All-Organic, Low Voltage, Transparent and Compliant Organic Field-Effect Transistor Fabricated by Means of Large-Area, Cost-Effective Techniques
Abstract
1. Introduction
2. Materials and Methods
2.1. Device Structure and Fabrication
2.2. Electrical and Electromechanical Characterizations
2.3. Optical Characterization
3. Results
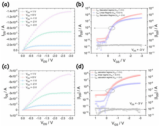
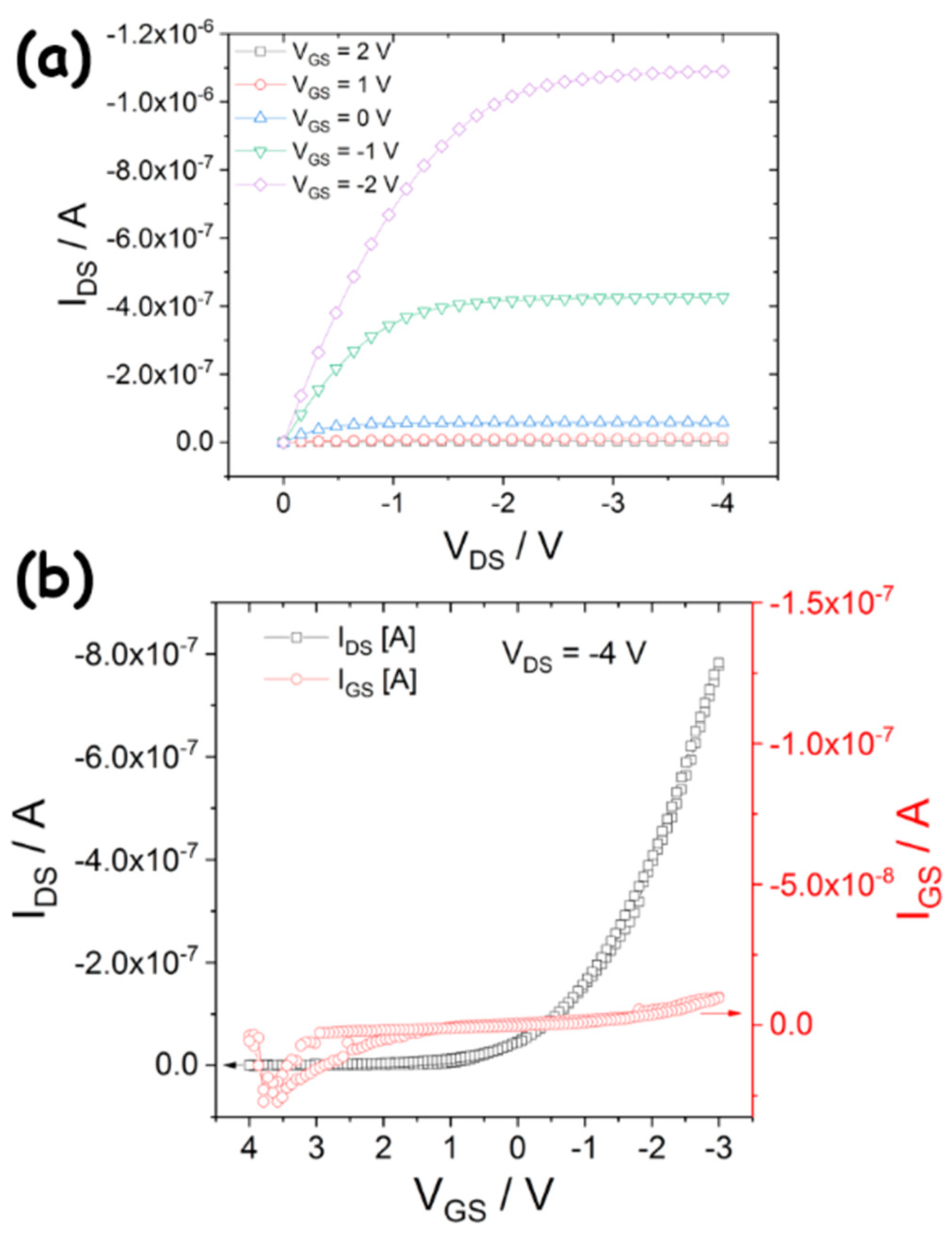
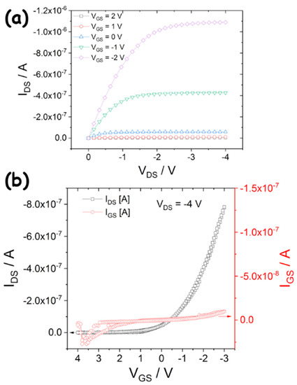
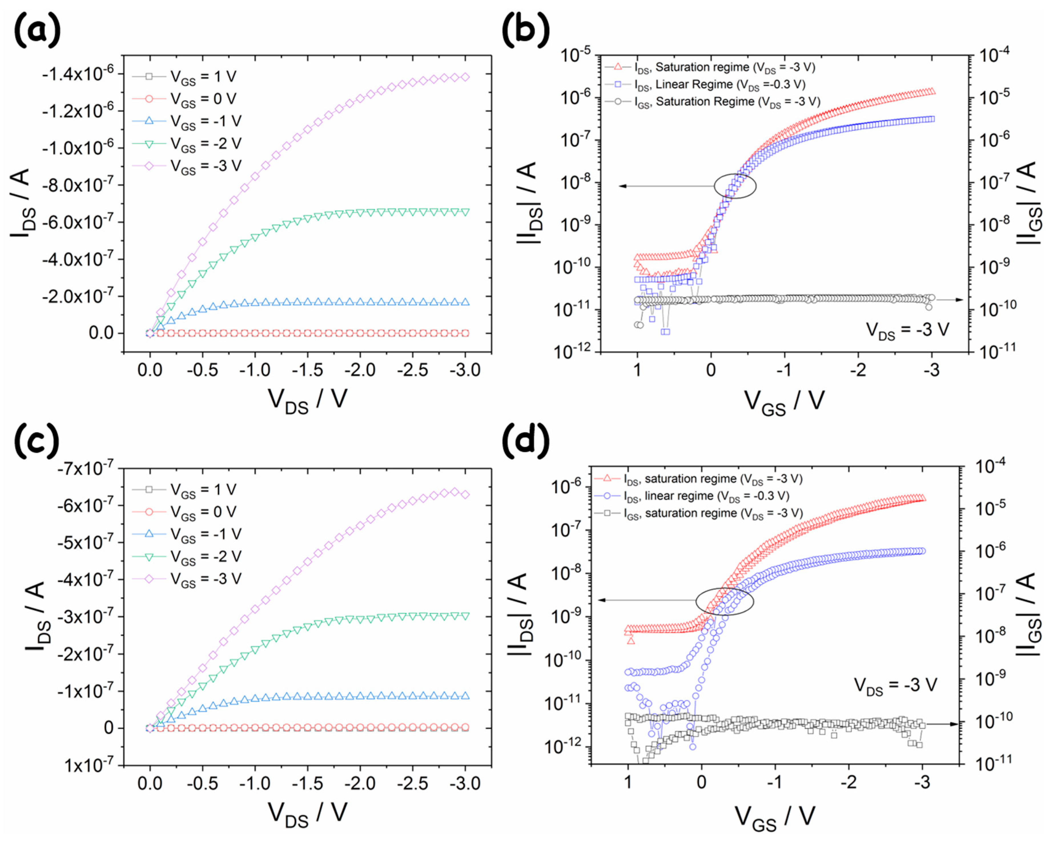
3.1. Electrical Characterization
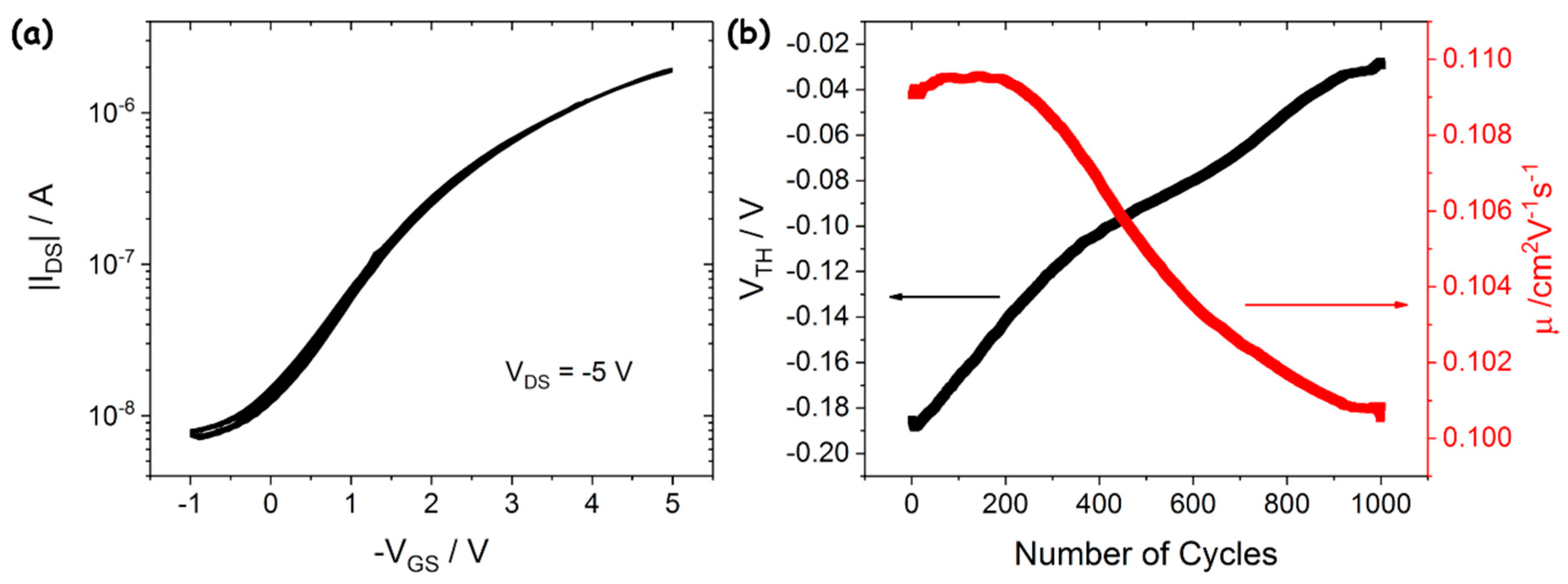
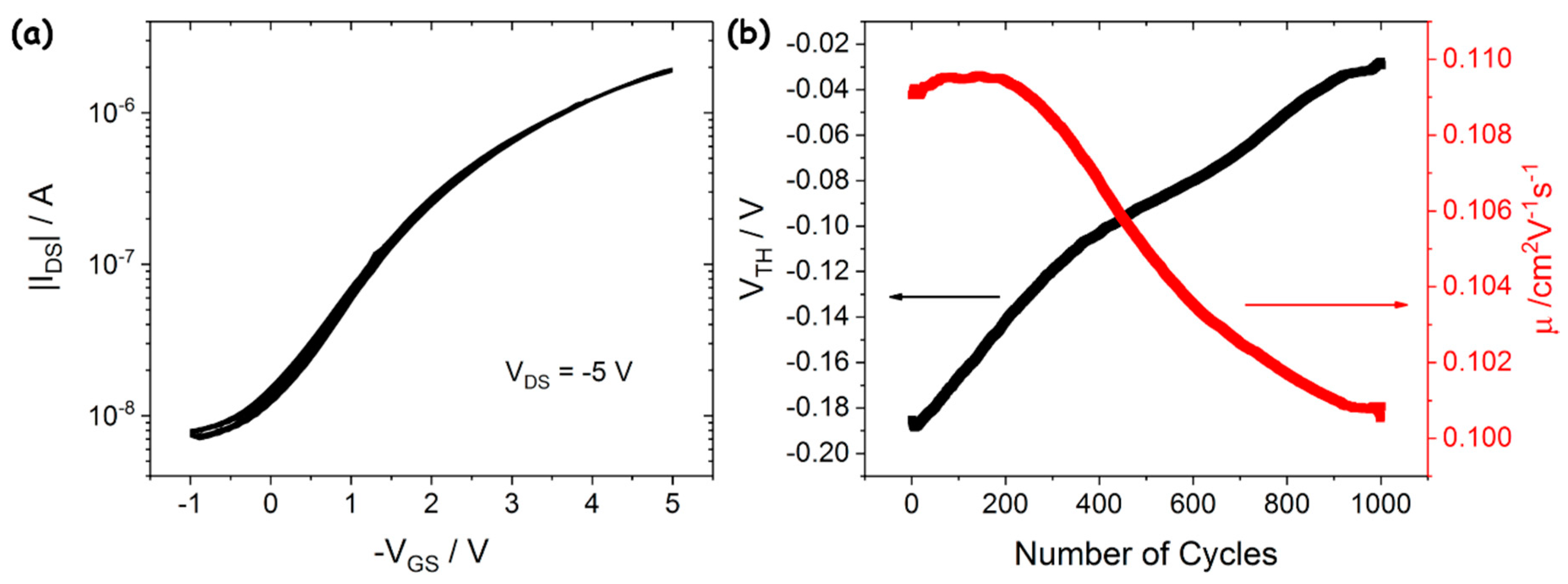
3.2. Electrical Stability
3.3. Electromechanical Characterization
3.4. Optical Characterization
3.5. Proof-Of-Concept Application to Transparent Tattoo Electronics
4. Conclusions
Supplementary Materials
Author Contributions
Funding
Conflicts of Interest
References
- Park, D.-W.; Schendel, A.A.; Mikael, S.; Brodnick, S.K.; Richner, T.J.; Ness, J.P.; Hayat, M.R.; Atry, F.; Frye, S.T.; Pashaie, R.; et al. Graphene-based carbon-layered electrode array technology for neural imaging and optogenetic applications. Nat. Commun. 2014, 5, 5258. [Google Scholar] [CrossRef] [PubMed]
- Williamson, A.; Ferro, M.; Leleux, P.; Ismailova, E.; Kaszas, A.; Doublet, T.; Quilichini, P.; Rivnay, J.; Rózsa, B.; Katona, G.; et al. Localized neuron stimulation with organic electrochemical transistors on delaminating depth probes. Adv. Mater. 2015, 27, 4405–4410. [Google Scholar] [CrossRef] [PubMed]
- Lee, W.; Kim, D.; Matsuhisa, N.; Nagase, M.; Sekino, M.; Malliaras, G.G.; Yokota, T.; Someya, T. Transparent, conformable, active multielectrode array using organic electrochemical transistors. Proc. Natl. Acad. Sci. USA 2017, 114, 10554–10559. [Google Scholar] [CrossRef] [PubMed]
- Gentner, R.; Classen, J. Development and evaluation of a low-cost sensor glove for assessment of human finger movements in neurophysiological settings. J. Neurosci. Methods 2009, 178, 138–147. [Google Scholar] [CrossRef]
- Fuh, Y.-K.; Ho, H.-C. Highly flexible self-powered sensors based on printed circuit board technology for human motion detection and gesture recognition. Nanotechnology 2016, 27, 095401. [Google Scholar] [CrossRef]
- DeGraff, J.; Liang, R.; Le, M.Q.; Capsal, J.-F.; Ganet, F.; Cottinet, P.-J. Printable low-cost and flexible carbon nanotube buckypaper motion sensors. Mater. Des. 2017, 133, 47–53. [Google Scholar] [CrossRef]
- Lai, S.; Garufi, A.; Madeddu, F.; Angius, G.; Bonfiglio, A.; Cosseddu, P. A Wearable Platform for Monitoring Wrist Flexion and Extension in Biomedical Applications Using Organic Transistor-Based Strain Sensors. IEEE Sens. J. 2019, 19, 6020–6028. [Google Scholar] [CrossRef]
- Huang, X.; Liu, Y.; Cheng, H.; Shin, W.; Fan, J.A.; Liu, Z.; Lu, C.; Kong, G.; Chen, K.; Patnaik, D.; et al. Materials and designs for wireless epidermal sensors of hydration and strain. Adv. Funct. Mater. 2014, 24, 3846–3854. [Google Scholar] [CrossRef]
- Kim, J.; Salvatore, G.A.; Araki, H.; Chiarelli, A.M.; Xie, Z.; Banks, A.; Sheng, X.; Liu, Y.; Lee, J.W.; Jang, K.-I.; et al. Battery-free, stretchable optoelectronic systems for wireless optical characterization of the skin. Sci. Adv. 2016, 2, e1600418. [Google Scholar] [CrossRef]
- Park, D.Y.; Joe, D.J.; Kim, D.H.; Park, H.; Han, J.H.; Jeong, C.K.; Park, H.; Park, J.G.; Joung, B.; Lee, K.J. Self-powered real-time arterial pulse monitoring using ultrathin epidermal piezoelectric sensors. Adv. Mater. 2017, 29, 1702308. [Google Scholar] [CrossRef]
- Lai, S.; Zucca, A.; Cosseddu, P.; Greco, F.; Mattoli, V.; Bonfiglio, A. Ultra-conformable Organic Field-Effect Transistors and circuits for epidermal electronic applications. Org. Electron. 2017, 46, 60–67. [Google Scholar] [CrossRef]
- Lai, S.; Casula, G.; Cosseddu, P.; Basiricò, L.; Ciavatti, A.; D’Annunzio, F.; Loussert, C.; Fischer, V.; Fraboni, B.; Barbaro, M.; et al. A plastic electronic circuit based on low voltage, organic thin-film transistors for monitoring the X-Ray checking history of luggage in airports. Org. Electron. 2018, 58, 263–269. [Google Scholar] [CrossRef]
- Tokito, S. Flexible Printed Organic Thin-Film Transistor Devices and Integrated Circuit Applications. In Proceedings of the 2018 International Flexible Electronics Technology Conference (IFETC), Ottawa, ON, Canada, 7–9 August 2018; pp. 1–2. [Google Scholar] [CrossRef]
- Raiteri, D.; Torricelli, F.; van Lieshout, P.; van Roermund, A.H.M.; Cantatore, E. A synchronous rail-to-rail latched comparator based on double-gate organic thin-film-transistors. In Proceedings of the 2012 ESSCIRC (ESSCIRC), Bordeaux, France, 17–21 September 2012; pp. 141–144. [Google Scholar] [CrossRef]
- Elkington, D.; Cooling, N.; Belcher, W.; Dastoor, P.C.; Zhou, X. Organic thin-film transistor (OTFT)-based sensors. Electronics 2014, 3, 234–254. [Google Scholar] [CrossRef]
- Li, H.; Shi, W.; Song, J.; Jang, H.-J.; Dailey, J.; Yu, J.; Katz, H.E. Chemical and biomolecule sensing with organic field-effect transistors. Chem. Rev. 2019, 119, 3–35. [Google Scholar] [CrossRef]
- Khan, H.U.; Roberts, M.E.; Johnson, O.; Förch, R.; Knoll, W.; Bao, Z. In Situ, Label-Free DNA Detection Using Organic Transistor Sensors. Adv. Mater. 2010, 22, 4452–4456. [Google Scholar] [CrossRef]
- Marszalek, T.; Kucinska, M.; Tszydel, I.; Gravalidis, C.; Kalfagiannis, N.; Logothetidis, S.; Yassar, A.; Miozzo, L.; Nosal, A.; Gazicki-Lipman, M.; et al. Transparent and air stable organic field effect transistors with ordered layers of dibenzo [d, d] thieno [3, 2-b; 4, 5-b′] dithiophene obtained from solution. Opt. Mater. 2012, 34, 1660–1663. [Google Scholar] [CrossRef]
- Su, S.-H.; Wu, C.-M.; Tsai, H.-L.; Yokoyama, M. Transparent organic thin film transistors using an oxide/metal/oxide trilayer as low-resistance transparent source/drain electrodes. Jpn. J. Appl. Phys. 2013, 52, 04CK09. [Google Scholar] [CrossRef]
- Qian, X.; Wang, T.; Yan, D. Transparent organic thin-film transistors based on high quality polycrystalline rubrene film as active layers. Org. Electron. 2013, 14, 1052–1056. [Google Scholar] [CrossRef]
- Zhang, N.; Lin, J.; Luo, J.; Li, Y.; Gan, Z.; Fan, Y.; Liu, X. N-channel transparent organic thin-film transistors with Ag/LiF bilayer transparent source–drain electrodes fabricated by thermal evaporation. Appl. Phys. Express 2014, 7, 021601. [Google Scholar] [CrossRef]
- Qi, Z.; Cao, J.; Li, H.; Ding, L.; Wang, J. Solution-Processed Ultrathin Organic Semiconductor Film: Toward All-Transparent Highly Stable Transistors. Adv. Electron. Mater. 2015, 1, 1500173. [Google Scholar] [CrossRef]
- Moon, H.; Kim, M.; Cho, H.; Takimiya, K.; Yoo, S. Highly transparent thin-film transistors using wide-bandgap organic semiconductors and multilayer transparent electrodes. J. Inf. Disp. 2014, 15, 59–63. [Google Scholar] [CrossRef][Green Version]
- Park, H.; Yoo, S.; Won, J.C.; Kim, Y.H. Room-temperature, printed, low-voltage, flexibleorganic field-effect transistors using solublepolyimide gate dielectrics. APL Mater. 2020, 8, 011112. [Google Scholar] [CrossRef]
- Huang, J.; Zhu, H.; Chen, Y.; Preston, C.; Rohrbach, K.; Cumings, J.; Hu, L. Highly transparent and flexible nanopaper transistors. ACS Nano 2013, 7, 2106–2113. [Google Scholar] [CrossRef] [PubMed]
- Zhang, Y.; Mei, Z.; Huo, W.; Wang, T.; Liang, H.; Du, X. Self-aligned photolithography for the fabrication of flexible transparent high-voltage thin film transistors, diodes and inverters. Microelectron. Eng. 2018, 199, 92–95. [Google Scholar] [CrossRef]
- Zhao, P.; Tang, Q.; Zhao, X.; Tong, Y.; Liu, Y. Highly stable and flexible transparent conductive polymer electrode patterns for large-scale organic transistors. J. Colloid Interface Sci. 2018, 520, 58–63. [Google Scholar] [CrossRef]
- Cui, N.; Ren, H.; Tang, Q.; Zhao, X.; Tong, Y.; Hu, W.; Liu, Y. Fully transparent conformal organic thin-film transistor array and its application as LED front driving. Nanoscale 2018, 10, 3613–3620. [Google Scholar] [CrossRef]
- Yadav, S.; Subhasis, G. Amorphous strontium titanate film as gate dielectric for higher performance and low voltage operation of transparent and flexible organic field effect transistor. ACS Appl. Mater. Interfaces 2016, 8, 10436–10442. [Google Scholar] [CrossRef]
- Dai, S.; Chu, Y.; Liu, D.; Cao, F.; Wu, X.; Zhou, J.; Zhou, B.; Chen, Y.; Huang, J. Intrinsically ionic conductive cellulose nanopapers applied as all solid dielectrics for low voltage organic transistors. Nat. Commun. 2018, 9, 2737. [Google Scholar] [CrossRef]
- Wang, B.; Huang, W.; Chi, L.; Al-Hashimi, M.; Marks, T.J.; Facchetti, A. High-k Gate Dielectrics for Emerging Flexible and Stretchable Electronics. Chem. Rev. 2018, 118, 5690–5754. [Google Scholar] [CrossRef]
- Stucchi, E.; Dell’Erba, G.; Colpani, P.; Kim, Y.-H.; Caironi, M. Low-Voltage, Printed, All-Polymer Integrated Circuits Employing a Low-Leakage and High-Yield Polymer Dielectric. Adv. Electron. Mater. 2018, 4, 1800340. [Google Scholar] [CrossRef]
- Park, D.H.; Park, H.W.; Chung, J.W.; Nam, K.; Choi, S.; Chung, Y.S.; Hwang, H.; Kim, B.; Kim, D.H. Highly Stretchable, High-Mobility, Free-Standing All-Organic Transistors Modulated by Solid-State Elastomer Electrolytes. Adv. Funct. Mater. 2019, 29, 1808909. [Google Scholar] [CrossRef]
- Kwon, J.; Takeda, Y.; Fukuda, K.; Cho, K.; Tokito, S.; Jung, S. Vertically Stacked Complementary Organic Field-Effect Transistors and Logic Circuits Fabricated by Inkjet Printing. Adv. Electron. Mater. 2016, 2, 1600046. [Google Scholar] [CrossRef]
- Lai, S.; Cosseddu, P.; Zucca, A.; Loi, A.; Bonfiglio, A. Combining inkjet printing and chemical vapor deposition for fabricating low voltage, organic field-effect transistors on flexible substrates. Thin Solid Films 2017, 631, 124–131. [Google Scholar] [CrossRef]
- Polsen, E.S.; McNerny, D.Q.; Viswanath, B.; Pattinson, S.W.; Hart, A.J. High-speed roll-to-roll manufacturing of graphene using a concentric tube CVD reactor. Sci. Rep. 2015, 5, 10257. [Google Scholar] [CrossRef] [PubMed]
- Park, S.K.; Mourey, D.A.; Han, J.I.; Anthony, J.E.; Jackson, T.N. Environmental and operational stability of solution-processed 6,13-bis (triisopropyl-silylethynyl) pentacene thin film transistors. Org. Electron. 2009, 10, 486–490. [Google Scholar] [CrossRef]
- Park, S.K.; Jackson, T.N.; Anthony, J.E.; Mourey, D.A. High mobility solution processed 6, 13-bis (triisopropyl-silylethynyl) pentacene organic thin film transistors. Appl. Phys. Lett. 2007, 91, 063514. [Google Scholar] [CrossRef]
- Rolland, A.; Richard, J.; Kleider, J.P.; Mencaraglia, D. Electrical properties of amorphous silicon transistors and MIS-devices: Comparative study of top nitride and bottom nitride configurations. J. Electrochem. Soc. 1993, 140, 3679–3683. [Google Scholar] [CrossRef]
- Cosseddu, P.; Milita, S.; Bonfiglio, A. Strain sensitivity and transport properties in organic field-effect transistors. IEEE Electron Device Lett. 2012, 33, 113–115. [Google Scholar] [CrossRef]
- Lai, S.; Temiño, I.; Cramer, T.; del Pozo, F.G.; Fraboni, B.; Cosseddu, P.; Bonfiglio, A.; Mas-Torrent, M. Morphology Influence on the Mechanical Stress Response in Bendable Organic Field-Effect Transistors with Solution-Processed Semiconductors. Adv. Electron. Mater. 2017, 4, 1700271. [Google Scholar] [CrossRef]
- Niu, M.; Zheng, F.; Yang, X.; Bi, P.; Feng, L.; Hao, X. Molecular packing correlated fluorescence in TIPS-pentacene films. Org. Electron. 2017, 49, 340–346. [Google Scholar] [CrossRef]
- Kadri, D.A.; Karim, D.A.; Seck, M.; Diouma, K.; Pasquinelli, M. Optimization of 6, 13Bis (triisopropylsilylethynyl) pentacene (TIPS-Pentacene) Organic Field Effect Transistor: Annealing Temperature and Solvent Effects. Mater. Sci. App. 2018, 9, 900–912. [Google Scholar] [CrossRef]
- Kazim, S.; Ramos, F.J.; Gao, P.; Nazeeruddin, M.K.; Grätzelc, M.; Ahmad, S. A dopant free linear acene derivative as a hole transport material for perovskite pigmented solar cells. Energy Environ. Sci. 2015, 8, 1816–1823. [Google Scholar] [CrossRef]






| Substrate | Threshold Voltage [V] | Charge Carrier Mobility [cm2V−1s−1] | Leakage Current [A] | Subthreshold Slope [Vdec−1] |
|---|---|---|---|---|
| 175 μm-thick PET | −0.1 ± 0.2 | 0.25 ± 0.08 | (1.2 ± 0.08) × 10−12 | 0.13 ± 0.03 |
| 700 nm-thick Parylene C | 0.0 ± 0.1 | 0.13 ± 0.04 | (1.0 ± 0.8) × 10−12 | 0.28 ± 0.03 |
© 2020 by the authors. Licensee MDPI, Basel, Switzerland. This article is an open access article distributed under the terms and conditions of the Creative Commons Attribution (CC BY) license (http://creativecommons.org/licenses/by/4.0/).
Share and Cite
Lai, S.; Casula, G.; Ricci, P.C.; Cosseddu, P.; Bonfiglio, A. All-Organic, Low Voltage, Transparent and Compliant Organic Field-Effect Transistor Fabricated by Means of Large-Area, Cost-Effective Techniques. Appl. Sci. 2020, 10, 6656. https://doi.org/10.3390/app10196656
Lai S, Casula G, Ricci PC, Cosseddu P, Bonfiglio A. All-Organic, Low Voltage, Transparent and Compliant Organic Field-Effect Transistor Fabricated by Means of Large-Area, Cost-Effective Techniques. Applied Sciences. 2020; 10(19):6656. https://doi.org/10.3390/app10196656
Chicago/Turabian StyleLai, Stefano, Giulia Casula, Pier Carlo Ricci, Piero Cosseddu, and Annalisa Bonfiglio. 2020. "All-Organic, Low Voltage, Transparent and Compliant Organic Field-Effect Transistor Fabricated by Means of Large-Area, Cost-Effective Techniques" Applied Sciences 10, no. 19: 6656. https://doi.org/10.3390/app10196656
APA StyleLai, S., Casula, G., Ricci, P. C., Cosseddu, P., & Bonfiglio, A. (2020). All-Organic, Low Voltage, Transparent and Compliant Organic Field-Effect Transistor Fabricated by Means of Large-Area, Cost-Effective Techniques. Applied Sciences, 10(19), 6656. https://doi.org/10.3390/app10196656

