Assessment of Earthquake Destructive Power to Structures Based on Machine Learning Methods
Abstract
1. Introduction
2. Analysis Procedure of the Proposed Method
- Establish the nonlinear finite element model of a structure, and perform nonlinear THA of the structure subjected for a large number of ground motion records. The structural response data (e.g., maximum displacement and acceleration), together with ground motion data, are collected as a training sample.
- Process the training sample data according to the machine learning method adopted. For example, extract feature parameters from ground motion records or adjust the ground motion records to identical lengths.
- Feed the machine learning model with the processed sample data and obtain the well-tuned machine learning model.
- Apply the well-tuned machine learning model and assess the destructive power of a new ground motion record by predicting the EDP, such as the maximum displacement of a structure.
3. Sample Preparation
4. Backpropagation Neural Network
4.1. Feature Extractions
- Ground motion data truncation. Find the time point of the peak acceleration in a ground motion record, and truncate a 20 s signal with 10 s in both forward and backward. When the signals are less than 10 s in the front or back of the peak acceleration time point, the 20 s signal range should be shifted backward or forward to ensure that the peak acceleration is close to the center of the truncated signal.
- STFT analysis. Considering that the selection of window size will affect the resolution of the STFT spectrum, the rectangular window length of 5 s and step length of 5 s are selected for the STFT analysis. Therefore, four frequency spectra of the 20 s truncated signal will be obtained.
- Feature extraction. In this study, the natural vibration period of the adopted SDOF system is 0.5 s (Table 2). Considering that the period of the structure will be prolonged after entering the plastic state, the frequency range of interest is selected as 0.3–2.3 Hz. The interested frequency range of an STFT spectrum is divided into 10 frequency bands, and the corresponding spectral value of each frequency band is adopted as a feature value. Therefore, the feature extraction of four 5 s-windows yields 40 STFT spectral feature values.
- Dimension setting of features. Considering that the number of feature values will affect the learning effect of the BPNN, two different dimensions of the feature are discussed in this study. One is to directly take the 40 STFT spectral values obtained in step (3). The other is to compute the maximum value of feature values in the same frequency range of four windows, which yields 10 feature values.
4.2. BPNN Architecture
4.3. Results of the BPNN
5. Convolutional Neural Network
5.1. CNN Architecture
5.2. Results of CNN
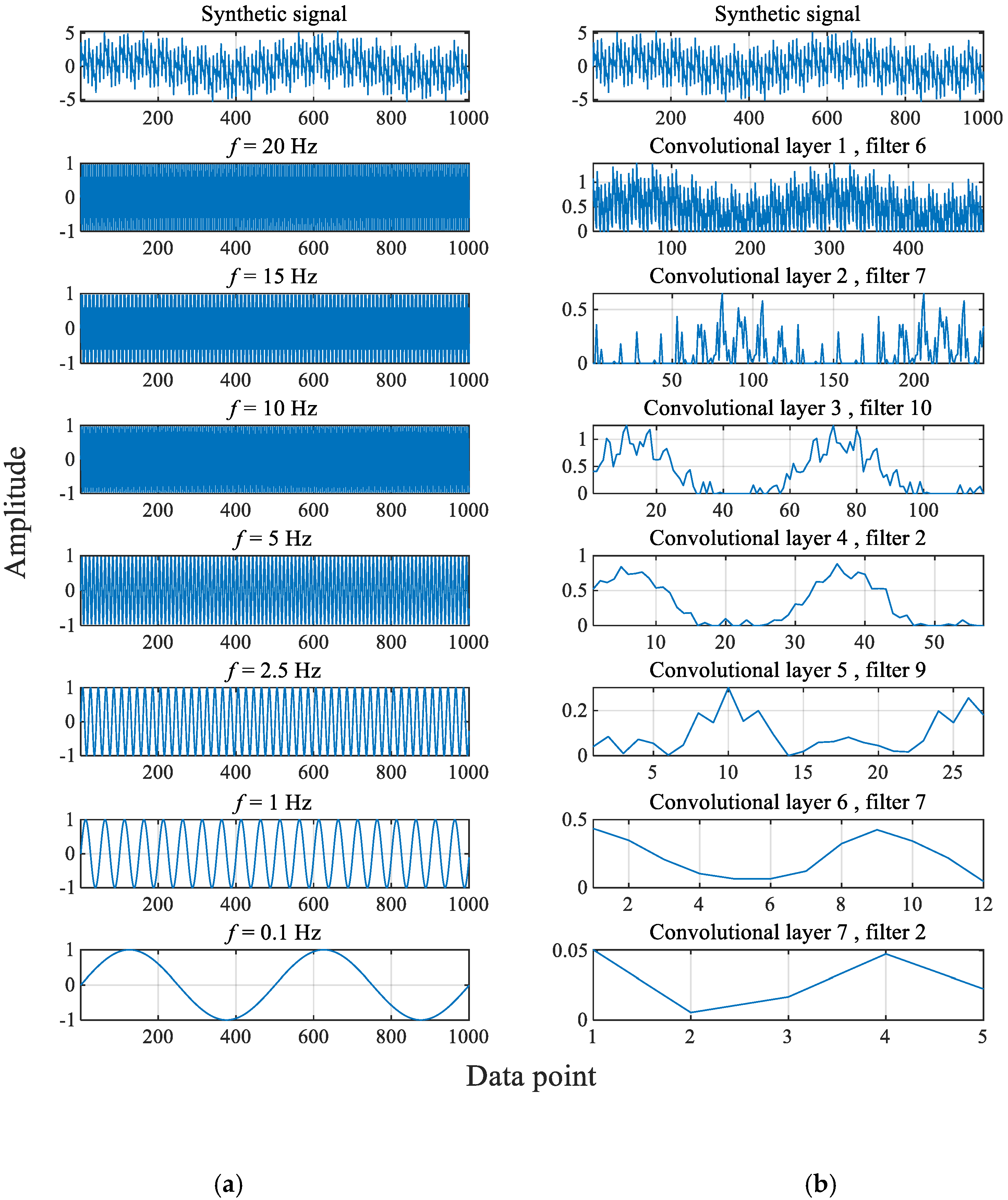
5.3. Feature Visualization of the CNN
6. Conclusions
- For the feature extraction of ground motion time-history data, STFT can well reflect the frequency-/time-domain features of ground motions. The prediction using STFT as feature extractor yield higher accuracy (R2 = 0.6784) than that using FFT (R2 = 0.4277).
- The selection of the number of layers and nodes of the BPNN is related to the features. In this study, in the case of 40 features as input, the optimal model is the BPNN with two hidden layers and three nodes in each layer. For the case of 10 features as input, the optimal model is the BPNN with two hidden layers and four nodes in each layer.
- The model based on the CNN exhibits better prediction accuracy (R2 = 0.8737) than the BPNN model (R2 = 0.6784). This is because the convolution layer of the CNN can identify the frequency-/time-domain information of a signal, and avoid the bias caused by artificial feature extraction in the meantime. The advantage of the CNN is magnified for its deep network architecture and multiple filters in each layer.
- Feature visualization of convolutional layers reveals that the shallow convolutional layers of the CNN model mainly extract the high-frequency features of a signal, while the deep convolutional layers primarily extract the low-frequency features of a signal. In addition, the features extracted by the CNN model can reflect the time-domain features of a signal.
- The CNN model exhibits remarkable computational efficiency compared with THA-based method. For example, using a laptop platform (i5-4210H, 8G of RAM, GTX 960M), the prediction of 1000 structures using the CNN model takes 0.762 s, which is over 650 times faster than that using the THA-based method (507.81 s). The high computational efficiency of the CNN-based seismic response prediction makes it promising for use in the timely assessment of regional structures.
Author Contributions
Funding
Conflicts of Interest
References
- Ye, L.; Lu, X.; Li, Y. Design objectives and collapse prevention for building structures in mega-earthquake. Earthq. Eng. Eng. Vib. 2010, 9, 189–199. [Google Scholar] [CrossRef]
- Gordon, P.; Richardson, H.W.; Davis, B. Transport-related impacts of the Northridge earthquake. J. Transp. Stat. 1998, 1, 21–36. [Google Scholar]
- Applied Technology Council (ATC). ATC-40: The Seismic Evaluation and Retrofit of Concrete Buildings; Applied Technology Council: Redwood, CA, USA, 1996. [Google Scholar]
- Federal Emergency Management Agency (FEMA). Multi-Hazard Loss Estimation Methodology Earthquake Model. HAZUS-MH 2.1 Technical Manual; Federal Emergency Management Agency: Washington, DC, USA, 2012.
- Lin, Y.; Chang, K.; Wang, Y. Comparison of displacement coefficient method and capacity spectrum method with experimental results of RC columns. Earthq. Eng. Struct. Dyn. 2003, 33, 35–48. [Google Scholar] [CrossRef]
- Tantala, M.W.; Nordenson, G.J.P.; Deodatis, G.; Jacob, K. Earthquake loss estimation for the New York City metropolitan region. Soil Dyn. Earthq. Eng. 2008, 28, 812–835. [Google Scholar] [CrossRef]
- Xiong, C.; Lu, X.; Guan, H.; Xu, Z. A nonlinear computational model for regional seismic simulation of tall buildings. Bull. Earthq. Eng. 2016, 14, 1047–1069. [Google Scholar] [CrossRef]
- Xiong, C.; Deng, X.; Liang, Y.; Li, Q.; Huang, J.; Lin, X.; Li, D. Regional seismic damage simulation of corroded RC frame structures: A case study of Shenzhen city. Appl. Sci. 2020, 10, 4818. [Google Scholar] [CrossRef]
- Xiong, C.; Huang, J.; Lu, X. Framework for city-scale building seismic resilience simulation and repair scheduling with labor constraints driven by time–history analysis. Comput. Aided Civ. Infrastruct. Eng. 2020, 35, 322–341. [Google Scholar] [CrossRef]
- Lu, X.; Mckenna, F.; Cheng, Q.; Xu, Z.; Mahin, S.A. An open-source framework for regional earthquake loss estimation using the city-scale nonlinear time history analysis. Earthq. Spectra 2020, 36, 806–831. [Google Scholar] [CrossRef]
- Xiong, C.; Lu, X.; Huang, J.; Guan, H. Multi-LOD seismic-damage simulation of urban buildings and case study in Beijing CBD. Bull. Earthq. Eng. 2019, 17, 2037–2057. [Google Scholar] [CrossRef]
- Lu, X.; Lu, X.; Guan, H.; Ye, L. Collapse simulation of reinforced concrete high-rise building induced by extreme earthquakes. Earthq. Eng. Struct. Dyn. 2013, 42, 705–723. [Google Scholar] [CrossRef]
- Krizhevsky, A.; Sutskever, I.; Hinton, G.E. ImageNet classification with deep convolutional neural networks. Commun. ACM 2017, 60, 84–90. [Google Scholar] [CrossRef]
- LeCun, Y.; Bengio, Y.; Hinton, G. Deep learning. Nature 2015, 521, 436–444. [Google Scholar] [CrossRef] [PubMed]
- Dankovičová, Z.; Sovák, D.; Drotár, P.; Vokorokos, L. Machine learning approach to dysphonia detection. Appl. Sci. 2018, 8, 1927. [Google Scholar] [CrossRef]
- Lee, J.; Park, J.; Kim, K.L.; Nam, J. SampleCNN: End-to-end deep convolutional neural networks using very small filters for music classification. Appl. Sci. 2018, 8, 150. [Google Scholar] [CrossRef]
- Xu, Z.; Wu, Y.; Qi, M.Z.; Zheng, M.; Lu, X. Prediction of structural type for city-scale seismic damage simulation based on machine learning. Appl. Sci. 2020, 10, 1795. [Google Scholar] [CrossRef]
- Mangalathu, S.; Heo, G.; Jeon, J.S. Artificial neural network based multi-dimensional fragility development of skewed concrete bridge classes. Eng. Struct. 2018, 162, 166–176. [Google Scholar] [CrossRef]
- Nguyen, H.; Moayedi, H.; Foong, L.K.; Al Najjar, H.A.H.; Jusoh, W.A.W.; Rashid, A.S.A.; Jamali, J. Optimizing ANN models with PSO for predicting short building seismic response. Eng. Comput. 2019, 36, 823–837. [Google Scholar] [CrossRef]
- Zhang, R.; Liu, Y.; Sun, H. Physics-guided convolutional neural network (PhyCNN) for data-driven seismic response modeling. Eng. Struct. 2020, 215, 110704:1–110704:13. [Google Scholar] [CrossRef]
- Kiani, J.; Camp, C.; Pezeshk, S. On the application of machine learning techniques to derive seismic fragility curves. Comput. Struct. 2018, 218, 108–122. [Google Scholar] [CrossRef]
- Xiong, C.; Li, Q.; Lu, X. Automated regional seismic damage assessment of buildings using an unmanned aerial vehicle and a convolutional neural network. Autom. Constr. 2020, 109, 102994:1–102994:14. [Google Scholar] [CrossRef]
- Mangalathu, S.; Sun, H.; Nweke, C.C.; Yi, Z.; Burton, H.V. Classifying earthquake damage to buildings using machine learning. Earthq. Spectra 2020, 36, 183–208. [Google Scholar] [CrossRef]
- Mangalathu, S.; Hwang, S.; Choi, E.; Jeon, J. Rapid seismic damage evaluation of bridge portfolios using machine learning techniques. Eng. Struct. 2019, 201, 109785:1–109785:12. [Google Scholar] [CrossRef]
- Zhang, R.; Chen, Z.; Chen, S.; Zheng, J.; Buyukozturk, O.; Sun, H. Deep long short-term memory networks for nonlinear structural seismic response prediction. Comput. Struct. 2019, 220, 55–68. [Google Scholar] [CrossRef]
- Hochreiter, S.; Schmidhuber, J. Long short-term memory. Neural Comput. 1997, 9, 1735–1780. [Google Scholar] [CrossRef] [PubMed]
- Zhang, Y.; Wang, C.; Gong, L.; Lu, Y.; Zhou, X. A Power-Efficient Accelerator Based on FPGAs for LSTM Network. In Proceedings of the IEEE International Conference on Cluster Computing 2017, Honolulu, HI, USA, 5–8 August 2017. [Google Scholar]
- Rumelhart, D.E.; Hinton, G.E.; Williams, R.J. Learning representations by back-propagating errors. Nature 1986, 323, 533–536. [Google Scholar] [CrossRef]
- Federal Emergency Management Agency (FEMA). NEHRP Guidelines for the Seismic Rehabilitation of Buildings: FEMA 273; Federal Emergency Management Agency (FEMA): Washington, DC, USA, 1997.
- Applied Technology Council (ATC). Earthquake Damage Evaluation Data for California. ATC-13 Report; Applied Technology Council: Redwood, CA, USA, 1985. [Google Scholar]
- Hiroshi, K.; Masaomi, T.; Norihide, K.; Hiroshi, I. Conversion of multi-story building into equivalent SDOF system and its predictability for earthquake response. J. Struct. Constr. Eng. 2001, 66, 79–85. (In Japanese) [Google Scholar] [CrossRef][Green Version]
- Irie, T.; Mazda, T.; Sumaya, A.D. Application of an estimation method for response of structures by equilibrium energies. In Proceedings of the 12th World Conference on Earthquake Engineering (WCEE 2000), Auckland, New Zealand, 30 January–4 February 2000. [Google Scholar]
- PEER Center. PEER Ground Motion Database; PEER NGA-West2 Database 2013/03; Pacific Earthquake Engineering Research Center Headquarters at the University of California: Berkeley, CA, USA, 2013. [Google Scholar]
- Ng, A. The Deeplearning.ai Blog/BOOKS/Machine Learning Yearning. Available online: https://www.deepLearning.ai/machine-learning-yearing (accessed on 7 August 2020).
- Funahashi, K. On the approximate realization of continuous mappings by neural networks. Neural Netw. 1989, 2, 183–192. [Google Scholar] [CrossRef]
- Setti, S.; Rao, R. Artificial neural network approach for prediction of stress–strain curve of near β titanium alloy. Rare Met. 2014, 33, 249–257. [Google Scholar] [CrossRef]
- Corinthios, M.J. A fast fourier transform for high-speed signal processing. IEEE Trans. Comput. 1971, C-20, 843–846. [Google Scholar] [CrossRef]
- Fessler, J.A.; Sutton, B.P. Nonuniform fast Fourier transforms using min-max interpolation. IEEE Trans. Signal Proc. 2003, 51, 560–574. [Google Scholar] [CrossRef]
- Enochson, L.D.; Piersol, A.G. Application of fast Fourier transform procedures to shock and vibration data analysis. In Proceedings of the Aeronautic and Space Engineering Manufacturing Meeting, Los Angeles, CA, USA, 2–6 October 1967. [Google Scholar]
- Cooley, J.W.; Lewis, P.A.W.; Welch, P.D. The fast Fourier transform and its applications. IEEE Trans. Educ. 1969, 12, 27–34. [Google Scholar] [CrossRef]
- Petrellis, N. Undersampling in orthogonal frequency division multiplexing telecommunication systems. Appl. Sci. 2014, 4, 79–98. [Google Scholar] [CrossRef]
- Ho, T.-J.; Chung, M.-J. Information-aided smart schemes for vehicle flow detection enhancements of traffic microwave radar detectors. Appl. Sci. 2016, 6, 196. [Google Scholar] [CrossRef]
- Xu, P.; Xiao, C.; Li, J. Research on relationship between natural vibration periods and structural heights for high-rise buildings and its reference range in China. Int. J. High Rise Build. 2014, 3, 49–64. [Google Scholar] [CrossRef]
- Gu, Y.H.; Bollen, M.H.J. Time-frequency and time-scale domain analysis of voltage disturbances. IEEE Trans. Power Deliv. 2000, 15, 1279–1284. [Google Scholar] [CrossRef]
- Atiya, A.; Ji, C. How initial conditions affect generalization performance in large networks. IEEE Trans. Neural Netw. 1997, 8, 448–451. [Google Scholar] [CrossRef]
- Drucker, H.; Le Cun, Y. Improving generalization performance using double backpropagation. IEEE Trans. Neural Netw. 1992, 3, 991–997. [Google Scholar] [CrossRef]
- Nair, V.; Hinton, G.E. Rectified linear units improve restricted boltzmann machines. In Proceedings of the 27th International Conference on Machine Learning, Haifa, Israel, 21–24 June 2010; pp. 807–814. [Google Scholar]
- Williams, P. Bayesian regularization and pruning using a Laplace prior. Neural Comput. 1995, 7, 117–143. [Google Scholar] [CrossRef]
- Masood, S.; Doja, M.N.; Chandra, P. Analysis of weight initialization methods for gradient descent with momentum. In Proceedings of the 2015 International Conference on Soft Computing Techniques and Implementations(ICSCTI), Faridabad, India, 8–10 October 2015; pp. 131–136. [Google Scholar]
- Yao, Y.; Rosasco, L.; Caponnetto, A. On early stopping in gradient descent learning. Constr. Approx. 2007, 26, 289–315. [Google Scholar] [CrossRef]
- Sujadevi, V.G.; Soman, K.P.; Vinayakumar, R.; Sankar, A.U.P. Anomaly detection in phonocardiogram employing deep learning. Comput. Intell. Data Min. 2019, 711, 525–534. [Google Scholar] [CrossRef]
- Raza, A.; Mehmood, A.; Ullah, S.; Ahmad, M.; Choi, G.S.; On, B.-W. Heartbeat Sound Signal Classification Using Deep Learning. Sensors 2019, 19, 4819. [Google Scholar] [CrossRef] [PubMed]
- LeCun, Y.; Bottou, L.; Bengio, Y.; Haffner, P. Gradient-based learning applied to document recognition. Proc. IEEE. 1998, 86, 2278–2324. [Google Scholar] [CrossRef]
- Simonyan, K.; Zisserman, A. Very deep convolutional networks for large-scale image recognition. In Proceedings of the International Conference on Learning Representations 2015 (ICLR 2015), San Diego, CA, USA, 7–9 May 2015. [Google Scholar]
- Kingma, D.P.; Ba, J.L. Adam: A method for stochastic optimisation. arXiv 2014, arXiv:1412.6980. [Google Scholar]
- Federal Emergency Management Agency (FEMA). Seismic Performance Assessment of Buildings Volume 1—Methodology; Technical Report FEMA-P58; Federal Emergency Management Agency: Washington, DC, USA, 2012.
















| Literatures | Simulation Outputs | Problem Type | Computational Workload | Machine Learning Methods |
|---|---|---|---|---|
| Mangalathu et al. [23,24] | Structural damage states | Classification | Light | Discriminant analysis, k-nearest neighbors, decision trees, random forests |
| Zhang et al. [25] | Structural time-history response | Time series prediction | Moderate | LSTM network |
| This study | EDP | Value prediction | Light | BPNN, CNN |
| Natural Period (s) | Damping Ratio | Yield Strength to Weight Ratio | Peak to Yield Strength Ratio | Secondary Stiffness Ratio | Hysteretic Parameter |
|---|---|---|---|---|---|
| 0.5 | 0.05 | 0.097 | 2.61 | 0.25 | 0.4 |
| Feature Extraction Method | MAE | MSE | RMSE | R2 |
|---|---|---|---|---|
| STFT | 0.1499 | 0.0813 | 0.2852 | 0.6784 |
| FFT | 0.2436 | 0.0938 | 0.3063 | 0.4277 |
| MAE | MSE | RMSE | R2 |
|---|---|---|---|
| 0.0883 | 0.0263 | 0.1621 | 0.8737 |
© 2020 by the authors. Licensee MDPI, Basel, Switzerland. This article is an open access article distributed under the terms and conditions of the Creative Commons Attribution (CC BY) license (http://creativecommons.org/licenses/by/4.0/).
Share and Cite
Zheng, R.; Xiong, C.; Deng, X.; Li, Q.; Li, Y. Assessment of Earthquake Destructive Power to Structures Based on Machine Learning Methods. Appl. Sci. 2020, 10, 6210. https://doi.org/10.3390/app10186210
Zheng R, Xiong C, Deng X, Li Q, Li Y. Assessment of Earthquake Destructive Power to Structures Based on Machine Learning Methods. Applied Sciences. 2020; 10(18):6210. https://doi.org/10.3390/app10186210
Chicago/Turabian StyleZheng, Ruihao, Chen Xiong, Xiangbin Deng, Qiangsheng Li, and Yi Li. 2020. "Assessment of Earthquake Destructive Power to Structures Based on Machine Learning Methods" Applied Sciences 10, no. 18: 6210. https://doi.org/10.3390/app10186210
APA StyleZheng, R., Xiong, C., Deng, X., Li, Q., & Li, Y. (2020). Assessment of Earthquake Destructive Power to Structures Based on Machine Learning Methods. Applied Sciences, 10(18), 6210. https://doi.org/10.3390/app10186210

