Overtaking Collisions of Ion Acoustic N-Shocks in a Collisionless Plasma with Pair-Ion and (α,q) Distribution Function for Electrons
Abstract
1. Introduction
2. Theoretical Model Equations under Plasma Assumption
3. Mathematical Formulation
3.1. Formation of a Nonlinear Evolution Equation
3.2. N-Shock Wave Solutions
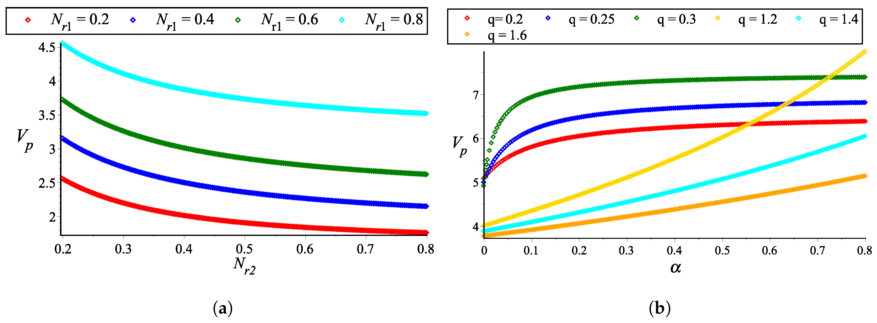
4. Results and Discussion
5. Concluding Remarks
Author Contributions
Funding
Acknowledgments
Conflicts of Interest
References
- Intrator, T.; Hershkowitz, N. Beam-plasma interactions in a positive ionnegative ion plasma. Phys. Fluids 1983, 26, 1942. [Google Scholar] [CrossRef]
- Sato, N. Production of negative ion plasmas in a Q machine. Plasma Sources Sci. Technol. 1994, 3, 395. [Google Scholar] [CrossRef]
- Song, B.; DAngelo, N.; Merlino, R.L. Ion acoustic waves in a plasma with negative ions. Phys. Fluids B 1991, 3, 284–287. [Google Scholar] [CrossRef]
- Takeuchi, T.; Iizuka, S.; Sato, N. Ion acoustic shocks formed in a collisionless plasma with negative ions. Phys. Rev. Lett. 1998, 88, 77–80. [Google Scholar] [CrossRef]
- Bacal, M.; Hamilton, G.W. H and D production in plasmas. Phys. Rev. Lett. 1979, 42, 1538–1540. [Google Scholar] [CrossRef]
- Boufendi, L.; Bouchoule, A. Industrial developments of scientific insights in dusty plasmas. Plasma Sources Sci. Technol. 2002, 11, A211–A218. [Google Scholar] [CrossRef]
- Ichiki, R.; Yoshimura, S.; Watanabe, T.; Nakamura, Y.; Kawai, Y. Experimental observation of dominant propagation of the ionacoustic slow mode in a negative ion plasma and its application. Phys. Plasmas 2002, 9, 4481–4487. [Google Scholar] [CrossRef]
- Weingarten, A.; Arad, R.; Maron, Y.; Fruchtman, A. Ion separation due to magnetic field penetration into a multispecies plasma. Phys. Rev. Lett. 2001, 87, 115004. [Google Scholar] [CrossRef]
- Von Goeler, S.; Ohe, T.; D’Angelo, N. Production of a thermally ionized plasma with negative ions. J. Appl. Phys. 1966, 37, 2519–2520. [Google Scholar] [CrossRef]
- Coates, A.J.; Crary, F.J.; Lewis, G.R.; Young, D.T.; Waite, J.H.; Sittler, E.C., Jr. Discovery of heavy negative ions in Titan’s ionosphere. Geophys. Res. Lett. 2007, 34, 22103. [Google Scholar] [CrossRef]
- Taylor, R.J.; Baker, D.R.; Ikezi, H. Observation of collisionless electrostatic shocks. Phys. Rev. Lett. 1970, 24, 206–209. [Google Scholar] [CrossRef]
- Wong, A.Y.; Mamas, D.L.; Amush, D. Negative ion plasmas. Phys. Fluids 1975, 18, 1489–1493. [Google Scholar] [CrossRef]
- Song, B.; D’Angelo, N.; Merlino, R.L. Electrostatic ion cyclotron waves in a plasma with negative ions. Phys. Fluids B 1989, 1, 2316–2318. [Google Scholar] [CrossRef]
- Amemiya, H.; Annaratone, B.M.; Allen, J.E. The collection of positive ions by spherical and cylindrical probes in an electronegative plasma. Plasma Sources Sci. Technol. 1999, 8, 179. [Google Scholar] [CrossRef]
- Franklin, N. Electronegative plasmas—Why are they so different? Plasma Sources Sci. Technol. 2002, 11, A31. [Google Scholar] [CrossRef]
- Oohara, W.; Hatakeyama, R. Pair-Ion Plasma Generation using Fullerenes. Phys. Rev. Lett. 2003, 91, 205005. [Google Scholar] [CrossRef]
- Cooney, L.; Aossey, D.W.; Williams, J.E.; Gavin, M.T.; Kim, H.S.; Hsu, Y.-C.; Scheller, A.; Lonngren, K.E. Observations on negative ion plasmas. Plasma Sources Sci. Technol. 1993, 2, 015002. [Google Scholar] [CrossRef]
- Andersen, H.K.; D’Angelo, N.; Michelsen, P.; Nielsen, P. Investigation of Landau-Damping Effects on Shock Formation. Phys. Rev. Lett. 1967, 19, 149. [Google Scholar] [CrossRef]
- Hafez, M.G.; Talukder, M.R.; Sakthivel, R. Ion acoustic solitary waves in plasmas with nonextensive distributed electrons, positrons and relativistic thermal ions. Indian J. Phys. 2016, 90, 603–611. [Google Scholar] [CrossRef]
- Hafez, M.G.; Talukder, M.R.; Ali, M.H. Ion acoustic shock and solitary waves in highly relativistic plasmas with nonextensive electrons and positrons. Phys. Plasmas 2016, 23, 012902. [Google Scholar] [CrossRef]
- Hafez, M.G.; Roy, N.C.; Talukder, M.R.; Ali, M.H. Oblique propagation of ion acoustic shock waves in weakly and highly relativistic plasmas with nonthermal electrons and positrons. Astrophys. Space Sci. 2016, 361, 312. [Google Scholar] [CrossRef]
- Hafez, M.G.; Roy, N.C.; Talukder, M.R.; Ali, M.H. Ion acoustic shock and periodic waves through Burgers equation in weakly and highly relativistic plasmas with nonextensivity. Plasma Sci. Technol. 2017, 19, 015002. [Google Scholar] [CrossRef][Green Version]
- Hafez, M.G. Nonlinear Schamel Korteweg-De Vries–Burgers Equation to Report Ion-Acoustic Waves in the Relativistic Plasmas. IEEE Trans. Plasma Sci. 2019, 47, 5314–5323. [Google Scholar] [CrossRef]
- Hafez, M.G. Nonlinear ion acoustic solitary waves with dynamical behaviours in the relativistic plasmas. Astrophys. Space Sci. 2020, 365, 78. [Google Scholar] [CrossRef]
- Tribeche, M.; Amour, R.; Shukla, P.K. Ion acoustic solitary waves in a plasma with nonthermal electrons featuring Tsallis distribution. Phys. Rev. E 2012, 85, 037401. [Google Scholar] [CrossRef] [PubMed]
- Yu, M.Y.; Luo, H. A note on the multispecies model for identical particles. Phys. Plasmas 2008, 15, 024504. [Google Scholar] [CrossRef]
- Tsallis, C. Some comments on Boltzmann-Gibbs statistical mechanics. Chaos Solitons Fractals 1995, 6, 539. [Google Scholar] [CrossRef]
- Cairns, R.A.; Mamun, A.A.; Bingham, R.; Dendy, R.O.; Bostrom, R.; Nairn, C.M.C.; Shukla, P.K. Electrostatic solitary structures in non-thermal plasmas. Geophys. Res. Lett. 1995, 22, 2709. [Google Scholar] [CrossRef]
- Elwakil, S.A.; El-Shewy, E.K.; Abdelwahed, H.G. Envelope ion-acoustic solitary waves in a plasma with positive-negative ions and nonthermal electrons. Phys. Plasmas 2010, 17, 052301. [Google Scholar] [CrossRef]
- Alam, M.S.; Talukder, M.R. Head-on Collision of Ion-Acoustic Shock and Solitary Waves in Collisionless Plasma with Pair Ions and Electrons. Braz. J. Phys. 2019, 49, 198. [Google Scholar] [CrossRef]
- Dieckmann, M.E.; Sarri, G.; Doria, D.; Ahmed, H.; Borghesi, M. Evolution of slow electrostatic shock into a plasma shock mediated by electrostatic turbulence. New J. Phys. 2014, 16, 073001. [Google Scholar] [CrossRef]
- Luo, Q.-Z.; D’Angelo, N.; Merlino, R.L. Shock formation in a negative ion plasma. Phys. Plasmas 1998, 5, 2868. [Google Scholar] [CrossRef]
- Luo, Q.-Z.; D’Angelo, N.; Merlino, R.L. Experimental study of shock formation in a dusty plasma. Phys. Rev. Lett. 1999, 6, 3455–3458. [Google Scholar] [CrossRef]
- Adak, A.; Sikdar, A.; Ghosh, S.; Khan, M. Magnetosonic shock wave in collisional pair-ion plasma. Phys. Plasmas 2016, 23, 062124. [Google Scholar] [CrossRef]
- Adak, A.; Ghosh, S.; Chakrabarti, N. Ion acoustic shock wave in collisional equal mass plasma. Phys. Plasmas 2015, 22, 102307. [Google Scholar] [CrossRef]
- Hafez, M.G. Face to Face Collisions of Ion Acoustic Multi-Solitons and Phase Shifts in a Dense Plasma. Braz. J. Phys. 2019, 49, 221–231. [Google Scholar] [CrossRef]
- El-Shamya, E.F.; Mahmoud, M. Overtaking Collisions of Electrostatic N-Soliton in Electron–Hole Quantum Plasmas. Plasma Phys. Rep. 2020, 46, 41–49. [Google Scholar] [CrossRef]
- Hussain, S.; Akhtar, N.; Mahmood, S. Propagation of ion acoustic shock waves in negative ion plasmas with nonextensive electrons. Phys. Plasmas 2013, 20, 092303. [Google Scholar] [CrossRef]
- Mamun, A.A. On stretching of plasma parameters and related open issues for the study of dust-ion-acoustic and dust-acoustic shock waves in dusty plasmas. Phys. Plasmas 2019, 26, 084501. [Google Scholar] [CrossRef]
- Vanek, V.; Marshall, T.C. Ion-acoustic collisionless shocks in a Q-machine. Plasma Phys. 1972, 14, 925. [Google Scholar] [CrossRef]
- Sato, N.; Sugai, H.; Hatakeyama, R. Spatial Evolution of Velocity-Modulated Ion Beams in a Plasma. Phys. Rev. Lett. 1975, 34, 931. [Google Scholar] [CrossRef]
- Whitham, G.B. Linear and Nonlinear Waves; John Wiley and Sons Inc.: Hoboken, NJ, USA, 1999. [Google Scholar]
- Wang, S.; Tang, X.; Lou, S.Y. Soliton fission and fusion: Burgers equation and Sharma–Tasso–Olver equation. Chaos Solitons Fractals 2004, 21, 231. [Google Scholar] [CrossRef]
- Büyükasik, S.A.; Pashaev, O.K. Exact solutions of forced Burgers equations with time variable coefficients. Commun. Nonlinear Sci. Numer. Simul. 2013, 18, 1635–1651. [Google Scholar] [CrossRef]











© 2020 by the authors. Licensee MDPI, Basel, Switzerland. This article is an open access article distributed under the terms and conditions of the Creative Commons Attribution (CC BY) license (http://creativecommons.org/licenses/by/4.0/).
Share and Cite
Hafez, M.G.; Akter, P.; Ariffin Abdul Karim, S. Overtaking Collisions of Ion Acoustic N-Shocks in a Collisionless Plasma with Pair-Ion and (α,q) Distribution Function for Electrons. Appl. Sci. 2020, 10, 6115. https://doi.org/10.3390/app10176115
Hafez MG, Akter P, Ariffin Abdul Karim S. Overtaking Collisions of Ion Acoustic N-Shocks in a Collisionless Plasma with Pair-Ion and (α,q) Distribution Function for Electrons. Applied Sciences. 2020; 10(17):6115. https://doi.org/10.3390/app10176115
Chicago/Turabian StyleHafez, Md. Golam, Parvin Akter, and Samsul Ariffin Abdul Karim. 2020. "Overtaking Collisions of Ion Acoustic N-Shocks in a Collisionless Plasma with Pair-Ion and (α,q) Distribution Function for Electrons" Applied Sciences 10, no. 17: 6115. https://doi.org/10.3390/app10176115
APA StyleHafez, M. G., Akter, P., & Ariffin Abdul Karim, S. (2020). Overtaking Collisions of Ion Acoustic N-Shocks in a Collisionless Plasma with Pair-Ion and (α,q) Distribution Function for Electrons. Applied Sciences, 10(17), 6115. https://doi.org/10.3390/app10176115

