Pore Distribution Characteristics of Thawed Residual Soils in Artificial Frozen-Wall Using NMRI and MIP Measurements
Abstract
1. Introduction
2. Theoretical Background of NMRI Analysis
3. Materials and Methods
3.1. Sample Preparation
3.2. Testing Apparatus and Procedures
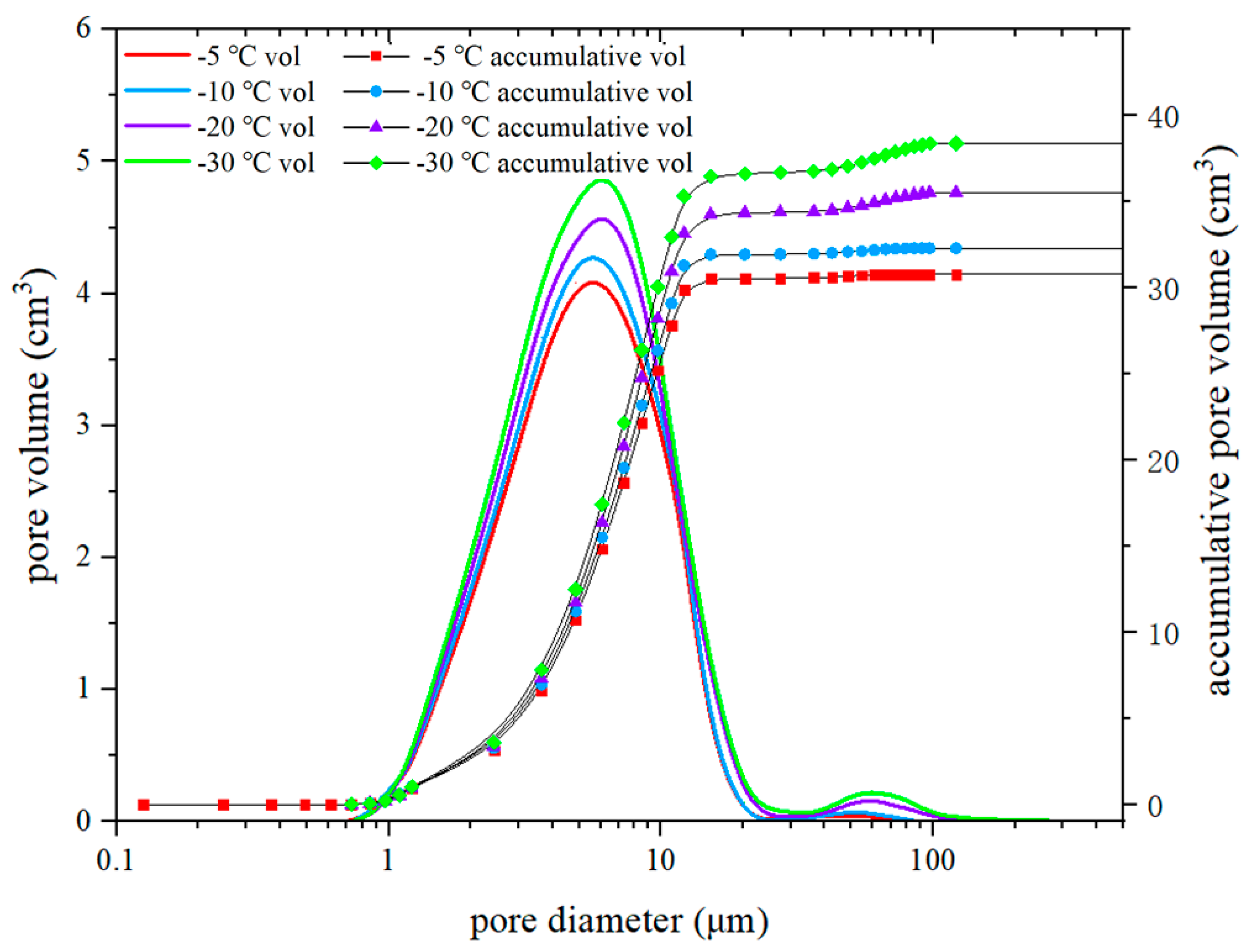
4. Results and Discussions
4.1. Analysis of Pore Size Distributions
4.2. Magnetic Resonance Images
4.3. Comparative Analysis of the NMRI and MIP Measurements
5. Conclusions
- (1)
- After conducting artificial freezing at different temperatures, which were −5, −10, −20 and −30 °C, the T2 spectrums which exhibit a bimodal distribution from NMRI measurements on thawed residual soils have a significant variation. With the freezing temperature dropped from −5 to −30 °C, the maximum value of the major peak in the T2 spectrum increases from 525 to 633, and the secondary peak increased from 12 to 45, approximately. Besides, the peak areas of T2 spectrums increase linearly with the freezing temperatures.
- (2)
- The T2 spectrums from NMRI tests could be used for the assessment of pore volume distributions of thawed residual soils by introducing the surface relaxation coefficient (). From the obtained pore volume distributions, pores in thawed soils could be divided into three different grades by diameters, which are micro-pores, meso-pores and macro-pores. The volume of pores with the full range of diameters all increased as the freezing temperature decreases.
- (3)
- The NMRI test provided a visual result of pore structures in residual soils after freezing and thawing. According to the pore structures observed from T2-weighted images, the microstructural damage of thawed soils evolved from the surface to the interior of soils as the freezing temperature continuously drops.
- (4)
- By comparing the pore size distribution curves obtained from the NMRI and MIP method respectively, the shape and peak positions of two curves were proved to have good consistency. However, the volume of macro-pores measured by MIP was significantly less than the result of NMRI, as a result of insufficient measurements of the macro-pores corresponding to the pore radius of mercury injection. Therefore, the NMRI scan was more accurate than the MIP measurement, as a new method to quantitatively study pore distribution characteristics of soils.
Author Contributions
Funding
Acknowledgments
Conflicts of Interest
List of Symbols
| Ai | amplitude of NMR signal | 
| C | square of relaxation coefficient | 
| D | (μm)diameter of pores | 
| fi | (%)distributed frequency of pores with a certain diameter | 
| IP | plasticity index | 
| Ks | (μm2) permeability | 
| md | (g) mass of thoroughly dried soil sample | 
| ms | (g) total mass of saturated sample | 
| mw | (g) mass of pore water in the tested sample | 
| S | (μm2) surface area | 
| T2 | (ms) relaxation time | 
| T2B | (ms) bulk fluid relaxation time | 
| T2D | (ms) diffusion relaxation time | 
| T2LM | (ms) geometric mean value of T2 spectrum | 
| T2S | (ms) surface relaxation time | 
| V | (μm3) pore volume | 
| Vi | (μm3) pore volume | 
| w | (%) moisture content | 
| WL | (%) liquid limit | 
| WP | (%) plastic limit | 
| ρ2 | (μm/ms) relaxation coefficient | 
| ρw | (g/cm3)density of water | 
| (%)porosity | 
References
- Zhang, X.W.; Kong, L.W.; Yin, S.; Chen, C. Engineering geology of basaltic residual soil in Leiqiong, southern China. Eng. Geol. 2017, 220, 196–207. [Google Scholar] [CrossRef]
- An, R.; Kong, L.W.; Guo, A.G.; Zhang, X.W. A Proposed Method to Determine In-Situ Shear Modulus and Shear Strain Decay Curves in Different Structured Soils. In Proceedings of the 7th International Symposium on Deformation Characteristics of Geomaterials, Glasgow, UK, 25–28 June 2019. [Google Scholar]
- Mohamedzein, E.A.; Aboud, M.H. Compressibility and shear strength of a residual soil. Geotech. Geol. Eng. 2006, 24, 1385–1401. [Google Scholar] [CrossRef]
- Fu, J.Y.; Yang, J.S.; Zhang, X.M.; Klapperich, H.; Abbas, S.M. Response of the ground and adjacent buildings due to tunnelling in completely weathered granitic soil. Tunn. Undergr. Space Technol. 2014, 43, 377–388. [Google Scholar] [CrossRef]
- Zhou, J.; Tang, Y. Practical model of deformation prediction in soft clay after artificial ground freezing under subway low-level cyclic loading. Tunn. Undergr. Space Technol. 2018, 76, 30–42. [Google Scholar] [CrossRef]
- Lackner, R.; Pichler, C.; Kloiber, A. Artificial ground freezing of fully saturated soil: Viscoelastic behavior. J. Eng. Mech. 2008, 134, 1–11. [Google Scholar] [CrossRef]
- Cui, Z.D.; Zhang, Z.L. Comparison of dynamic characteristics of the silty clay before and after freezing and thawing under the subway vibration loading. Cold Reg. Sci. Technol. 2015, 119, 29–36. [Google Scholar] [CrossRef]
- Tang, Y.Q.; Yan, J.J. Effect of freeze—Thaw on hydraulic conductivity and microstructure of soft soil in Shanghai area. Environ. Earth Sci. 2015, 73, 7679–7690. [Google Scholar] [CrossRef]
- Pichler, C.; Lackner, R.; Mang, H.A. Continuum-micromechanics approach for determination of frost heave in artificial ground freezing. Comput. Fluid Solid Mech. 2003, 578–581. [Google Scholar] [CrossRef]
- Hu, X.; Wu, Y.; Li, X. A field study on the freezing characteristics of freeze-sealing pipe roof used in ultra-shallow buried tunnel. Appl. Sci. 2019, 9, 1532. [Google Scholar] [CrossRef]
- Neithalath, N.; Sumanasooriya, M.S.; Deo, O. Characterizing pore volume, sizes, and connectivity in pervious concretes for permeability prediction. Mater. Charact. 2010, 61, 802–813. [Google Scholar] [CrossRef]
- Cheng, W.C.; Xue, Z.F.; Wang, L. Effects of pore structures of different maceral compositions on methane adsorption and diffusion in anthracite. Appl. Sci. 2019, 9, 5206. [Google Scholar] [CrossRef]
- Gutierrez, N.H.M.; Nóbrega, T.; Vilar, O.M. Influence of the microstructure in the collapse of a residual clayey tropical soil. Bull. Eng. Geol. Environ. 2009, 68, 107–116. [Google Scholar] [CrossRef]
- Olson, K.R. Characterization of Pore Size Distribution within Soils by Mercury Intrusion and Water-release Methods. Soil Sci. 1985, 139, 400–404. [Google Scholar] [CrossRef]
- Lyu, C.; Ning, Z.; Wang, Q.; Chen, M. Application of NMR T2 to pore size distribution and movable fluid distribution in tight sandstones. Energy Fuels 2018, 32, 12218–12230. [Google Scholar] [CrossRef]
- Sun, H.F.; Yang, Z.K.; Xing, M.X.; Ju, Y.; Yang, Y.M. CT investigation of fracture mechanism of soil-rock mixtures. Appl. Mech. Mater. 2012, 204–208, 67–71. [Google Scholar] [CrossRef]
- Yu, S.; Jia, M.; Zhou, J.; Zhao, C.; Li, L. Micro-Mechanism of Spherical Gypsum Particle Breakage under Ball–Plane Contact Condition. Appl. Sci. 2019, 9, 4795. [Google Scholar] [CrossRef]
- Yao, Y.; Liu, D. Comparison of low-field NMR and mercury intrusion porosimetry in characterizing pore size distributions of coals. Fuel 2012, 95, 152–158. [Google Scholar] [CrossRef]
- Li, C.; Kong, L.; Guo, A.; Zhang, X. X-ray Microscopic Study on Disintegration of Granite Residual Soil. In Proceedings of the 7th International Symposium on Deformation Characteristics of Geomaterials, Glasgow, UK, 25–28 June 2019. [Google Scholar]
- Gao, F.; Wang, Q.; Deng, H. Coupled effects of chemical environments and freeze-thaw cycles on damage characteristics of red sandstone. Bull. Eng. Geol. Environ. 2016, 76, 1481–1490. [Google Scholar] [CrossRef]
- Leij, F.J.; Ghezzehei, T.A.; Or, D. Analytical models for soil pore-size distribution after tillage. Soil Sci. Soc. Am. J. 2002, 66, 1104–1114. [Google Scholar] [CrossRef]
- Stingaciu, L.R.; Weihermueller, L.; Haberpohlmeier, S.; Stapf, S.; Vereecken, H.; Pohlmeier, A. Determination of pore size distribution and hydraulic properties using nuclear magnetic resonance relaxometry: A comparative study of laboratory methods. Water Resour. Res. 2010, 46. [Google Scholar] [CrossRef]
- Haber-Pohlmeier, S.; Stapf, S.; Pohlmeier, A. NMR fast field cycling relaxometry of unsaturated soils. Appl. Magn. Reson. 2014, 45, 1099–1115. [Google Scholar] [CrossRef]
- Li, J.L.; Rennie, K.B.; Zhou, K.P. Experimental investigations on the effects of ambient freeze-thaw cycling on dynamic properties and rock pore structure deterioration of sandstone. Cold Reg. Sci. Technol. 2018, 154, 133–141. [Google Scholar] [CrossRef]
- Liyun, T.; Ke, W.; Long, J.; Gengshe, Y.; Hailiang, J.; Assaad, T. A resistivity model for testing unfrozen water content of frozen soil. Cold Reg. Sci. Technol. 2018, 153, 55–63. [Google Scholar] [CrossRef]
- Tan, M.; Lin, Z.; Zu, Y.; Zhang, J.; Tian, W.G.; Ke, B. Effect of multiple freeze-thaw cycles on the quality of instant sea cucumber: Emphatically on water status of by LF-NMR and MRI. Food Res. Int. 2018, 109, 65–71. [Google Scholar] [CrossRef] [PubMed]
- Rahardjo, H.; Lim, T.T.; Chang, M.F. Shear-strength characteristics of a residual soil. Can. Geotech. J. 1995, 32, 60–77. [Google Scholar] [CrossRef]
- Ge, X.; Fan, Y.; Cao, Y.; Xu, Y.; Liu, X.; Chen, Y. Reservoir Pore Structure Classification Technology of Carbonate Rock Based on NMR T2 Spectrum Decomposition. Appl. Magn. Reson. 2014, 45, 155–167. [Google Scholar] [CrossRef]
- Sun, T.; Yan, W.; Wang, H.; Golsanami, N.; Zhang, L. Developing a new NMR-based permeability model for fractured carbonate gas reservoirs. J. Nat. Gas Sci. Eng. 2016, 35, 906–919. [Google Scholar] [CrossRef]
- Xiao, L.; Zou, C.C.; Mao, Z.Q.; Jin, Y.; Zhu, J.C. A new technique for synthetizing capillary pressure (pc) curves using NMR logs in tight gas sandstone reservoirs. J. Pet. Sci. Eng. 2016, 145, 493–501. [Google Scholar] [CrossRef]
- Liu, M.; Xie, R.; Guo, J.; Jin, G. Characterization of pore structures of tight sandstone reservoirs by multifractal analysis of the NMR T2 distribution. Energy Fuels 2018, 32. [Google Scholar] [CrossRef]
- Tian, H.; Wei, C.; Wei, H. An NMR-Based Analysis of Soil-Water Characteristics. Appl. Magn. Reson. 2014, 45, 49–61. [Google Scholar] [CrossRef]
- Chen, M.; Dai, J.; Liu, X.; Kuang, Y.; Qin, M.; Wang, Z. Contributions of pore-throat size distribution to reservoir quality and fluid distribution from NMR and MIP in tight sandy conglomerate reservoirs. Arabian J. Geosci. 2019, 12. [Google Scholar] [CrossRef]
- Jahwar, J.; Hessel, L.C.; Marie-Claire, B.; John, D.; Rachida, S. Studies of water and ice in hydrophilic and hydrophobic mesoporous silicas: Pore characterisation and phase transformations. Phys. Chem. Chem. Phys. 2010, 12, 2838–2849. [Google Scholar] [CrossRef]
- Daigle, H.; Dugan, B. Extending NMR data for permeability estimation in fine-grained sediments. Mar. Pet. Geol. 2009, 26, 1419–1427. [Google Scholar] [CrossRef]
- Xiong, H.; Yuan, K.; Wen, M.; Yu, A.; Xu, J. Influence of pore structure on the moisture transport property of external thermal insulation composite system as studied by NMR. Constr. Build. Mater. 2019, 228, 116815. [Google Scholar] [CrossRef]
- ASTM-D422. Standard Test Method for Particle-Size Analysis of Soils. In Annual Book of ASTM Standards; ASTM: West Conshohoken, PA, USA, 2007. [Google Scholar]
- Vitel, M.; Rouabhi, A.; Tijani, M.; Guérin, F. Modeling heat transfer between a freeze pipe and the surrounding ground during artificial ground freezing activities. Comput. Geotech. 2015, 63, 99–111. [Google Scholar] [CrossRef]
- Yao, Y.; Liu, D.; Cai, Y.; Li, J. Advanced characterization of pores and fractures in coals by nuclear magnetic resonance and X-ray computed tomography. Sci. China Earth Sci. 2010, 53, 854–862. [Google Scholar] [CrossRef]
- Muller, A.C.A.; Scrivener, K.L. A reassessment of mercury intrusion porosimetry by comparison with, 1h NMR relaxometry. Cem. Concr. Res. 2017, 100, 350–360. [Google Scholar] [CrossRef]









| Density (g/cm3) | Moisture Content w (%) | Porosity (%) | Permeability Ks (μm2) | Atterberg Limits (%) | Mineral Composition (%) | |||||
|---|---|---|---|---|---|---|---|---|---|---|
| WL | WP | IP | Kaolinite | Illite | Quartz | Hematite | ||||
| 1.98 | 26.03 | 0.3301 | 0.942 | 58.6 | 28.9 | 29.7 | 53.6 | 5.2 | 38.5 | 2.5 | 
© 2020 by the authors. Licensee MDPI, Basel, Switzerland. This article is an open access article distributed under the terms and conditions of the Creative Commons Attribution (CC BY) license (http://creativecommons.org/licenses/by/4.0/).
Share and Cite
An, R.; Kong, L.; Li, C. Pore Distribution Characteristics of Thawed Residual Soils in Artificial Frozen-Wall Using NMRI and MIP Measurements. Appl. Sci. 2020, 10, 544. https://doi.org/10.3390/app10020544
An R, Kong L, Li C. Pore Distribution Characteristics of Thawed Residual Soils in Artificial Frozen-Wall Using NMRI and MIP Measurements. Applied Sciences. 2020; 10(2):544. https://doi.org/10.3390/app10020544
Chicago/Turabian StyleAn, Ran, Lingwei Kong, and Chengsheng Li. 2020. "Pore Distribution Characteristics of Thawed Residual Soils in Artificial Frozen-Wall Using NMRI and MIP Measurements" Applied Sciences 10, no. 2: 544. https://doi.org/10.3390/app10020544
APA StyleAn, R., Kong, L., & Li, C. (2020). Pore Distribution Characteristics of Thawed Residual Soils in Artificial Frozen-Wall Using NMRI and MIP Measurements. Applied Sciences, 10(2), 544. https://doi.org/10.3390/app10020544
 
        

 
       