Building Energy an Simulation Model for Analyzing Energy Saving Options of Multi-Span Greenhouses
Abstract
1. Introduction
- To provide the necessary input data (Pre-processing) to carry out multi-span greenhouse simulation using the TRNSYS 18 program.
- To propose a Building Energy Simulation (BES) model using the TRNSYS-18 program to evaluate the multi-span greenhouse design parameters under dynamic weather conditions while considering the dynamic daily and seasonal control of screen and natural ventilation, heating and cooling set points.
- To study the effects of different design parameters on the performance of the multi-span greenhouse. These parameters are different angular orientations namely, 0°, 30°, 45°, 60°, 75°, 90°; covering material type namely, Polyethylene (PE), Polyvinylchloride (PVC), Horticulture glass (HG), Polymethylmethacrylate (PMMA), and Polycarbonate (PC); and double-glazing type (and thickness) namely, PC (4, 6, 8, 10, 16 mm) and PMMA (8, 16 mm). In addition, the effect of screen types (Ph-77, Ph-super, Luxous, Tempa, Polyester); natural ventilation, north-wall insulation, different roof geometries and wide-span greenhouses are considered.
2. Materials and Methods
2.1. Experimental Greenhouse for Validation
2.2. BES Modeling
2.2.1. Pre-Processing
2.2.2. Model Creation
2.2.3. Validation of the BES Model
2.2.4. Simulation
3. Results and Discussion
4. Conclusions
- 1-
- In winter, it is best use to three layers of thermal screens, as the analysis showed a 70% and 40% heat energy reduction compared with single and double layers of thermal screens. Moreover, the use of a shading screen in summer can reduce cooling energy demand by up to 25%.
- 2-
- The maximum heating loads of a multi-span greenhouse with conditions of without thermal screen, one screen, two screens, and three screens, were 0.65, 0.46, 0.41, and 0.344 MJ·h−1·m−2, respectively. Moreover, the maximum cooling loads without and with shading screen were, 1.5, and 1.18 MJ·h−1·m−2, respectively.
- 3-
- The Ph-77 thermal screen combined with Ph-super is more energy efficient and reduces heating energy demand during winter.
- 4-
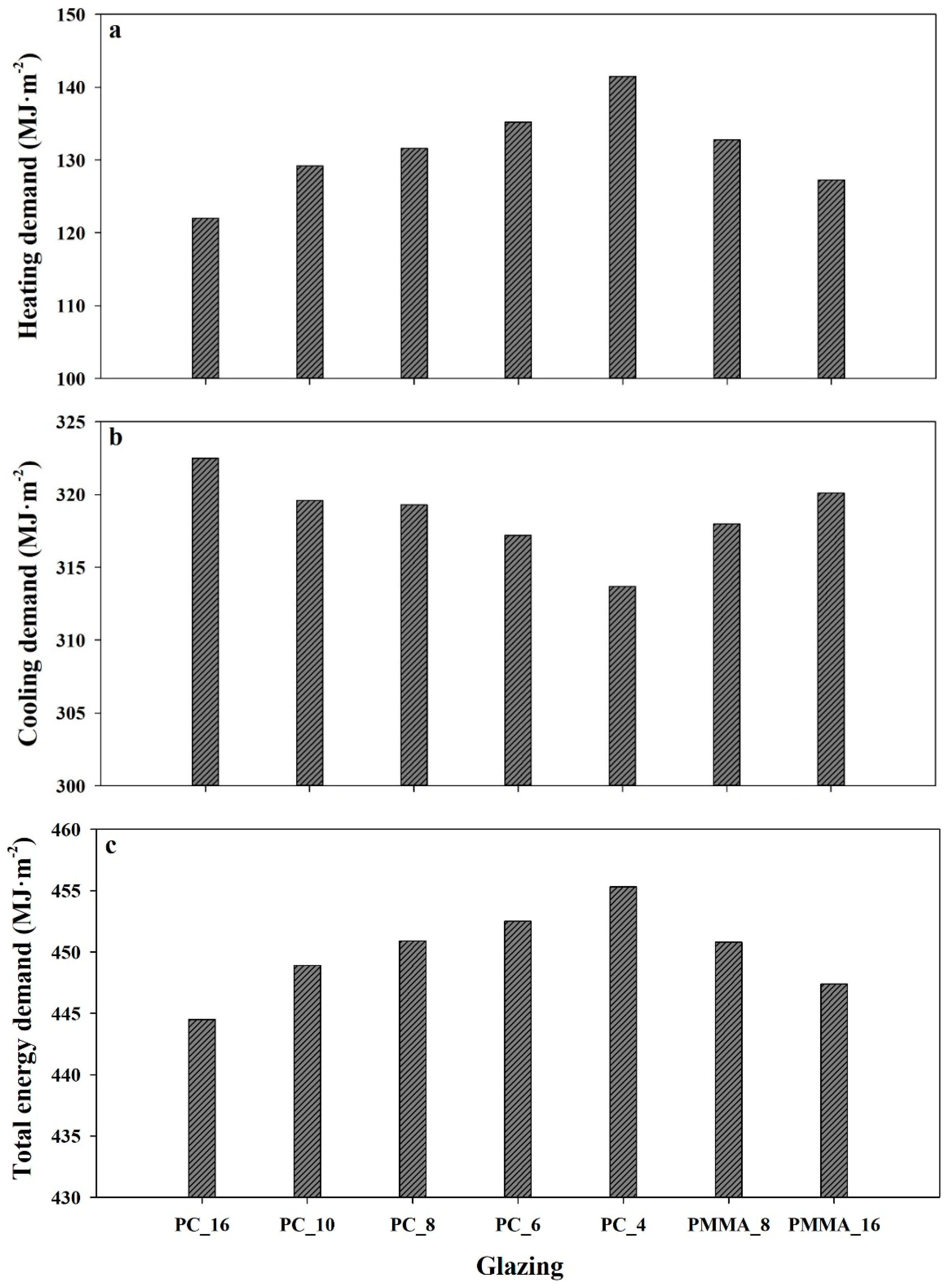
- The PC-16mm showed the smallest heating demands of 20%, 19%, 7%, and 4% during the heating months than the other materials and thicknesses studied. Furthermore, PE showed the smallest cooling demands of 2%, 7%, 5%, and 4%. This was lower than the others studied.
- 5-
- PC-16 mm is a more energy efficient double-glazed material than the other materials studied.
- 6-
- The E–W orientation has smallest annual energy requirement when compared with the other orientations considered. The result indicates that in January, the average daily solar gain of the E–W (0°) orientation was, 11%, 14%, 15%, 12%, and 7%; and it was higher than the 15°, 30°, 45°, 60°, 75°, and 90° (N–S) orientations, respectively. Moreover, during June, the E–W (0°) orientation received 7%, 11%, 13%, 15%, and 15% less average solar gain than that of the 15°, 30°, 45°, 60°, 75°, and 90° (N–S) orientations, respectively.
- 7-
- A 50% reduction in cooling demand was experienced during the whole summer season using natural ventilation combined with cooling.
- 8-
- Using north wall insulation during the day, a 5% reduction in heating energy demand was achieved during whole winter season.
- 9-
- The Venlo type greenhouse requires 25% less heat energy compared with the wide-span type and vice versa in the cooling season. The wide-span greenhouse requires 35% less cooling energy than the venlo type. Moreover, the solar energy gain of a wide-span greenhouse roof geometry is less than that of the venlo type greenhouse.
Author Contributions
Funding
Conflicts of Interest
References
- Ahamed, M.S.; Guo, H.; Tanino, K. Energy-efficient design of greenhouse for canadian prairies using a heating simulation model. Int. J. Energy Res. 2018, 42, 2263–2272. [Google Scholar] [CrossRef]
- Vadiee, A.; Martin, V. Solar blind system- solar energy utilization and climate mitigation in glassed buildings. Energy Procedia 2014, 57, 2023–2032. [Google Scholar] [CrossRef]
- Yang, S.H.; Lee, C.G.; Lee, W.K.; Ashtiani, A.A.; Kim, J.Y.; Lee, S.D.; Rhee, J.Y. Heating and cooling system for utilization of surplus air thermal energy in greenhouse and its control logic. J. Biosyst. Eng. 2012, 37, 19–27. [Google Scholar] [CrossRef]
- Ahamed, M.S.; Guo, H.; Tanino, K.J.B.E. Energy saving techniques for reducing the heating cost of conventional greenhouses. Biosyst. Eng. 2019, 178, 9–33. [Google Scholar] [CrossRef]
- Xaman, J.; Hernandez-Perez, I.; Arce, J.; Alvarez, G.; Ramirez-Davila, L.; Noh-Pat, F. Numerical study of earth-to-air heat exchanger: The effect of thermal insulation. Energy Build. 2014, 85, 356–361. [Google Scholar] [CrossRef]
- Rasheed, A.; Lee, J.W.; Lee, H.W. Development of a model to calculate the overall heat transfer coefficient of greenhouse covers. Span. J. Agric. Res. 2017, 15, 1–11. [Google Scholar] [CrossRef]
- Gupta, M.J.; Chandra, P. Effect of greenhouse design parameters on conservation of energy for greenhouse environmental control. Energy 2002, 27, 777–794. [Google Scholar] [CrossRef]
- Gupta, A.; Tiwari, G. Performance evaluation of greenhouse for different climatic zones of india. J. Sol. Energy Soc. India 2002, 12, 45. [Google Scholar]
- Kumari, N.; Tiwari, G.; Sodha, M. Performance evaluation of greenhouse having passive or active heating in different climatic zones of india. Agric. Eng. Int. CIGR J. 2007, 9, 1–19. [Google Scholar]
- Sethi, V.P. On the selection of shape and orientation of a greenhouse: Thermal modeling and experimental validation. Sol. Energy 2009, 83, 21–38. [Google Scholar] [CrossRef]
- Çakır, U.; Şahin, E. Using solar greenhouses in cold climates and evaluating optimum type according to sizing, position and location: A case study. Comput. Electron. Agric. 2015, 117, 245–257. [Google Scholar] [CrossRef]
- Djevic, M.; Dimitrijevic, A. Energy consumption for different greenhouse constructions. Energy 2009, 34, 1325–1331. [Google Scholar] [CrossRef]
- Mobtaker, H.G.; Ajabshirchi, Y.; Ranjbar, S.F.; Matloobi, M. Solar energy conservation in greenhouse: Thermal analysis and experimental validation. Renew. Energy 2016, 96, 509–519. [Google Scholar] [CrossRef]
- El-Maghlany, W.M.; Teamah, M.A.; Tanaka, H. Optimum design and orientation of the greenhouses for maximum capture of solar energy in north tropical region. Energy Convers. Manag. 2015, 105, 1096–1104. [Google Scholar] [CrossRef]
- Rasheed, A.; Lee, J.; Lee, H. Development and optimization of a building energy simulation model to study the effect of greenhouse design parameters. Energies 2018, 11, 2001. [Google Scholar] [CrossRef]
- Lee, S.-B.; Lee, I.-B.; Homg, S.-W.; Seo, I.-H.; Bitog, P.J.; Kwon, K.-S.; Ha, T.-H.; Han, C.-P. Prediction of greenhouse energy loads using building energy simulation (bes). J. Korean Soc. Agric. Eng. 2012, 54, 113–124. [Google Scholar]
- Ha, T.; Lee, I.-B.; Kwon, K.-S.; Hong, S.-W. Computation and field experiment validation of greenhouse energy load using building energy simulation model. Int. J. Agric. Biol. Eng. 2015, 8, 116–127. [Google Scholar]
- Lee, S.-N.; Park, S.-J.; Lee, I.-B.; Ha, T.-H.; Kwon, K.-S.; Kim, R.-W.; Yeo, U.-H.; Lee, S.-Y. Design of energy model of greenhouse including plant and estimation of heating and cooling loads for a multi-span plastic-film greenhouse by building energy simulation. Prot. Hortic. Plant Fact. 2016, 25, 123–132. [Google Scholar] [CrossRef]
- Baglivo, C.; Mazzeo, D.; Panico, S.; Bonuso, S.; Matera, N.; Congedo, P.M.; Oliveti, G. Complete greenhouse dynamic simulation tool to assess the crop thermal well-being and energy needs. Appl. Therm. Eng. 2020, 179, 115698. [Google Scholar] [CrossRef]
- Carlini, M.; Castellucci, S. Modelling and simulation for energy production parametric dependence in greenhouses. Math. Probl. Eng. 2010, 2010. [Google Scholar] [CrossRef]
- Klein, S.A. Trnsys, A Transient System Simulation Program; Solar Energy Laborataory, University of Wisconsin: Madison, WI, USA, 2012. [Google Scholar]
- Castronuovo, D.; Russo, D.; Libonati, R.; Faraone, I.; Candido, V.; Picuno, P.; Andrade, P.; Valentao, P.; Milella, L. Influence of shading treatment on yield, morphological traits and phenolic profile of sweet basil (Ocimum basilicum L.). Sci. Hortic. 2019, 254, 91–98. [Google Scholar] [CrossRef]
- Valera, M.D.; Molina, A.F.; Alvarez, M.A. Protocolo de Auditoría Energética en Invernaderos. Auditoría Energética de un Invernadero Para Cultivo de flor Cortada en Mendigorría; Instituto para la diversificacion y ahorro de la energia: Madrid, Spain, 2008. [Google Scholar]
- Rasheed, A.; Na, W.H.; Lee, J.W.; Kim, H.T.; Lee, H.W.J.E. Optimization of greenhouse thermal screens for maximized energy conservation. Energies 2019, 12, 3592. [Google Scholar] [CrossRef]
- Rafiq, A.; Na, W.H.; Rasheed, A.; Kim, H.T.; Lee, H.W.J.P.H.; Factory, P. Determination of thermal radiation emissivity and absorptivity of thermal screens for greenhouse. Prot. Hortic. Plant Fact. 2019, 28, 311–321. [Google Scholar] [CrossRef]
- Ahamed, M.S.; Guo, H.; Tanino, K. Development of a thermal model for simulation of supplemental heating requirements in chinese-style solar greenhouses. Comput. Electron. Agric. 2018, 150, 235–244. [Google Scholar] [CrossRef]
- Vanthoor, B.H.E.; Stanghellini, C.; van Henten, E.J.; de Visser, P.H.B. A methodology for model-based greenhouse design: Part 1, a greenhouse climate model for a broad range of designs and climates. Biosyst. Eng. 2011, 110, 363–377. [Google Scholar] [CrossRef]
- Geoola, F.; Kashti, Y.; Levi, A.; Brickman, R. A study of the overall heat transfer coefficient of greenhouse cladding materials with thermal screens using the hot box method. Polym. Test. 2009, 28, 470–474. [Google Scholar] [CrossRef]
- Geoola, F.; Kashti, Y.; Teitel, M.; Levi, A.; Brickman, R.; Esquira, I. A Study of u Value of Greenhouse Films with Thermal Screens Using the Hot Box Method; International Society for Horticultural Science (ISHS): Leuvenz, Belgium, 2011; pp. 367–372. [Google Scholar]
- Rasheed, A.; Lee, J.W.; Lee, H.W. Evaluation of overall heat transfer coefficient of different greenhouse thermal screens using building energy simulation. Prot. Hortic. Plant Fact. 2018, 27, 294–301. [Google Scholar] [CrossRef]
- Taki, M.; Ajabshirchi, Y.; Ranjbar, S.F.; Rohani, A.; Matloobi, M. Modeling and experimental validation of heat transfer and energy consumption in an innovative greenhouse structure. Inf. Process. Agric. 2016, 3, 157–174. [Google Scholar] [CrossRef]
- Ahemd, H.A.; Al-Faraj, A.A.; Abdel-Ghany, A.M. Shading greenhouses to improve the microclimate, energy and water saving in hot regions: A review. Sci. Hortic. 2016, 201, 36–45. [Google Scholar] [CrossRef]
- Abdel-Ghany, A.; Al-Helal, I.; Alkoaik, F.; Alsadon, A.; Shady, M.; Ibrahim, A. Predicting the cooling potential of different shading methods for greenhouses in arid regions. Energies 2019, 12, 4716. [Google Scholar] [CrossRef]
- Lee, M.; Lee, I.-B.; Ha, T.-H.; Kim, R.-W.; Yeo, U.-H.; Lee, S.-Y.; Park, G.; Kim, J.-G. Estimation on heating and cooling loads for a multi-span greenhouse and performance analysis of pv system using building energy simulation. Prot. Hortic. Plant Fact. 2017, 26, 258–267. [Google Scholar] [CrossRef]
- Hassanien, R.H.E.; Li, M.; Lin, W.D. Advanced applications of solar energy in agricultural greenhouses. Renew. Sustain. Energy Rev. 2016, 54, 989–1001. [Google Scholar] [CrossRef]
- Ahamed, M.S.; Guo, H.; Tanino, K. Sensitivity analysis of csgheat model for estimation of heating consumption in a chinese-style solar greenhouse. Comput. Electron. Agric. 2018, 154, 99–111. [Google Scholar] [CrossRef]
- Wei, B.; Guo, S.; Wang, J.; Li, J.; Wang, J.; Zhang, J.; Qian, C.; Sun, J. Thermal performance of single span greenhouses with removable back walls. Biosyst. Eng. 2016, 141, 48–57. [Google Scholar] [CrossRef]





















| Weather Parameter | Unit | Time Interval | Sensor | Precision of Sensor | Data Recorded |
|---|---|---|---|---|---|
| Temperature | °C | 1 min | IC, SHT75, SENSIRION | ±0.3 °C | Field recorded |
| Relative humidity | % | 1 min | IC, SHT75, SENSIRION | ±1.8% | Field recorded |
| Solar radiation | W·m−2 | 1 min | ML-01C, Technox Inc | ±2.0% | Field recorded |
| Wind speed | m·s−1 | 1 min | Model_Vantage Pro 2 6152CEU (Davis) | ±5% | Field recorded |
| Wind direction | degree | 1 min | Model_Vantage Pro 2 6152CEU (Davis) | ±5% | Field recorded |
| Ambient pressure | hPa | 1 min | PTB-220TS, VAISALA | ±0.15% | KMA |
| Cover Characteristics | Greenhouse Materials | ||||
|---|---|---|---|---|---|
| PC | HG | PE | PVC | PMMA | |
| Solar radiation (300–2500 nm) | |||||
| Transmittance | 0.78 | 0.89 | 0.86 | 0.91 | 0.78 |
| Reflectance | 0.14 | 0.08 | 0.10 | 0.07 | 0.14 |
| Visible radiation (380–760 nm) | |||||
| Visible radiation transmittance | 0.75 | 0.91 | 0.89 | 0.92 | 0.75 |
| Visible radiation reflectance | 0.15 | 0.08 | 0.08 | 0.14 | 0.15 |
| Thermal radiation (2500–40,000 nm) | |||||
| Transmittance | 0.02 | 0.10 | 0.18 | 0.06 | 0.02 |
| Emmitance | 0.89 | 0.90 | 0.79 | 0.62 | 0.89 |
| Conductivity (W·m−1·K−1) | 0.19 | 0.76 | 0.33 | 0.13 | 0.19 |
| Thickness (mm) | 0.80 | 4.00 | 0.10 | 0.10 | 0.80 |
| Cover Characteristics | Greenhouse Materials | ||||
|---|---|---|---|---|---|
| Ph-77 | Ph-Super | Polyester | Luxous | Tempa | |
| Solar radiation (300–2500 nm) | |||||
| Transmittance front | 0.17 | - | - | - | - |
| Transmittance back | 0.17 | - | - | - | - |
| Reflectance front | 0.59 | - | - | - | - |
| Reflectance back | 0.51 | - | - | - | - |
| Visible radiation (380–760 nm) | |||||
| Transmittance front | 0.17 | - | - | - | - |
| Transmittance back | 0.17 | - | - | - | - |
| Reflectance front | 0.59 | - | - | - | - |
| Reflectance back | 0.51 | - | - | - | - |
| Thermal radiation (2500–40,000 nm) | |||||
| Transmittance | 0.20 | 0.38 | 0.02 | 0.38 | 0.01 |
| Emmitance front | 0.38 | 0.60 | 0.94 | 0.44 | 0.67 |
| Emmitance back | 0.48 | 0.60 | 0.94 | 0.44 | 0.67 |
| Conductivity (W·m−1·K−1) | 0.59 | 0.08 | 0.05 | 0.04 | 0.21 |
| Thickness (mm) | 0.40 | 0.30 | 0.40 | 0.22 | 0.25 |
| Component | Type | Description |
|---|---|---|
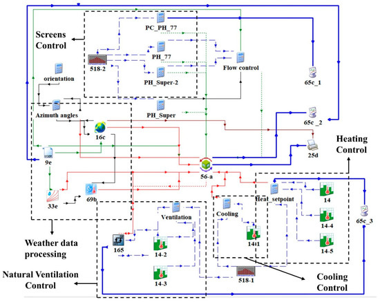
| Weather data reader | 9e | This component serves the purpose of reading data at regular time intervals from a data file, converting it to a desired unit system. |
| Solar radiation processor | 16c | Estimates total, beam, reflected, and diffused radiation on all greenhouse surfaces by utilizing total solar radiation on horizontal. |
| Sky temperature calculator | 69b | Input: dew point temperature, beam and diffuse radiation on horizontal to calculate sky temperature for long-wave radiation exchange, the calculated sky temp. |
| Psychrometric chart | 33e | This component calculates dew point temperature by utilizing inputs including, dry bulk temperature and humidity ratio. |
| Equation editor | This type was used to insert an equation. Equations were used to control, orientation, heat and cooling annual set-points, natural ventilation and screens deploy and retract. | |
| Greenhouse building model with natural ventilation | 56-a TRNFlow |
|
| Controller | 165 | This type is a differential controller used to generate a control function which has a value of 0 and 1 for closed and open, respectively, used to control for deploying and retracting screens and opening and closing of vents for natural ventilation. |
| Monthly Function Scheduler | 518 | This type is used to generate, daily and monthly control values for the controller. |
| Time dependent forcing Function | 14 | It is used to control daily time varying set-points of heating and cooling |
| Printer | 25d | This type was used to print results on the external user- provided file |
| Plotter | 65c | This type was used to plot the results in an online plotter |
| Parameter | Condition (a) | Condition (b) |
|---|---|---|
| Greenhouse type | Multi-span | Multi-span |
| No. of span | 15 | 15 |
| Roof type | Venlo | Venlo |
| Roof Glazing | HG-4 mm | HG-4 mm |
| Side Glazing | PC-16 mm | PC-16 mm |
| Dimension | 120.2 m × 63 m × 7.5 m | 120.2 m × 63 m × 7.5 m |
| Floor area | 7572.6 m2 | 7572.6 m2 |
| Orientation | North–South | North–South |
| Period | 20–29 August 2019 | 1–10 December 2019 |
| Screen | Shading (Ph-77) | Ph-77, Ph-Super |
| Screen control | Sunrise: 10:30 a.m. | Ph-77 retract (After sunrise, or Temp 10, or S.R 100 W) Ph-77 deploy (After sunset, or Temp 12, and S.R 100 W) Ph-Super_1 retract (After sunrise, or Temp 5, or S.R 50 W) Ph-Super_1 deploy (After sunset, or Temp 12, and S.R 50 W) Ph-Super_2 retract (After sunrise, or Temp 12, or S.R 150 W) Ph-Super_2 deploy (After sunset, or Temp 14, and S.R 150 W) |
| Natural ventilation | Roof vents | Roof vents |
| Natural vents control set point temperature | 18 °C (00:00–04:00) | 18 °C (00:00–05:30) |
| 20 °C (04:00–10:00) | 19 °C (05:30–16:15) | |
| 26 °C (10:00–18:00) | 15 °C (16:15–21:30) | |
| 18 °C (18:00–24:00) | 18 °C (21:30–24:00) | |
| Heating | No | 17 °C (00:00–16:15) 15 °C (16:15–21:30) 17 °C (21:30–24:00) |
| Parameter | Test Condition | ||||||
|---|---|---|---|---|---|---|---|
| Orientation | 0 (E-W) | 30 | 45 | 60 | 75 | 90 (N-S) | |
| Covering material | PE | PVC | HG | PMMA | PC | ||
| Double glazing | PC (mm) | 4 | 6 | 8 | 10 | 16 | |
| PMMA (mm) | 8 | 16 | |||||
| No. of Screens | Thermal | 1 | 2 | 3 | |||
| Shading | 1 | ||||||
| Screen Materials | Ph-77 | Ph-Super | Luxous | Tempa | Polyester | ||
| Natural ventilation | Fully closed | Naturally ventilated | |||||
| North-wall insulation | With | Without | |||||
| Roof shape | Venlo | Wide-span | |||||
| Maximum Heating Load | |||
|---|---|---|---|
| Load (MJ·h−1·m−2) | Outside Temperature (°C) | Outside Solar Radiation (kJ·h−1·m−2) | |
| Without screen | 0.65 | −10.7 | 0 |
| 1 screen | 0.46 | −10.7 | 0 |
| 2 screens | 0.41 | −10.7 | 0 |
| 3 screens | 0.34 | −10.7 | 0 |
| Maximum Cooling Load | |||
| Without shading screen | 1.50 | 35.7 | 3570 |
| with shading screen | 1.18 | 35.7 | 3570 |
© 2020 by the authors. Licensee MDPI, Basel, Switzerland. This article is an open access article distributed under the terms and conditions of the Creative Commons Attribution (CC BY) license (http://creativecommons.org/licenses/by/4.0/).
Share and Cite
Rasheed, A.; Kwak, C.S.; Kim, H.T.; Lee, H.W. Building Energy an Simulation Model for Analyzing Energy Saving Options of Multi-Span Greenhouses. Appl. Sci. 2020, 10, 6884. https://doi.org/10.3390/app10196884
Rasheed A, Kwak CS, Kim HT, Lee HW. Building Energy an Simulation Model for Analyzing Energy Saving Options of Multi-Span Greenhouses. Applied Sciences. 2020; 10(19):6884. https://doi.org/10.3390/app10196884
Chicago/Turabian StyleRasheed, Adnan, Cheul Soon Kwak, Hyeon Tae Kim, and Hyun Woo Lee. 2020. "Building Energy an Simulation Model for Analyzing Energy Saving Options of Multi-Span Greenhouses" Applied Sciences 10, no. 19: 6884. https://doi.org/10.3390/app10196884
APA StyleRasheed, A., Kwak, C. S., Kim, H. T., & Lee, H. W. (2020). Building Energy an Simulation Model for Analyzing Energy Saving Options of Multi-Span Greenhouses. Applied Sciences, 10(19), 6884. https://doi.org/10.3390/app10196884

