Optimizing Cropping Systems of Cultivated Pastures in the Mountain–Basin Systems in Northwest China
Abstract
1. Introduction
2. Materials and Methods
2.1. Study Site
2.2. Experimental Design and Agronomic Management
2.3. Sample Processing and Measurements
2.4. Statistical Analysis
3. Results
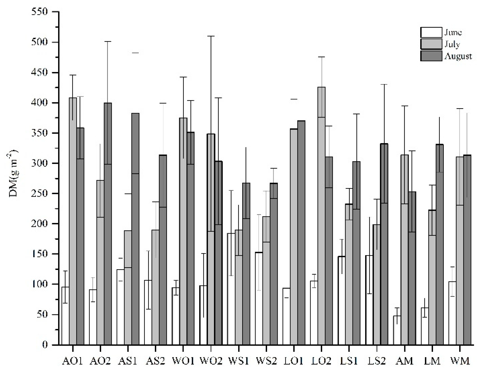
3.1. Dry Matter Biomass
3.2. Population Features of Alfalfa
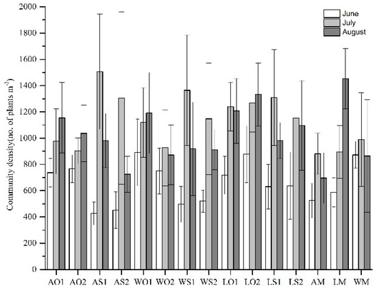
3.3. Community Characteristics
4. Discussion
4.1. Effects on Population Features of Alfalfa
4.2. Effects on Community Characteristics
4.3. Responses of Dry Matter Biomass
4.4. Species Interactions
5. Conclusions and Implications
Author Contributions
Funding
Acknowledgments
Conflicts of Interest
Appendix A

Appendix B

Appendix C

Appendix D

References
- Bi, X.; Li, B.; Fu, Q.; Fan, Y.; Ma, L.; Yang, Z.; Nan, B.; Dai, X.; Zhang, X. Effects of grazing exclusion on the grassland ecosystems of mountain meadows and temperate typical steppe in a mountain-basin system in Central Asia’s arid regions, China. Sci. Total Environ. 2018, 630, 254–263. [Google Scholar] [CrossRef] [PubMed]
- Zhang, X. Ecological restoration and sustainable agricultural paradigm of mountain-oasis-ecotone-desert system in the north of the Tianshan Mountains. Acta Bot. Sin. 2001, 43, 1294–1299. [Google Scholar]
- Fu, Q.; Li, B.; Yang, L.; Wu, Z.; Zhang, X. Ecosystem services evaluation and its spatial characteristics in central Asia’s Arid Regions: A case study in Altay Prefecture, China. Sustainability 2015, 7, 8335–8353. [Google Scholar] [CrossRef]
- Li, W.; Wang, J.; Zhang, X.; Shi, S.; Cao, W. Effect of degradation and rebuilding of artificial grasslands on soil respiration and carbon and nitrogen pools on an alpine meadow of the Qinghai-Tibetan Plateau. Ecol. Eng. 2018, 111, 134–142. [Google Scholar] [CrossRef]
- Loucougaray, G.; Dobremez, L.; Gos, P.; Pauthenet, Y.; Nettier, B.; Lavorel, S. Assessing the effects of grassland management on forage production and environmental quality to identify paths to ecological intensification in mountain grasslands. Environ. Manag. 2015, 56, 1039–1052. [Google Scholar] [CrossRef]
- Annicchiarico, P.; Pecetti, L.; Abdelguerfi, A.; Bouizgaren, A.; Carroni, A.M.; Hayek, T.; Bouzina, M.M.H.; Mezni, M. Adaptation of landrace and variety germplasm and selection strategies for lucerne in the Mediterranean basin. Field Crop. Res. 2011, 120, 283–291. [Google Scholar] [CrossRef]
- Coruh, I.; Tan, M. The effects of seeding time and companion crop on yield of alfalfa (Medicago sativa L.) and weed growth. Turk. J. Field Crops 2016, 21, 184–189. [Google Scholar] [CrossRef]
- Orlandi Laureto, L.M.; Cianciaruso, M.V.; Menezes Samia, D.S. Functional diversity: An overview of its history and applicability. Nat. Conserv. 2015, 13, 112–116. [Google Scholar] [CrossRef]
- Goslee, S.C.; Veith, T.L.; Skinner, R.H.; Comas, L.H. Optimizing ecosystem function by manipulating pasture community composition. Basic Appl. Ecol. 2013, 14, 630–641. [Google Scholar] [CrossRef]
- Dunea, D.; Dinca, N. Improving land utilization using intensive grass-clover mixtures in forage production systems. Rom. Agric. Res. 2014, 31, 147–158. [Google Scholar]
- Skinner, R.H.; Dell, C.J. Yield and soil carbon sequestration in grazed pastures sown with two or five forage species. Crop Sci. 2016, 56, 2035–2044. [Google Scholar] [CrossRef]
- Finger, R.; Buchmann, N. An ecological economic assessment of risk-reducing effects of species diversity in managed grasslands. Ecol. Econ. 2015, 110, 89–97. [Google Scholar] [CrossRef]
- Barkaoui, K.; Roumet, C.; Volaire, F. Mean root trait more than root trait diversity determines drought resilience in native and cultivated Mediterranean grass mixtures. Agric. Ecosyst. Environ. 2016, 231, 122–132. [Google Scholar] [CrossRef]
- Dordas, C.A.; Vlachostergios, D.N.; Lithourgidis, A.S. Growth dynamics and agronomic-economic benefits of pea-oat and pea-barley intercrops. Crop Pasture Sci. 2012, 63, 45–52. [Google Scholar] [CrossRef]
- Albayrak, S.; Turk, M. Changes in the forage yield and quality of legume-grass mixtures throughout a vegetation period. Turk. J. Agric. For. 2013, 37, 139–147. [Google Scholar] [CrossRef]
- Atienza, S.G.; Rubiales, D. Legumes in sustainable agriculture. Crop Pasture Sci. 2017, 68. [Google Scholar] [CrossRef]
- Duchene, O.; Vian, J.; Celette, F. Intercropping with legume for agroecological cropping systems: Complementarity and facilitation processes and the importance of soil microorganisms. A. review. Agric. Ecosyst. Environ. 2017, 240, 148–161. [Google Scholar] [CrossRef]
- Vrignon-Brenas, S.; Celette, F.; Piquet-Pissaloux, A.; Corre-Hellou, G.; David, C. Intercropping strategies of white clover with organic wheat to improve the trade-off between wheat yield, protein content and the provision of ecological services by white clover. Field Crop. Res. 2018, 224, 160–169. [Google Scholar] [CrossRef]
- Pelzer, E.; Bourlet, C.; Carlsson, G.; Lopez-Bellido, R.J.; Jensen, E.S.; Jeuffroy, M.H. Design, assessment and feasibility of legume-based cropping systems in three European regions. Crop Pasture Sci. 2017, 68, 902–914. [Google Scholar] [CrossRef]
- Luo, C.; Wang, S.; Zhao, L.; Xu, S. Seeding ratios and phosphate fertilizer on ecosystem carbon exchange of common vetch and oat. Nutr. Cycl. Agroecosys. 2017, 109, 149–160. [Google Scholar] [CrossRef]
- Van Eekeren, N.; Bos, M.; de Wit, J.; Keidel, H.; Bloem, J. Effect of individual grass species and grass species mixtures on soil quality as related to root biomass and grass yield. Appl. Soil Ecol. 2010, 45, 275–283. [Google Scholar] [CrossRef]
- Sturludóttir, E.; Brophy, C.; Bélanger, G.; Gustavsson, A.M.; Jørgensen, M.; Lunnan, T.; Helgadóttir, Á. Benefits of mixing grasses and legumes for herbage yield and nutritive value in Northern Europe and Canada. Grass Forage Sci. 2014, 69, 229–240. [Google Scholar] [CrossRef]
- Hayes, R.C.; Li, G.D.; Sandral, G.A.; Swan, T.D.; Price, A.; Hildebrand, S.; Goward, L.; Fuller, C.; Peoples, M.B. Enhancing composition and persistence of mixed pasture swards in southern New South Wales through alternative spatial configurations and improved legume performance. Crop Pasture Sci. 2017, 68, 1112–1130. [Google Scholar] [CrossRef]
- Maamouri, A.; Louarn, G.T.; Béguier, V.; Julier, B. Performance of lucerne genotypes for biomass production and nitrogen content differs in monoculture and in mixture with grasses and is partly predicted from traits recorded on isolated plants. Crop Pasture Sci. 2017, 68, 942–951. [Google Scholar] [CrossRef]
- Maamouri, A.; Louarn, G.T.; Gastal, F.O.B.; Guier, V.; Julier, B. Effects of lucerne genotype on morphology, biomass production and nitrogen content of lucerne and tall fescue in mixed pastures. Crop Pasture Sci. 2015, 66, 192–204. [Google Scholar] [CrossRef]
- Husse, S.; Huguenin-Elie, O.; Buchmann, N.; Lüscher, A. Larger yields of mixtures than monocultures of cultivated grassland species match with asynchrony in shoot growth among species but not with increased light interception. Field Crop. Res. 2016, 194, 1–11. [Google Scholar] [CrossRef]
- Ponisio, L.; Ehrlich, P. Diversification, yield and a new agricultural revolution: Problems and prospects. Sustainability 2016, 8, 1118. [Google Scholar] [CrossRef]
- Lamb, J.F.S.; Jung, H.G.; Riday, H. Growth environment, harvest management and germplasm impacts on potential ethanol and crude protein yield in alfalfa. Biomass Bioenergy 2014, 63, 114–125. [Google Scholar] [CrossRef]
- Annicchiarico, P.; Alami, I.T.; Abbas, K.; Pecetti, L.; Melis, R.A.M.; Porqueddu, C. Performance of legume-based annual forage crops in three semi-arid Mediterranean environments. Crop Pasture Sci. 2017, 68, 932–941. [Google Scholar] [CrossRef]
- Lehman, C.L.; Tilman, D. Biodiversity, stability, and productivity in competitive communities. Am. Nat. 2000, 156, 534–552. [Google Scholar] [CrossRef]
- Del Pozo, A.; Ovalle, C.; Espinoza, S.; Barahona, V.; Gerding, M.; Humphries, A. Water relations and use-efficiency, plant survival and productivity of nine alfalfa (Medicago sativa L.) cultivars in dryland Mediterranean conditions. Eur. J. Agron. 2017, 84, 16–22. [Google Scholar] [CrossRef]
- Barillot, R.; Escobar-Gutiérrez, A.J.; Fournier, C.; Huynh, P.; Combes, D. Assessing the effects of architectural variations on light partitioning within virtual wheat–pea mixtures. Ann. Bot. 2014, 114, 725–737. [Google Scholar] [CrossRef] [PubMed]
- Wang, Y.; Li, D.; Qi, S.; Wang, C.; Gao, Y.; Zheng, C.; Li, P. Effects of seeding rate and variety on branch number and plant height of alfalfa. Acta Pratac. Sin. 2017, 26, 183–190. [Google Scholar] [CrossRef]
- Zarza, R.; Rebuffo, M.; La Manna, A.; Balzarini, M. Plant density in red clover (Trifolium pratense L.) pastures as an early predictor of forage production. Eur. J. Agron. 2018, 101, 193–199. [Google Scholar] [CrossRef]
- Neugschwandtner, R.W.; Kaul, H. Sowing ratio and N fertilization affect yield and yield components of oat and pea in intercrops. Field Crop. Res. 2014, 155, 159–163. [Google Scholar] [CrossRef]
- Gou, F.; van Ittersum, M.K.; Simon, E.; Leffelaar, P.A.; van der Putten, P.E.L.; Zhang, L.; van der Werf, W. Intercropping wheat and maize increases total radiation interception and wheat RUE but lowers maize RUE. Eur. J. Agron. 2017, 84, 125–139. [Google Scholar] [CrossRef]
- Niklaus, P.A.; Baruffol, M.; He, J.S.; Ma, K.; Schmid, B. Can niche plasticity promote biodiversity-productivity relationships through increased complementarity? Ecology 2017, 98, 1104–1116. [Google Scholar] [CrossRef]
- Querné, A.; Battie-laclau, P.; Dufour, L.; Wery, J.; Dupraz, C. Effects of walnut trees on biological nitrogen fixation and yield of intercropped alfalfa in a Mediterranean agroforestry system. Eur. J. Agron. 2017, 84, 35–46. [Google Scholar] [CrossRef]
- Yang, G.; Luo, X.; Nie, Y.; Zhang, X. Effects of plant density on yield and canopy micro environment in hybrid cotton. J. Integr. Agr. 2014, 13, 2154–2163. [Google Scholar] [CrossRef]
- Gross, K.; Cardinale, B.J.; Fox, J.W.; Gonzalez, A.; Loreau, M.; Polley, H.W.; Reich, P.B.; van Ruijven, J. Species richness and the temporal stability of biomass production: A new analysis of recent biodiversity experiments. Am. Nat. 2014, 183, 1–12. [Google Scholar] [CrossRef]
- Sanaei, A.; Ali, A.; Chahouki, M.A.Z. The positive relationships between plant coverage, species richness, and aboveground biomass are ubiquitous across plant growth forms in semi-steppe rangelands. J. Environ. Manag. 2018, 205, 308–318. [Google Scholar] [CrossRef] [PubMed]
- Hakl, J.; Pisarčik, M.; Hrevušová, Z.; Šantrůček, J. In-field lucerne root morphology traits over time in relation to forage yield, plant density, and root disease under two cutting managements. Field Crop. Res. 2017, 213, 109–117. [Google Scholar] [CrossRef]
- Mischkolz, J.M.; Schellenberg, M.P.; Lamb, E.G. Assembling productive communities of native grass and legume species: Finding the right mix. Appl. Veg. Sci. 2016, 19, 111–121. [Google Scholar] [CrossRef]
- Ball, R.A.; Purcell, L.C.; Vories, E.D. Short-season soybean yield compensation in response to population and water regime. Crop Sci. 2000, 40, 1070–1078. [Google Scholar] [CrossRef]
- Baraibar, B.; Hunter, M.C.; Schipanski, M.E.; Hamilton, A.; Mortensen, D.A. Weed suppression in cover crop monocultures and mixtures. Weed Sci. 2018, 66, 121–133. [Google Scholar] [CrossRef]
- Wagg, C.; Ebeling, A.; Roscher, C.; Ravenek, J.; Bachmann, D.; Eisenhauer, N.; Mommer, L.; Buchmann, N.; Hillebrand, H.; Schmid, B.; et al. Functional trait dissimilarity drives both species complementarity and competitive disparity. Funct. Ecol. 2017, 31, 2320–2329. [Google Scholar] [CrossRef]
- Li, A.; Niu, K.; Du, G. Resource availability, species composition and sown density effects on productivity of experimental plant communities. Plant Soil 2011, 344, 177–186. [Google Scholar] [CrossRef]
- Pacanoski, Z.; Týr, S.; Vereš, T. Weed control in dormant alfalfa (Medicago sativa L.) with active ingredients’ metribuzin, imazetapyr and pronamide. J. Cent. Eur. Agric. 2017, 18, 42–54. [Google Scholar] [CrossRef][Green Version]
- Holmes, A.A.; Thompson, A.A.; Wortman, S.E. Species-specific contributions to productivity and weed suppression in cover crop mixtures. Agron. J. 2017, 109, 2808–2819. [Google Scholar] [CrossRef]
- Barilli, E.; Jeuffroy, M.H.; Gall, J.; de Tourdonnet, S.; Mediene, S. Weed response and crop growth in winter wheat-lucerne intercropping: A comparison of conventional and reduced soil-tillage conditions in northern France. Crop Pasture Sci. 2017, 68, 1070–1079. [Google Scholar] [CrossRef]
- Chen, H.; He, L.; Tang, H.; Zhao, M.; Shao, L. A two-step strategy for developing cultivated pastures in China that offer the advantages of ecosystem services. Sustainability 2016, 8, 392. [Google Scholar] [CrossRef]


| Treatments | Alfalfa | Grass | Treatments | Alfalfa | Grass | ||||
|---|---|---|---|---|---|---|---|---|---|
| Variety | Amount (kg ha−1) | Species | Amount (kg ha−1) | Variety | Amount (kg ha−1) | Species | Amount (kg ha−1) | ||
| AO1 | Algonquin | 30 | Oat | 60 | LO1 | Leafy king | 30 | Oat | 60 |
| AO2 | Algonquin | 30 | Oat | 80 | LO2 | Leafy king | 30 | Oat | 80 |
| AS1 | Algonquin | 30 | Sudangrass | 45 | LS1 | Leafy king | 30 | Sudangrass | 45 |
| AS2 | Algonquin | 30 | Sudangrass | 60 | LS2 | Leafy king | 30 | Sudangrass | 60 |
| WO1 | WL354HQ | 30 | Oat | 60 | AM | Algonquin | 45 | -- | -- |
| WO2 | WL354HQ | 30 | Oat | 80 | LM | Leafy king | 45 | -- | -- |
| WS1 | WL354HQ | 30 | Sudangrass | 45 | WM | WL354HQ | 45 | -- | -- |
| WS2 | WL354HQ | 30 | Sudangrass | 60 | |||||
| Period | Variety | Sowing Patterns | ||||
|---|---|---|---|---|---|---|
| O1 | O2 | S1 | S2 | M | ||
| Alfalfa DM (g m−2) | ||||||
| June | A | 5.0 ± 2.5 ab | 6.1 ± 2.8 ab | 8.3 ± 6.0 abc | 5.4 ± 3.0 ab | 18.7 ± 5.2 d |
| W | 17.0 ± 11.6 cd | 4.6 ± 3.0 a | 7.0 ± 3.9 ab | 9.0 ± 2.1 abc | 48.8 ± 9.4 f | |
| L | 18.9 ± 4.0 d | 14.8 ± 9.1 bcd | 14.4 ± 10.9 abcd | 13.4 ± 4.7 abcd | 35.8 ± 8.3 e | |
| July | A | 16.2 ± 6.5 ab | 20.6 ± 5.0 abc | 8.5 ± 5.9 a | 9.5 ± 3.6 a | 72.2 ± 34.9 d |
| W | 39.0 ± 15.6 bc | 25.1 ± 14.1 abc | 20.5 ± 12.5 abc | 20.1 ± 9.0 abc | 150.4 ± 24.5 e | |
| L | 44.0 ± 17.0 c | 45.4 ± 15.2 c | 24.8 ± 13.5 abc | 21.3 ± 5.3 abc | 182.4 ± 22.1 f | |
| August | A | 28.5 ± 14.1 abc | 28.5 ± 9.0 abc | 14.4 ± 2.3 a | 5.0 ± 2.6 a | 54.4 ± 12.9 bcd |
| W | 61.1 ± 15.9 cd | 33.0 ± 11.4 abc | 22.1 ± 15.2 ab | 25.1 ± 6.1 ab | 143.8 ± 33.5 e | |
| L | 78.1 ± 38.2 d | 68.6 ± 30.0 d | 23.7 ± 12.0 ab | 30.2 ± 14.0 abc | 244.8 ± 56.7 f | |
| Total DM (g m−2) | ||||||
| June | A | 95.7 ± 26.7 cde | 91.4 ± 20.1 cde | 124.5 ± 18.7 bc | 106.9 ± 48.0 bcd | 47.5 ± 13.6 e |
| W | 94.6 ± 12.2 cde | 97.8 ± 52.8 bcde | 184.4 ± 70.5 a | 152.6 ± 62.2 ab | 104.2 ± 24.7 bcd | |
| L | 93.7 ± 15.7 cde | 105.5 ± 10.8 bcd | 145.8 ± 28.7 abc | 147.8 ± 63.5 abc | 61.4 ± 15.9 de | |
| July | A | 408.3 ± 37.3 a | 271.4 ± 60.7 cde | 188.6 ± 61.0 e | 189.9 ± 46.2 e | 313.6 ± 80.8 bcd |
| W | 375.2 ± 67.3 ab | 348.6 ± 161.1 abc | 189.4 ± 41.9 e | 212.2 ± 42.4 e | 310.4 ± 80.0 bcd | |
| L | 356.6 ± 48.9 abc | 425.6 ± 49.8 a | 232.5 ± 25.8 de | 198.7 ± 41.8 e | 222.4 ± 41.6 de | |
| August | A | 358.6 ± 51.4 abc | 399.7 ± 101.3 a | 382.7 ± 100.0 a | 313.4 ± 86.1 abc | 253.3 ± 66.9 c |
| W | 351.2 ± 52.6 abc | 303.4 ± 104.5 abc | 267.5 ± 59.2 bc | 266.9 ± 25.1 bc | 313.4 ± 69.9 abc | |
| L | 369.9 ± 45.5 ab | 310.4 ± 50.9 abc | 302.7 ± 78.9 abc | 332.3 ± 98.2 abc | 331.0 ± 45.6 abc | |
| Period | Variety | Sowing patterns | ||||
|---|---|---|---|---|---|---|
| O1 | O2 | S1 | S2 | M | ||
| Plant Height (cm) | ||||||
| June | A | 6.9 ± 20.5 f | 7.0 ± 0.9 f | 9.2 ± 1.7 ef | 7.8 ± 1.4 f | 18.1 ± 1.7 b |
| W | 13.9 ± 1.7 c | 8.4 ± 1.4 ef | 12.6 ± 1.1 cd | 12.9 ± 2.7 cd | 21.4 ± 2.7 a | |
| L | 13.3 ± 1.0 cd | 10.7 ± 1.2 de | 12.2 ± 2.4 c | 18.1 ± 1.7 b | 22.4 ± 1.4 a | |
| July | A | 17.1 ± 1.8 def | 18.5 ± 2.5 de | 9.9 ± 2.3 h | 10.4 ± 1.4 gh | 29.9 ± 3.4 b |
| W | 21.3 ± 4.7 cd | 20.8 ± 5.8 cd | 13.8 ± 2.1 efgh | 15.1 ± 2.3 efg | 40.5 ± 6.2 a | |
| L | 20.7 ± 3.6 cd | 24.0 ± 1.9 c | 13.0 ± 3.5 fgh | 16.3 ± 3.5 def | 38.3 ± 3.7 a | |
| August | A | 25.1 ± 3.4 c | 24.3 ± 4.3 c | 16.0 ± 1.4 e | 15.0 ± 1.8 e | 26.5 ± 3.2 c |
| W | 26.6 ± 2.7 c | 26.7 ± 3.4 c | 22.5 ± 4.4 cd | 18.0 ± 5.0 e | 41.6 ± 5.2 a | |
| L | 24.7 ± 2.6 c | 22.3 ± 1.3 cd | 15.2 ± 3.1 e | 19.0 ± 1.5 de | 36.6 ± 2.3 b | |
| Branch Number | ||||||
| June | A | 4.4 ± 0.7 ef | 4.5 ± 0.8 def | 4.4 ± 0.5 f | 5.8 ± 1.0 b | 7.4 ± 0.2 a |
| W | 5.0 ± 0.8 bcdef | 4.9 ± 0.4 bcdef | 4.8 ± 0.7 cdef | 5.0 ± 0.7 bcdef | 7.2 ± 0.2 a | |
| L | 5.6 ± 0.3 bc | 5.4 ± 0.5 bcd | 5.0 ± 0.6 bcdef | 5.3 ± 0.9 bcde | 7.9 ± 0.5 a | |
| July | A | 7.8 ± 1.2 cde | 9.0 ± 2.0 cd | 5.9 ± 1.6 e | 6.4 ± 1.1 e | 11.9 ± 0.8 ab |
| W | 8.9 ± 2.9 cd | 9.0 ± 2.5 cd | 6.2 ± 0.6 e | 7.5 ± 2.0 de | 11.7 ± 1.6 ab | |
| L | 10.0 ± 2.3 bc | 9.6 ± 0.9 bcd | 6.2 ± 1.7 e | 6.4 ± 0.4 e | 13.4 ± 1.7 a | |
| August | A | 10.2 ± 1.6 ab | 11.2 ± 3.2 a | 7.4 ± 1.1 cd | 6.5 ± 1.0 d | 10.3 ± 2.0 ab |
| W | 10.8 ± 2.2 a | 9.8 ± 0.9 abc | 7.5 ± 0.9 cd | 7.1 ± 1.4 d | 12.0 ± 1.8 a | |
| L | 10.9 ± 0.8 a | 10.5 ± 2.5 a | 7.6 ± 1.6 cd | 8.1 ± 0.3 bcd | 12.0 ± 1.2 a | |
| Plant Density (No. of Plants m−2) | ||||||
| June | A | 253.6 ± 126.7 bc | 242.4 ± 50.4 bc | 266.4 ± 170.1 bc | 128.0 ± 77.1 c | 318.4 ± 107.7 bc |
| W | 354.4 ± 213.6 ab | 203.2 ± 155.5 bc | 211.2 ± 115.6 bc | 181.6 ± 56.0 bc | 528.8 ± 128.4 a | |
| L | 342.4 ± 67.1 ab | 392.8 ± 306.5 ab | 268.8 ± 108.3 bc | 297.6 ± 122.6 bc | 366.4 ± 60.8 ab | |
| July | A | 296.0 ± 160.9 b | 385.6 ± 50.4 b | 340.8 ± 201.4 b | 656.8 ± 555.1 ab | 624.0 ± 192.0 ab |
| W | 516.8 ± 281.4 ab | 233.6 ± 131.9 b | 446.4 ± 493.2 ab | 481.6 ± 335.5 ab | 812.8 ± 362.5 a | |
| L | 617.6 ± 203.8 ab | 566.4 ± 112.2 ab | 379.2 ± 255.8 b | 540.8 ± 207.2 ab | 846.4 ± 183.5 a | |
| August | A | 377.6 ± 208.7 cde | 312.0 ± 131.2 cde | 388.8 ± 85.5 bcde | 158.4 ± 66.8 e | 409.6 ± 191.8 bcde |
| W | 483.2 ± 191.1 bcde | 283.2 ± 144.2 de | 280.0 ± 111.7 de | 436.8 ± 195.0 bcde | 651.2 ± 392.6 bc | |
| L | 636.8 ± 371.4 bcd | 736.0 ± 399.2 b | 422.4 ± 86.1 bcde | 638.4 ± 350.7 bcd | 1369.6 ± 242.6 a | |
| Period | Variety | Sowing Patterns | ||||
|---|---|---|---|---|---|---|
| O1 | O2 | S1 | S2 | M | ||
| PAR (μmol m−2 s−1) | ||||||
| June | A | 248.7 ± 68.8 ab | 301.9 ± 39.2 a | 168.4 ± 30.5 cdefg | 152.4 ± 48.7 efg | 306.9 ± 93.8 a |
| W | 239.0 ± 46.2 abc | 206.6 ± 36.4 bcdef | 129.8 ± 64.7 fg | 143.7 ± 34.2 efg | 217.3 ± 63.7 bcde | |
| L | 215.8 ± 35.2 bcde | 233.3 ± 81.3 abcd | 158.6 ± 45.8 defg | 98.9 ± 13.4 g | 213.4 ± 49.6 bcde | |
| July | A | 143.4 ± 13.1 bcde | 197.7 ± 40.6 a | 153.8 ± 26.6 bcd | 171.7 ± 22.5 ab | 161.6 ± 36.2 abc |
| W | 141.3 ± 36.6 bcdef | 120.5 ± 16.4 cdefg | 116.2 ± 32.8 defg | 99.6 ± 11.6 fg | 157.8 ± 49.4 bcd | |
| L | 120.4 ± 21.3 cdefg | 103.1 ± 32.2 efg | 108.0 ± 27.3 efg | 79.3 ± 8.4 g | 139.8 ± 17.8 bcdef | |
| August | A | 531.9 ± 65.9 ab | 371.5 ± 68.7 cd | 443.5 ± 66.6 bcd | 341.7 ± 89.1 cd | 411.4 ± 21.8 bcd |
| W | 370.2 ± 100.1 cd | 568.4 ± 120.9 a | 322.3 ± 55.2 d | 462.0 ± 77.6 abc | 338.7 ± 142.1 cd | |
| L | 378.2 ± 63.5 cd | 572.4 ± 135.8 a | 316.3 ± 45.3 d | 425.8 ± 81.7 bcd | 511.1 ± 80.9 ab | |
| Community Density (No. of Plants m−2) | ||||||
| June | A | 736.8 ± 109.0 abc | 766.4 ± 106.1 ab | 626.4 ± 87.6 bcde | 450.4 ± 139.3 e | 524.0 ± 131.0 cde |
| W | 892.0 ± 253.2 a | 749.6 ± 175.1 abc | 496.0 ± 169.2 de | 520.0 ± 84.6 cde | 872.8 ± 102.7 a | |
| L | 716.8 ± 144.7 abcd | 877.6 ± 216.1 a | 630.4 ± 169.7 bcde | 637.6 ± 255.3 bcde | 587.2 ± 110.3 bcde | |
| July | A | 976.0 ± 247.3 b | 904.0 ± 97.8 b | 1507.2 ± 437.5 ab | 1305.6 ± 656.3 ab | 881.6 ± 156.2 b |
| W | 1120.0 ± 264.6 ab | 926.4 ± 289.7 b | 1364.8 ± 421.6 ab | 1147.2 ± 424.5 ab | 988.8 ± 356.5 b | |
| L | 1240.0 ± 185.5 ab | 1267.2 ± 220.4 ab | 1310.4 ± 364.9 ab | 1153.6 ± 211.2 ab | 896.0 ± 201.2 b | |
| August | A | 1155.2 ± 268.1 abc | 1036.8 ± 215.6 bcde | 980.8 ± 206.8 bcde | 724.8 ± 137.7 de | 696.0 ± 192.8 e |
| W | 1192.0 ± 307.4 abc | 872.0 ± 227.4 cde | 918.4 ± 356.1 cde | 912.0 ± 153.4 cde | 864.0 ± 428.4 cde | |
| L | 1208.0 ± 246.3 abc | 1332.8 ± 239.4 ab | 980.8 ± 137.2 bcde | 1096.0 ± 341.8 abcd | 1452.8 ± 230.4 a | |
| Treatments | AO1 | AO2 | AS1 | AS2 | WO1 | WO2 | WS1 | WS2 |
| June | 3.6 ± 0.4 | 4.6 ± 0.8 | 6.7 ± 1.4 | 2.2 ± 0.8 | 7.7 ± 1.6 | 1.9 ± 0.6 | 2.6 ± 0.7 | 2.5 ± 0.3 |
| July | 10.9 ± 1.7 | 4.5 ± 0.7 | 3.1 ± 1.0 | 4.1 ± 0.8 | 5.6 ± 0.6 | 2.2 ± 1.1 | 4.5 ± 1.0 | 5.0 ± 1.4 |
| August | 7.0 ± 1.5 | 3.9 ± 0.8 | 3.8 ± 1.0 | 3.6 ± 1.3 | 6.7 ± 1.6 | 2.9 ± 1.4 | 4.5 ± 0.8 | 10.6 ± 1.6 |
| Average | 7.2 ± 0.4 | 4.3 ± 0.6 | 4.5 ± 1.1 | 3.3 ± 0.4 | 6.7 ± 0.7 | 2.3 ± 0.3 | 3.9 ± 0.3 | 6.0 ± 0.3 |
| Treatments | LO1 | LO2 | LS1 | LS2 | AM | LM | WM | |
| June | 6.0 ± 1.2 | 9.8 ± 1.0 | 5.1 ± 1.2 | 2.3 ± 0.7 | 3.5 ± 0.4 | 3.9 ± 0.7 | 4.2 ± 0.7 | |
| July | 7.3 ± 1.5 | 8.6 ± 1.7 | 9.0 ± 0.4 | 4.8 ± 1.2 | 3.9 ± 0.6 | 5.3 ± 0.8 | 3.9 ± 0.9 | |
| August | 8.1 ± 1.5 | 6.1 ± 1.5 | 3.8 ± 1.0 | 3.4 ± 0.7 | 3.8 ± 1.1 | 7.3 ± 1.2 | 4.5 ± 0.7 | |
| Average | 7.1 ± 1.1 | 8.1 ± 0.7 | 6.0 ± 0.8 | 3.5 ± 0.2 | 3.7 ± 0.6 | 5.5 ± 0.3 | 4.2 ± 0.6 |
© 2020 by the authors. Licensee MDPI, Basel, Switzerland. This article is an open access article distributed under the terms and conditions of the Creative Commons Attribution (CC BY) license (http://creativecommons.org/licenses/by/4.0/).
Share and Cite
Fan, Y.; Li, B.; Dai, X.; Ma, L.; Tai, X.; Bi, X.; Yang, Z.; Zhang, X. Optimizing Cropping Systems of Cultivated Pastures in the Mountain–Basin Systems in Northwest China. Appl. Sci. 2020, 10, 6949. https://doi.org/10.3390/app10196949
Fan Y, Li B, Dai X, Ma L, Tai X, Bi X, Yang Z, Zhang X. Optimizing Cropping Systems of Cultivated Pastures in the Mountain–Basin Systems in Northwest China. Applied Sciences. 2020; 10(19):6949. https://doi.org/10.3390/app10196949
Chicago/Turabian StyleFan, Yao, Bo Li, Xuhuan Dai, Lingxiao Ma, Xiaoli Tai, Xu Bi, Zihan Yang, and Xinshi Zhang. 2020. "Optimizing Cropping Systems of Cultivated Pastures in the Mountain–Basin Systems in Northwest China" Applied Sciences 10, no. 19: 6949. https://doi.org/10.3390/app10196949
APA StyleFan, Y., Li, B., Dai, X., Ma, L., Tai, X., Bi, X., Yang, Z., & Zhang, X. (2020). Optimizing Cropping Systems of Cultivated Pastures in the Mountain–Basin Systems in Northwest China. Applied Sciences, 10(19), 6949. https://doi.org/10.3390/app10196949

