scholar] [CrossRef] [PubMed]
- Barrett, A.; Morris, S.; Dobbs, J.; Roques, T. Practical Radiotherapy Planning; CRC Press: Boca Raton, FL, USA, 2009. [Google Scholar]
- Siddique, S.; Chow, J.C.L. Application of Nanomaterials in Biomedical Imaging and Cancer Therapy. Nanomaterials 2020, 10, 1700. [Google Scholar] [CrossRef]



| (a) | 10 MV FF | 10 MV FFF | 10 MV FF | 10 MV FFF |
| Concentration (mg/mL) | Au NPs | Au NPs | Fe2O3 NPs | Fe2O3 NPs |
| 3 | 1.000 | 1.001 | 0.999 | 0.999 |
| 7 | 1.001 | 1.003 | 0.998 | 0.998 |
| 18 | 1.002 | 1.008 | 0.996 | 0.995 |
| 30 | 1.003 | 1.013 | 0.993 | 0.992 |
| 40 | 1.004 | 1.015 | 0.992 | 0.990 |
| (b) | 10 MV FF | 10 MV FFF | 10 MV FF | 10 MV FFF |
| Concentration (mg/mL) | Au NPs | Au NPs | Fe2O3 NPs | Fe2O3 NPs |
| 3 | 1.000 | 1.000 | 0.997 | 0.999 |
| 7 | 0.998 | 0.999 | 0.997 | 0.996 |
| 18 | 0.996 | 0.998 | 0.992 | 0.991 |
| 30 | 0.992 | 0.997 | 0.986 | 0.984 |
| 40 | 0.989 | 0.994 | 0.983 | 0.980 |
| (c) | 10 MV FF | 10 MV FFF | 10 MV FF | 10 MV FFF |
| Concentration (mg/mL) | Au NPs | Au NPs | Fe2O3 NPs | Fe2O3 NPs |
| 3 | 0.998 | 0.999 | 0.998 | 0.998 |
| 7 | 0.996 | 0.997 | 0.995 | 0.995 |
| 18 | 0.991 | 0.992 | 0.988 | 0.987 |
| 30 | 0.984 | 0.985 | 0.980 | 0.978 |
| 40 | 0.977 | 0.979 | 0.974 | 0.971 |
| (d) | 10 MV FF | 10 MV FFF | 10 MV FF | 10 MV FFF |
| Concentration (mg/mL) | Au NPs | Au NPs | Fe2O3 NPs | Fe2O3 NPs |
| 3 | 0.998 | 0.996 | 0.998 | 0.996 |
| 7 | 0.995 | 0.995 | 0.994 | 0.992 |
| 18 | 0.986 | 0.985 | 0.984 | 0.982 |
| 30 | 0.976 | 0.973 | 0.973 | 0.971 |
| 40 | 0.967 | 0.966 | 0.966 | 0.962 |
© 2020 by the author. Licensee MDPI, Basel, Switzerland. This article is an open access article distributed under the terms and conditions of the Creative Commons Attribution (CC BY) license (http://creativecommons.org/licenses/by/4.0/).
Share and Cite
Chow, J.C.L. Depth Dose Enhancement on Flattening-Filter-Free Photon Beam: A Monte Carlo Study in Nanoparticle-Enhanced Radiotherapy. Appl. Sci. 2020, 10, 7052. https://doi.org/10.3390/app10207052
Chow JCL. Depth Dose Enhancement on Flattening-Filter-Free Photon Beam: A Monte Carlo Study in Nanoparticle-Enhanced Radiotherapy. Applied Sciences. 2020; 10(20):7052. https://doi.org/10.3390/app10207052
Chicago/Turabian StyleChow, James C. L. 2020. "Depth Dose Enhancement on Flattening-Filter-Free Photon Beam: A Monte Carlo Study in Nanoparticle-Enhanced Radiotherapy" Applied Sciences 10, no. 20: 7052. https://doi.org/10.3390/app10207052
APA StyleChow, J. C. L. (2020). Depth Dose Enhancement on Flattening-Filter-Free Photon Beam: A Monte Carlo Study in Nanoparticle-Enhanced Radiotherapy. Applied Sciences, 10(20), 7052. https://doi.org/10.3390/app10207052
