Magnetically Separable Chiral Periodic Mesoporous Organosilica Nanoparticles
Abstract
1. Introduction
2. Materials and Methods
2.1. General Information
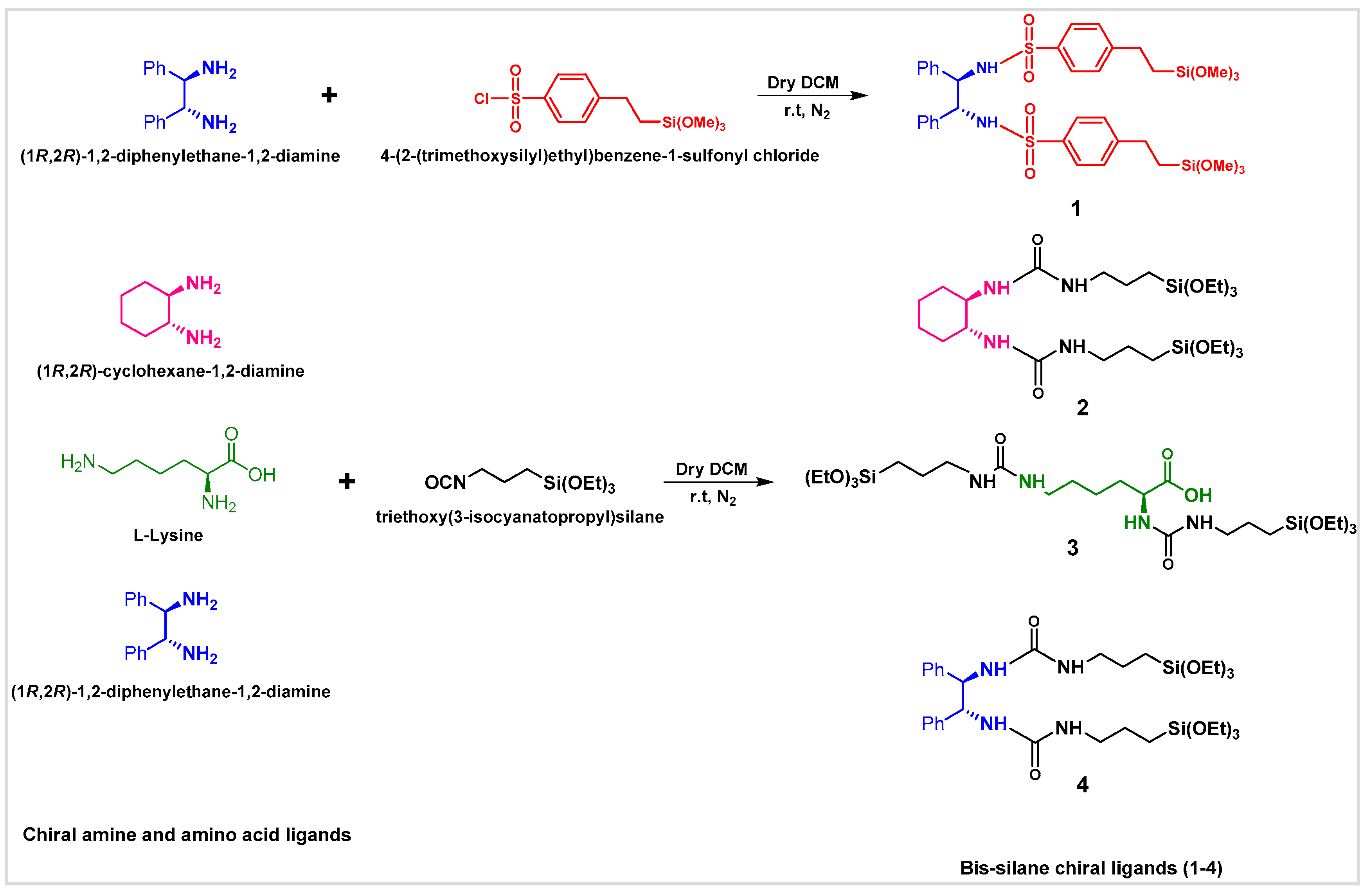
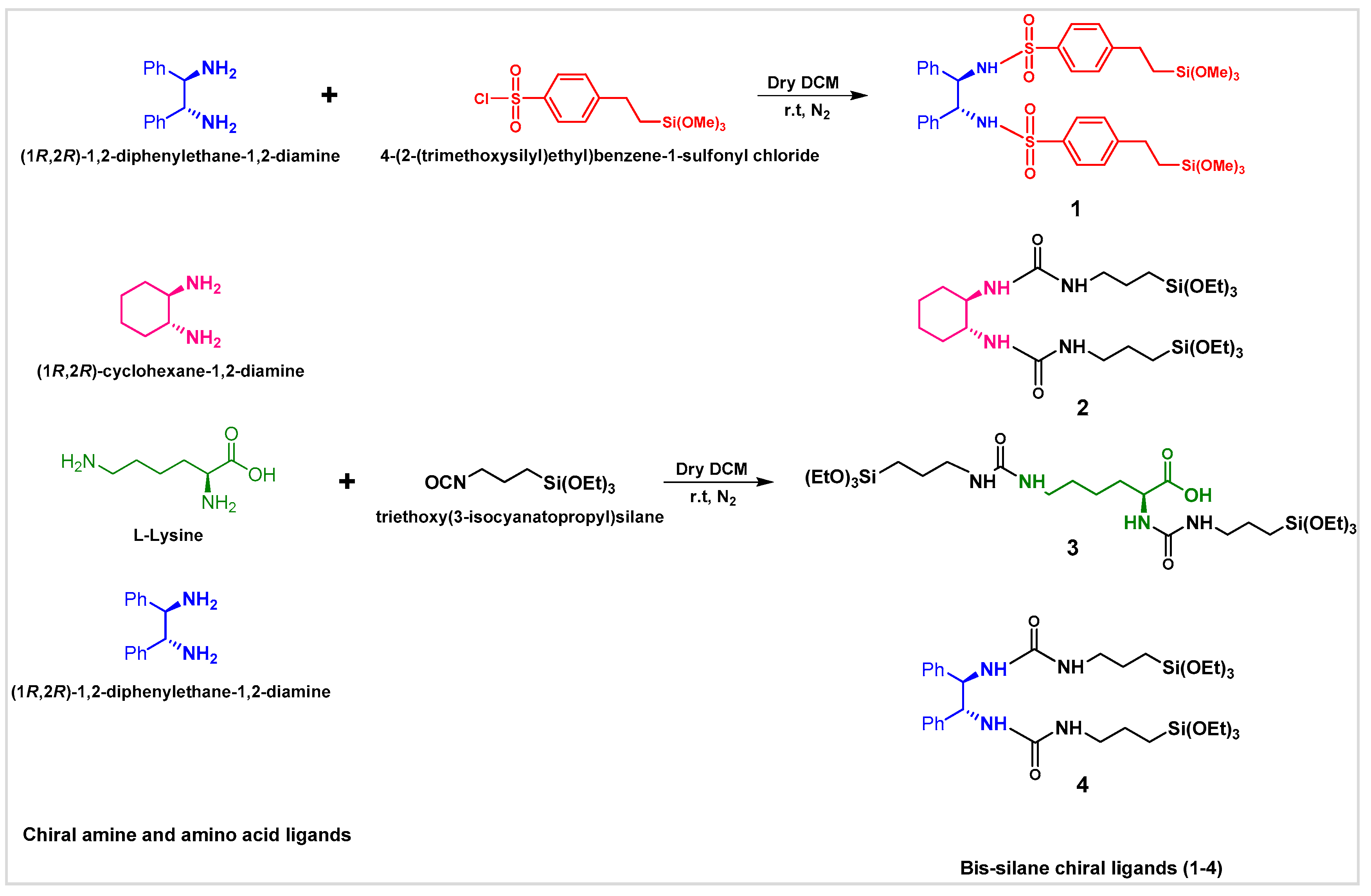
2.2. Preparation of the Chiral Bridged-Organosilane Ligand (1) [Arakawa et al., 2008]
2.3. Preparation of the Chiral Bridged-Organosilane Ligand (2) [Arakawa et al., 2008]
2.4. Preparation of the Chiral Bridged-Organosilane Ligand (3) [Arakawa et al., 2008]
2.5. Preparation of the Chiral Bridged-Organosilane Ligand (4) [Arakawa et al., 2008]
2.6. Preparation of the Chiral PMO Nanoparticles (Chiral PMO NPs)
2.7. Preparation of Hydrophobic Magnetite Nanoparticles Coated with Oleic Acid (MNP-OA)
2.8. Preparation of the Magnetic Chiral PMO Nanoparticles (Magnetic Chiral PMO NPs)
3. Results and Discussion
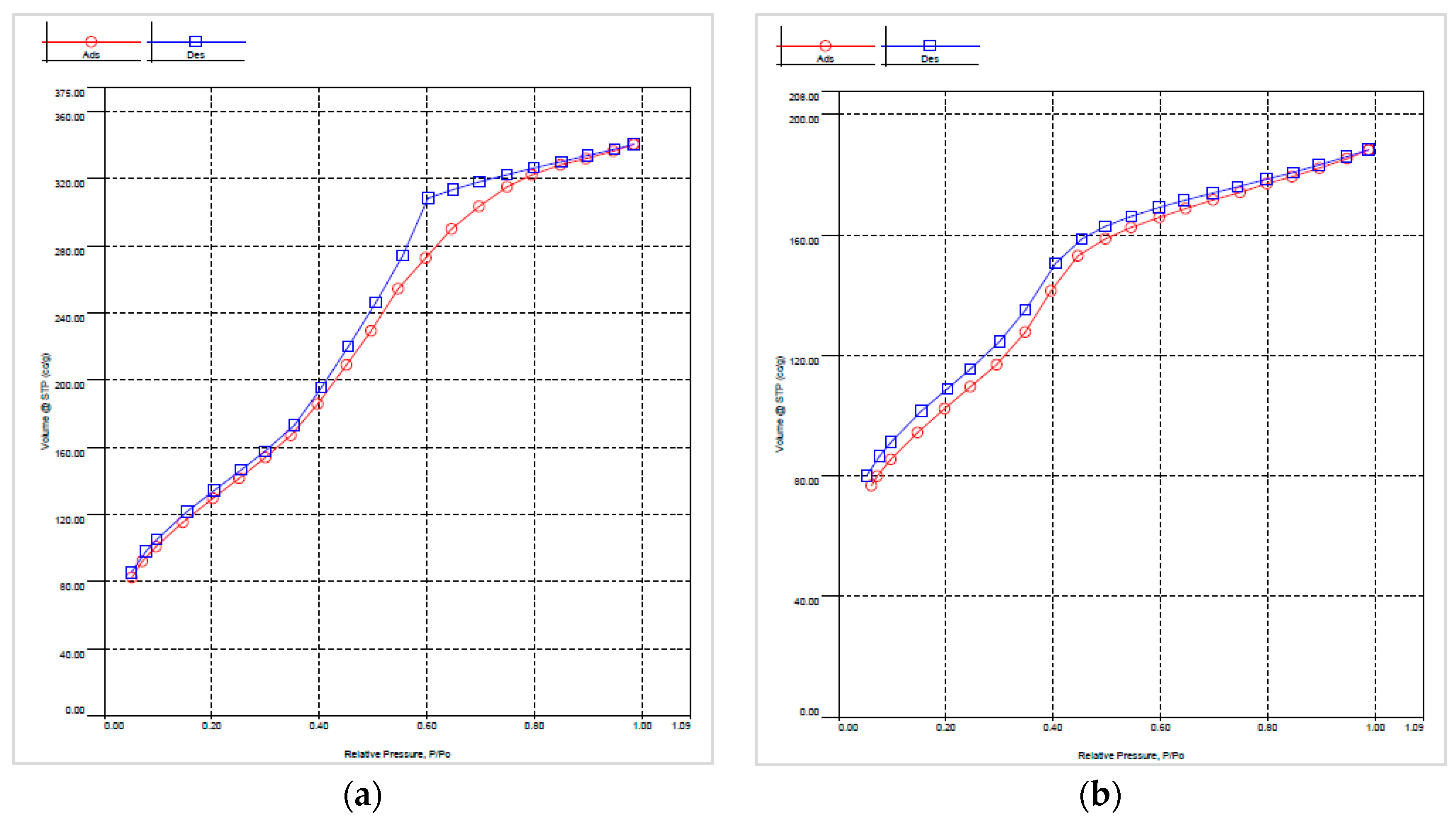
3.1. Preparation and Characterization of Chiral PMO NPs
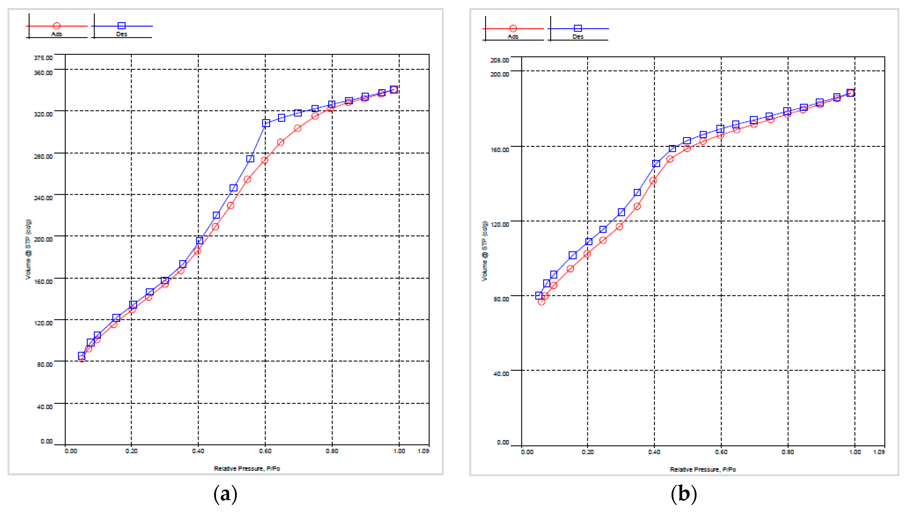
3.2. Preparation and Characterization of Magnetic Chiral PMO NPs
4. Conclusions
Author Contributions
Funding
Acknowledgments
Conflicts of Interest
References
- Gruttadauria, M.; Giacalone, F. (Eds.) Catalytic Methods in Asymmetric Synthesis; John Wiley and Sons: Hoboken, NJ, USA, 2011. [Google Scholar]
- Subramanian, G. (Ed.) Chiral Separation Techniques: A Practical Approach; Wiley-VCH: Weinheim, Germany, 2001. [Google Scholar]
- Sheldon, R.A. Chirotechnology: Designing economic chiral syntheses. J. Chem. Technol. Biotechnol. 1996, 67, 1–14. [Google Scholar] [CrossRef]
- Wang, Y.; Xu, J.; Wang, Y.; Chen, H. Emerging chirality in nanoscience. Chem. Soc. Rev. 2013, 42, 2930–2962. [Google Scholar] [CrossRef] [PubMed]
- Song, C.; Liu, X.; Liu, D.; Ren, C.; Yang, W.; Deng, J. Optically Active Particles of Chiral Polymers. Macromol. Rapid Commun. 2013, 34, 1426–1445. [Google Scholar] [CrossRef] [PubMed]
- Yoon, M.; Srirambalaji, R.; Kim, K. Homochiral Metal-Organic Frameworks for Asymmetric Heterogeneous Catalysis. Chem. Rev. 2012, 112, 1196–1231. [Google Scholar] [CrossRef]
- Paik, P.; Mastai, Y.; Kityk, I.; Rakus, P.; Gedanken, A. Synthesis of amino acid block-copolymer imprinted chiral mesoporous silica and its acoustically-induced optical Kerr effects. J. Solid State Chem. 2012, 192, 127–131. [Google Scholar] [CrossRef]
- Paik, P.; Gedanken, A.; Mastai, Y. Chiral-mesoporous-polypyrrole nanoparticles: Its chiral recognition abilities and use in enantioselective separation. J. Mater. Chem. 2010, 20, 4085–4093. [Google Scholar] [CrossRef]
- Morris, R.E.; Bu, X. Induction of chiral porous solids containing only achiral building blocks. Nat. Chem. 2010, 2, 353–361. [Google Scholar] [CrossRef]
- Raval, R. Chiral expression from molecular assemblies at metal surfaces: Insights from surface science techniques. Chem. Soc. Rev. 2009, 38, 707–721. [Google Scholar] [CrossRef]
- Mastai, Y. Enantioselective crystallization on nanochiral surfaces. Chem. Soc. Rev. 2009, 38, 772–780. [Google Scholar] [CrossRef]
- Harris, K.D.M.; Thomas, S.J.M. Selected Thoughts on Chiral Crystals, Chiral Surfaces, and Asymmetric Heterogeneous Catalysis. ChemCatChem 2009, 1, 223–231. [Google Scholar] [CrossRef]
- Marx, S.; Avnir, D. The Induction of Chirality in Sol-Gel Materials. Acc. Chem. Res. 2007, 40, 768–776. [Google Scholar] [CrossRef] [PubMed]
- Jin, R.-H.; Yao, D.-D.; Levi, R. Biomimetic Synthesis of Shaped and Chiral Silica Entities Templated by Organic Objective Materials. Chem. Eur. J. 2014, 20, 7196–7214. [Google Scholar] [CrossRef] [PubMed]
- Garcia-Munoz, R.A.; Morales, V.; Linares, M.; Rico-Oller, B. Synthesis of Helical and Supplementary Chirally Doped PMO Materials. Suitable Catalysts for Asymmetric Synthesis. Langmuir 2014, 30, 881–890. [Google Scholar] [CrossRef] [PubMed]
- Matsukizono, H.; Jin, R.-H. High-Temperature-Resistant Chiral Silica Generated on Chiral Crystalline Templates at Neutral pH and Ambient Conditions. Angew. Chem. Int. Ed. 2012, 51, 5862–5865. [Google Scholar] [CrossRef]
- Qiu, H.; Che, S. Chiral mesoporous silica: Chiral construction and imprinting via cooperative self-assembly of amphiphiles and silica precursors. Chem. Soc. Rev. 2011, 40, 1259–1268. [Google Scholar] [CrossRef]
- Liu, X.; Zhuang, W.; Li, B.; Wu, L.; Wang, S.; Li, Y.; Yang, Y. Helical periodic mesoporous 1,4-phenylene-silica nanorods with chiral crystalline walls. Chem. Commun. 2011, 47, 7215–7217. [Google Scholar] [CrossRef]
- Han, L.; Chen, Q.; Wang, Y.; Gao, C.; Che, S. Synthesis of amino group functionalized monodispersed mesoporous silica nanospheres using anionic surfactant. Microporous Mesoporous Mater. 2011, 139, 94–103. [Google Scholar] [CrossRef]
- Kuschel, A.; Polarz, S. Effects of Primary and Secondary Surface Groups in Enantioselective Catalysis Using Nanoporous Materials with Chiral Walls. J. Am. Chem. Soc. 2010, 132, 6558–6565. [Google Scholar] [CrossRef]
- Wu, X.; Ji, S.; Li, Y.; Li, B.; Zhu, X.; Hanabusa, K.; Yang, Y. Helical Transfer through Nonlocal Interactions. J. Am. Chem. Soc. 2009, 131, 5986–5993. [Google Scholar] [CrossRef]
- Kuschel, A.; Sievers, H.; Polarz, S. Amino acid silica hybrid materials with mesoporous structure and enantiopure surfaces. Angew. Chem. Int. Ed. 2008, 47, 9513–9517. [Google Scholar] [CrossRef]
- Jin, H.; Qiu, H.; Sakamoto, Y.; Shu, P.; Terasaki, O.; Che, S. Mesoporous silicas by self-assembly of lipid molecules: Ribbon, hollow sphere, and chiral materials. Chem. Eur. J. 2008, 14, 6413–6420. [Google Scholar] [CrossRef] [PubMed]
- Chen, H.; He, J. Fine control over the morphology and structure of mesoporous silica nanomaterials by a dual-templating approach. Chem. Commun. 2008, 4422–4424. [Google Scholar] [CrossRef] [PubMed]
- Lin, G.-L.; Tsai, Y.-H.; Lin, H.-P.; Tang, C.-Y.; Lin, C.-Y. Synthesis of Mesoporous Silica Helical Fibers Using a Catanionic-Neutral Ternary Surfactant in a Highly Dilute Silica Solution: Biomimetic Silicification. Langmuir 2007, 23, 4115–4119. [Google Scholar] [CrossRef]
- Gabashvili, A.; Medina, D.D.; Gedanken, A.; Mastai, Y. Templating Mesoporous Silica with Chiral Block Copolymers and Its Application for Enantioselective Separation. J. Phys. Chem. B 2007, 111, 11105–11110. [Google Scholar] [CrossRef]
- Yang, Y.; Suzuki, M.; Owa, S.; Shirai, H.; Hanabusa, K. Preparation of helical nanostructures using chiral cationic surfactants. Chem. Commun. 2005, 4462–4464. [Google Scholar] [CrossRef] [PubMed]
- Ohsuna, T.; Liu, Z.; Che, S.; Terasaki, O. Characterization of chiral mesoporous materials by transmission electron microscopy. Small 2005, 1, 233–237. [Google Scholar] [CrossRef] [PubMed]
- Che, S.; Liu, Z.; Ohsuna, T.; Sakamoto, K.; Terasaki, O.; Tatsumi, T. Synthesis and characterization of chiral mesoporous silica. Nature 2004, 429, 281–284. [Google Scholar] [CrossRef]
- Kresge, C.T.; Leonowicz, M.E.; Roth, W.J.; Vartuli, J.C.; Beck, J.S. Ordered mesoporous molecular sieves synthesized by a liquid-crystal template mechanism. Nature 1992, 359, 710–712. [Google Scholar] [CrossRef]
- Asefa, T.; MacLachlan, M.J.; Coombs, N.; Ozin, G.A. Periodic mesoporous organosilicas with organic groups inside the channel walls. Nature 1999, 402, 867–871. [Google Scholar] [CrossRef]
- Inagaki, S.; Guan, S.; Fukushima, Y.; Ohsuna, T.; Terasaki, O. Novel Mesoporous Materials with a Uniform Distribution of Organic Groups and Inorganic Oxide in Their Frameworks. J. Am. Chem. Soc. 1999, 121, 9611–9614. [Google Scholar] [CrossRef]
- Melde, B.J.; Holland, B.T.; Blanford, C.F.; Stein, A. Mesoporous Sieves with Unified Hybrid Inorganic/Organic Frameworks. Chem. Mater. 1999, 11, 3302–3308. [Google Scholar] [CrossRef]
- Sayari, A.; Hamoudi, S.; Yang, Y.; Moudrakovski, I.L.; Ripmeester, J.R. New Insights into the Synthesis, Morphology, and Growth of Periodic Mesoporous Organosilicas. Chem. Mater. 2000, 12, 3857–3863. [Google Scholar] [CrossRef]
- Sharma, R.K.; Das, S.; Maitra, A. Surface modified ormosil nanoparticles. J. Colloid Interface Sci. 2004, 277, 342–346. [Google Scholar] [CrossRef] [PubMed]
- Hatton, B.; Landskron, K.; Whitnall, W.; Perovic, D.; Ozin, G.A. Past, Present, and Future of Periodic Mesoporous OrganosilicasThe PMOs. Acc. Chem. Res. 2005, 38, 305–312. [Google Scholar] [CrossRef] [PubMed]
- Qiao, S.Z.; Lin, C.X.; Jin, Y.; Li, Z.; Yan, Z.; Hao, Z.; Huang, Y.; Lu, G.Q. Surface-Functionalized Periodic Mesoporous Organosilica Hollow Spheres. J. Phys. Chem. C 2009, 113, 8673–8682. [Google Scholar] [CrossRef]
- Wang, W.; Lofgreen, J.E.; Ozin, G.A. Mesoporous materials: Why PMO? Towards Functionality and Utility of Periodic Mesoporous Organosilicas (Small 23/2010). Small 2010, 6, 2621. [Google Scholar] [CrossRef]
- Asefa, T.; Coombs, N.; Grondey, H.; Jaroniec, M.; Kruk, M.; MacLachlan, M.J.; Ozin, G.A. Bio-inspired nanocomposites: From synthesis toward potential applications. Mater. Res. Soc. Symp. Proc. 2002, 707, 93–104. [Google Scholar]
- Shea, K.J.; Loy, D.A. Bridged Polysilsesquioxanes. Molecular-Engineered Hybrid Organic−Inorganic Materials. Chem. Mater. 2001, 13, 3306–3319. [Google Scholar] [CrossRef]
- Descalzo, A.B.; Martínez-Máñez, R.; Sancenón, F.; Hoffmann, K.; Rurack, K. The Supramolecular Chemistry of Organic–Inorganic Hybrid Materials. Angew. Chem. Int. Ed. 2006, 45, 5924–5948. [Google Scholar] [CrossRef]
- Shylesh, S.; Samuel, P.; Sisodiya, S.; Singh, A.P. Periodic Mesoporous Silicas and Organosilicas: An Overview Towards Catalysis. Catal. Surv. Asia 2008, 12, 266–282. [Google Scholar] [CrossRef]
- Park, S.; Moorthy, M.; Ha, C.-S. Periodic mesoporous organosilica (PMO) for catalytic applications. Korean J. Chem. Eng. 2014, 31, 1707–1719. [Google Scholar] [CrossRef]
- Gao, J.; Zhang, X.; Xu, S.; Tan, F.; Li, X.; Zhang, Y.; Qu, Z.; Quan, X.; Liu, J. Clickable Periodic Mesoporous Organosilicas: Synthesis, Click Reactions, and Adsorption of Antibiotics. Chem. Eur. J. 2014, 20, 1957–1963. [Google Scholar] [CrossRef] [PubMed]
- Park, S.S.; Santha Moorthy, M.; Ha, C.-S. Periodic mesoporous organosilicas for advanced applications. NPG Asia Mater. 2014, 6, e96. [Google Scholar] [CrossRef]
- Hunks, W.J.; Ozin, G.A. Challenges and advances in the chemistry of periodic mesoporous organosilicas (PMOs). J. Mater. Chem. 2005, 15, 3716–3724. [Google Scholar] [CrossRef]
- Thomas, A. Functional Materials: From Hard to Soft Porous Frameworks. Angew. Chem. Int. Ed. 2010, 49, 8328–8344. [Google Scholar] [CrossRef]
- Waki, M.; Mizoshita, N.; Tani, T.; Inagaki, S. Periodic Mesoporous Organosilica Derivatives Bearing a High Density of Metal Complexes on Pore Surfaces. Angew. Chem. 2011, 123, 11871–11875. [Google Scholar] [CrossRef]
- Hoffmann, F.; Froba, M. Vitalising porous inorganic silica networks with organic functions-PMOs and related hybrid materials. Chem. Soc. Rev. 2011, 40, 608–620. [Google Scholar] [CrossRef]
- Kruk, M. Access to Ultralarge-Pore Ordered Mesoporous Materials through Selection of Surfactant/Swelling-Agent Micellar Templates. Acc. Chem. Res. 2012, 45, 1678–1687. [Google Scholar] [CrossRef]
- Guo, W.; Zhao, X.S. Room-temperature synthesis of hydrothermally stable aluminum-rich periodic mesoporous organosilicas with wormlike pore channels. Microporous Mesoporous Mater. 2005, 85, 32–38. [Google Scholar] [CrossRef]
- Fujita, S.; Inagaki, S. Self-Organization of Organosilica Solids with Molecular-Scale and Mesoscale Periodicities†. Chem. Mater. 2008, 20, 891–908. [Google Scholar] [CrossRef]
- Hoffmann, F.; Cornelius, M.; Morell, J.; Fröba, M. Silica-Based Mesoporous Organic–Inorganic Hybrid Materials. Angew. Chem. Int. Ed. 2006, 45, 3216–3251. [Google Scholar] [CrossRef] [PubMed]
- Melero, J.A.; van Grieken, R.; Morales, G. Advances in the Synthesis and Catalytic Applications of Organosulfonic-Functionalized Mesostructured Materials. Chem. Rev. 2006, 106, 3790–3812. [Google Scholar] [CrossRef] [PubMed]
- Van Der Voort, P.; Esquivel, D.; De Canck, E.; Goethals, F.; Van Driessche, I.; Romero-Salguero, F.J. Periodic Mesoporous Organosilicas: From simple to complex bridges; a comprehensive overview of functions, morphologies and applications. Chem. Soc. Rev. 2013, 42, 3913–3955. [Google Scholar] [CrossRef]
- Yang, Q.; Liu, J.; Zhang, L. Functionalized periodic mesoporous organosilicas: Hierarchical and chiral materials. Sci. China Chem. 2010, 53, 351–356. [Google Scholar] [CrossRef]
- Garcia, R.A.; Morales, V.; Garces, T. One-step synthesis of a thioester chiral PMO and its use as a catalyst in asymmetric oxidation reactions. J. Mater. Chem. 2012, 22, 2607–2615. [Google Scholar] [CrossRef]
- Hoffmann, F.; Cornelius, M.; Morell, J.; Fröba, M. Periodic Mesoporous Organosilicas (PMOs): Past, Present, and Future. J. Nanosci. Nanotechnol. 2006, 6, 265–288. [Google Scholar] [CrossRef]
- Jayalakshmi, V.; Wood, T.; Basu, R.; Du, J.; Blackburn, T.; Rosenblatt, C.; Crudden, C.M.; Lemieux, R.P. Probing the pore structure of a chiral periodic mesoporous organosilica using liquid crystals. J. Mater. Chem. 2012, 22, 15255–15261. [Google Scholar] [CrossRef]
- Meng, X.; Yokoi, T.; Lu, D.; Tatsumi, T. Synthesis and characterization of chiral periodic mesoporous organosilicas. Angew. Chem. Int. Ed. 2007, 46, 7796–7798. [Google Scholar] [CrossRef]
- Wu, X.; Blackburn, T.; Webb, J.D.; Garcia-Bennett, A.E.; Crudden, C.M. The Synthesis of Chiral Periodic Organosilica Materials with Ultrasmall Mesopores. Angew. Chem. Int. Ed. 2011, 50, 8095–8099. [Google Scholar] [CrossRef]
- Yang, Q.; Han, D.; Yang, H.; Li, C. Asymmetric Catalysis with Metal Complexes in Nanoreactors. Chem. Asian J. 2008, 3, 1214–1229. [Google Scholar] [CrossRef]
- Seki, T.; McEleney, K.; Crudden, C.M. Enantioselective catalysis with a chiral, phosphane-containing PMO material. Chem. Commun. 2012, 48, 6369–6371. [Google Scholar] [CrossRef] [PubMed]
- Chen, C.; Kong, L.; Cheng, T.; Jin, R.; Liu, G. Facile construction of functionalized periodic mesoporous organosilica for Ir-catalyzed enantioselective reduction of α-cyanoacetophenones and α-nitroacetophenones. Chem. Commun. 2014, 50, 10891–10893. [Google Scholar] [CrossRef]
- Yang, Q.; Liu, J.; Zhang, L.; Li, C. Functionalized periodic mesoporous organosilicas for catalysis. J. Mater. Chem. 2009, 19, 1945–1955. [Google Scholar] [CrossRef]
- Liu, R.; Jin, R.; An, J.; Zhao, Q.; Cheng, T.; Liu, G. Hollow-Shell-Structured Nanospheres: A Recoverable Heterogeneous Catalyst for Rhodium-Catalyzed Tandem Reduction/Lactonization of Ethyl 2-Acylarylcarboxylates to Chiral Phthalides. Chem. Asian J. 2014, 9, 1388–1394. [Google Scholar] [CrossRef] [PubMed]
- Jiang, D.; Gao, J.; Yang, Q.; Yang, J.; Li, C. Large-Pore Mesoporous Organosilicas Functionalized with trans-(1R,2R)-Diaminocyclohexane: Synthesis, Postmodification, and Catalysis. Chem. Mater. 2006, 18, 6012–6018. [Google Scholar] [CrossRef]
- Liu, K.; Jin, R.; Cheng, T.; Xu, X.; Gao, F.; Liu, G.; Li, H. Functionalized periodic mesoporous organosilica: A highly enantioselective catalyst for the Michael addition of 1,3-dicarbonyl compounds to nitroalkenes. Chem. Eur. J. 2012, 18, 15546–15553. [Google Scholar] [CrossRef]
- Zhou, J.; Du, Q.; Sun, F.; Zheng, X.; Chen, S.; Luo, P. Quinine derivative bonded the hybrid mesoporous silicas chiral stationary phase: Preparation and application in liquid chromatography. J. Chin. Chem. Soc. 2015, 62, 647–651. [Google Scholar] [CrossRef]
- Zhu, G.; Jiang, D.; Yang, Q.; Yang, J.; Li, C. Trans-(1R,2R)-Diaminocyclohexane-functionalized mesoporous organosilica spheres as chiral stationary phase. J. Chromatogr. A 2007, 1149, 219–227. [Google Scholar] [CrossRef]
- Zhu, G.; Zhong, H.; Yang, Q.; Li, C. Chiral mesoporous organosilica spheres: Synthesis and chiral separation capacity. Microporous Mesoporous Mater. 2008, 116, 36–43. [Google Scholar] [CrossRef]
- Ran, R.; You, L.; Di, B.; Hao, W.; Su, M.; Yan, F.; Huang, L. A novel chiral mesoporous binaphthyl-silicas: Preparation, characterization, and application in HPLC. J. Sep. Sci. 2012, 35, 1854–1862. [Google Scholar] [CrossRef]
- Wang, P.; Yang, J.; Liu, J.; Zhang, L.; Yang, Q. Chiral mesoporous organosilicas with R-(+)-Binol integrated in the framework. Microporous Mesoporous Mater. 2009, 117, 91–97. [Google Scholar] [CrossRef]
- MacQuarrie, S.; Thompson, M.P.; Blanc, A.; Mosey, N.J.; Lemieux, R.P.; Crudden, C.M. Chiral Periodic Mesoporous Organosilicates Based on Axially Chiral Monomers: Transmission of Chirality in the Solid State. J. Am. Chem. Soc. 2008, 130, 14099–14101. [Google Scholar] [CrossRef] [PubMed]
- Huang, J.; Zhu, F.; He, W.; Zhang, F.; Wang, W.; Li, H. Periodic Mesoporous Organometallic Silicas with Unary or Binary Organometals inside the Channel Walls as Active and Reusable Catalysts in Aqueous Organic Reactions. J. Am. Chem. Soc. 2010, 132, 1492–1493. [Google Scholar] [CrossRef] [PubMed]
- MacLean, M.W.A.; Wood, T.K.; Wu, G.; Lemieux, R.P.; Crudden, C.M. Chiral Periodic Mesoporous Organosilicas: Probing Chiral Induction in the Solid State. Chem. Mater. 2014, 26, 5852–5859. [Google Scholar] [CrossRef]
- Garcia, R.A.; van Grieken, R.; Iglesias, J.; Morales, V.; Villajos, N. Facile one-pot approach to the synthesis of chiral periodic mesoporous organosilicas SBA-15-type materials. J. Catal. 2010, 274, 221–227. [Google Scholar] [CrossRef]
- Morales, V.; Villajos, J.A.; Garcia, R.A. Simultaneous synthesis of modified Binol-periodic mesoporous organosilica SBA-15 type material. Application as catalysts in asymmetric sulfoxidation reactions. J. Mater. Sci. 2013, 48, 5990–6000. [Google Scholar] [CrossRef]
- Álvaro, M.; Benitez, M.; Das, D.; Ferrer, B.; García, H. Synthesis of Chiral Periodic Mesoporous Silicas (ChiMO) of MCM-41 Type with Binaphthyl and Cyclohexadiyl Groups Incorporated in the Framework and Direct Measurement of Their Optical Activity. Chem. Mater. 2004, 16, 2222–2228. [Google Scholar] [CrossRef]
- Jin, R.; Liu, K.; Xia, D.; Qian, Q.; Liu, G.; Li, H. Enantioselective Addition of Malonates and β-Keto Esters to Nitroalkenes over an Organonickel-Functionalized Periodic Mesoporous Organosilica. Adv. Synth. Catal. 2012, 354, 3265–3274. [Google Scholar] [CrossRef]
- Xia, X.; Wu, M.; Jin, R.; Cheng, T.; Liu, G. One-pot relay reduction-isomerization of β-trifluoromethylated-α,β-unsaturated ketones to chiral β-trifluoromethylated saturated ketones over combined catalysts in aqueous medium. Green Chem. 2015, 17, 3916–3922. [Google Scholar] [CrossRef]
- Liu, R.; Jin, R.; Kong, L.; Wang, J.; Chen, C.; Cheng, T.; Liu, G. Organorhodium-Functionalized Periodic Mesoporous Organosilica: High Hydrophobicity Promotes Asymmetric Transfer Hydrogenation in Aqueous Medium. Chem. Asian J. 2013, 8, 3108–3115. [Google Scholar] [CrossRef]
- Gao, X.; Liu, R.; Zhang, D.; Wu, M.; Cheng, T.; Liu, G. Phenylene-Coated Magnetic Nanoparticles that Boost Aqueous Asymmetric Transfer Hydrogenation Reactions. Chem. Eur. J. 2014, 20, 1515–1519. [Google Scholar] [CrossRef] [PubMed]
- Zhang, D.; Xu, J.; Zhao, Q.; Cheng, T.; Liu, G. A Site-Isolated Organoruthenium-/Organopalladium-Bifunctionalized Periodic Mesoporous Organosilica Catalyzes Cascade Asymmetric Transfer Hydrogenation and Suzuki Cross-Coupling. ChemCatChem 2014, 6, 2998–3003. [Google Scholar] [CrossRef]
- Deng, B.; Xiao, W.; Li, C.; Zhou, F.; Xia, X.; Cheng, T.; Liu, G. Imidazolium-based organoiridium-functionalized periodic mesoporous organosilica boosts enantioselective reduction of α-cyanoacetophenones, α-nitroacetophenones, and β-ketoesters. J. Catal. 2014, 320, 70–76. [Google Scholar] [CrossRef]
- Reid, L.M.; Crudden, C.M. Installing stable molecular chirality within the walls of periodic mesoporous organosilicas via self assembly. Chem. Mater. 2016, 28, 7605–7612. [Google Scholar] [CrossRef]
- Hao, T.T.; Shi, J.Y.; Zhuang, T.Y.; Wang, W.D.; Li, F.C.; Wang, W. Mesostructure-controlled synthesis of chiral norbornane-bridged periodic mesoporous organosilicas. RSC Adv. 2012, 2, 2010–2014. [Google Scholar] [CrossRef]
- Baleizao, C.; Gigante, B.; Das, D.; Alvaro, M.; Garcia, H.; Corma, A. Synthesis and catalytic activity of a chiral periodic mesoporous organosilica (ChiMO). Chem. Commun. 2003, 1860–1861. [Google Scholar] [CrossRef]
- Baleizão, C.; Gigante, B.; Das, D.; Álvaro, M.; Garcia, H.; Corma, A. Periodic mesoporous organosilica incorporating a catalytically active vanadyl Schiff base complex in the framework. J. Catal. 2004, 223, 106–113. [Google Scholar] [CrossRef]
- Benitez, M.; Bringmann, G.; Dreyer, M.; Garcia, H.; Ihmels, H.; Waidelich, M.; Wissel, K. Design of a chiral mesoporous silica and its application as a host for stereoselective di-π-methane rearrangements. J. Org. Chem. 2005, 70, 2315–2321. [Google Scholar] [CrossRef]
- Jiang, D.; Yang, Q.; Yang, J.; Zhang, L.; Zhu, G.; Su, W.; Li, C. Mesoporous Ethane−Silicas Functionalized with trans-(1R,2R)-Diaminocyclohexane as Heterogeneous Chiral Catalysts. Chem. Mater. 2005, 17, 6154–6160. [Google Scholar] [CrossRef]
- Jiang, D.; Yang, Q.; Wang, H.; Zhu, G.; Yang, J.; Li, C. Periodic mesoporous organosilicas with trans-(1R,2R)-diaminocyclohexane in the framework: A potential catalytic material for asymmetric reactions. J. Catal. 2006, 239, 65–73. [Google Scholar] [CrossRef]
- Garcia, R.A.; van Grieken, R.; Iglesias, J.; Morales, V.; Gordillo, D. Synthesis of Chiral Periodic Mesoporous Silicas Incorporating Tartrate Derivatives in the Framework and Their Use in Asymmetric Sulfoxidation. Chem. Mater. 2008, 20, 2964–2971. [Google Scholar] [CrossRef]
- Zhang, L.; Liu, J.; Yang, J.; Yang, Q.; Li, C. Tartardiamide-Functionalized Chiral Organosilicas with Highly Ordered Mesoporous Structure. Chem. Asian J. 2008, 3, 1842–1849. [Google Scholar] [CrossRef]
- Wang, P.; Liu, X.; Yang, J.; Yang, Y.; Zhang, L.; Yang, Q.; Li, C. Chirally functionalized mesoporous organosilicas with built-in BINAP ligand for asymmetric catalysis. J. Mater. Chem. 2009, 19, 8009–8014. [Google Scholar] [CrossRef]
- Liu, X.; Wang, P.; Yang, Y.; Wang, P.; Yang, Q. (R)-(+)-Binol-Functionalized Mesoporous Organosilica as a Highly Efficient Pre-Chiral Catalyst for Asymmetric Catalysis. Chem. Asian J. 2010, 5, 1232–1239. [Google Scholar] [CrossRef]
- Polarz, S.; Kuschel, A. Preparation of a periodically ordered mesoporous organosilica material using chiral building blocks. Adv. Mater. 2006, 18, 1206–1209. [Google Scholar] [CrossRef]
- Ide, A.; Voss, R.; Scholz, G.; Ozin, G.A.; Antonietti, M.; Thomas, A. Organosilicas with Chiral Bridges and Self-Generating Mesoporosity. Chem. Mater. 2007, 19, 2649–2657. [Google Scholar] [CrossRef]
- Inagaki, S.; Guan, S.; Yang, Q.; Kapoor, M.P.; Shimada, T. Direct synthesis of porous organosilicas containing chiral organic groups within their framework and a new analytical method for enantiomeric purity of organosilicas. Chem. Commun. 2008, 202–204. [Google Scholar] [CrossRef]
- Morell, J.; Chatterjee, S.; Klar, P.J.; Mauder, D.; Shenderovich, I.; Hoffmann, F.; Froba, M. Synthesis and characterization of chiral benzylic ether-bridged periodic mesoporous organosilicas. Chem. Eur. J. 2008, 14, 5935–5940. [Google Scholar] [CrossRef]
- Beretta, M.; Morell, J.; Sozzani, P.; Froeba, M. Towards peptide formation inside the channels of a new divinylaniline-bridged periodic mesoporous organosilica. Chem. Commun. 2010, 46, 2495–2497. [Google Scholar] [CrossRef]
- Zhuang, T.Y.; Shi, J.Y.; Ma, B.C.; Wang, W. Chiral norbornane-bridged periodic mesoporous organosilicas. J. Mater. Chem. 2010, 20, 6026–6029. [Google Scholar] [CrossRef]
- Wang, D.S.; He, J.B.; Rosenzweig, N.; Rosenzweig, Z. Superparamagnetic Fe2O3 Beads-CdSe/ZnS quantum dots core-shell nanocomposite particles for cell separation. Nano Lett. 2004, 4, 409–413. [Google Scholar] [CrossRef]
- Pankhurst, Q.A.; Connolly, J.; Jones, S.K.; Dobson, J. Applications of magnetic nanoparticles in biomedicine. J. Phys. D Appl. Phys. 2003, 36, R167–R181. [Google Scholar] [CrossRef]
- Neuberger, T.; Schoepf, B.; Hofmann, H.; Hofmann, M.; Von Rechenberg, B. Superparamagnetic nanoparticles for biomedical applications: Possibilities and limitations of a new drug delivery system. J. Magn. Magn. Mater. 2005, 293, 483–496. [Google Scholar] [CrossRef]
- Lu, A.-H.; Salabas, E.L.; Schüth, F. Magnetic Nanoparticles: Synthesis, Protection, Functionalization, and Application. Angew. Chem. Int. Ed. 2007, 46, 1222–1244. [Google Scholar] [CrossRef] [PubMed]
- Zhu, Y.; Stubbs, L.P.; Ho, F.; Liu, R.; Ship, C.P.; Maguire, J.A.; Hosmane, N.S. Magnetic Nanocomposites: A New Perspective in Catalysis. ChemCatChem 2010, 2, 365–374. [Google Scholar] [CrossRef]
- Akbarzadeh, A.; Samiei, M.; Davaran, S. Magnetic nanoparticles: Preparation, physical properties, and applications in biomedicine. Nanoscale Res. Lett. 2012, 7, 1–13. [Google Scholar] [CrossRef] [PubMed]
- Zhang, D.; Zhou, C.; Sun, Z.; Wu, L.-Z.; Tung, C.-H.; Zhang, T. Magnetically recyclable nanocatalysts (MRNCs): A versatile integration of high catalytic activity and facile recovery. Nanoscale 2012, 4, 6244–6255. [Google Scholar] [CrossRef]
- Mrowczynski, R.; Nan, A.; Liebscher, J. Magnetic nanoparticle-supported organocatalysts—An efficient way of recycling and reuse. RSC Adv. 2014, 4, 5927–5952. [Google Scholar] [CrossRef]
- Rossi, L.M.; Costa, N.J.S.; Silva, F.P.; Wojcieszak, R. Magnetic nanomaterials in catalysis: Advanced catalysts for magnetic separation and beyond. Green Chem. 2014, 16, 2906–2933. [Google Scholar] [CrossRef]
- Polshettiwar, V.; Luque, R.; Fihri, A.; Zhu, H.; Bouhrara, M.; Basset, J.-M. Magnetically Recoverable Nanocatalysts. Chem. Rev. 2011, 111, 3036–3075. [Google Scholar] [CrossRef]
- Wang, D.; Astruc, D. Fast-Growing Field of Magnetically Recyclable Nanocatalysts. Chem. Rev. 2014, 114, 6949–6985. [Google Scholar] [CrossRef] [PubMed]
- Arakawa, Y.; Chiba, A.; Haraguchi, N.; Itsuno, S. Asymmetric Transfer Hydrogenation of Aromatic Ketones in Water using a Polymer-Supported Chiral Catalyst Containing a Hydrophilic Pendant Group. Adv. Synth. Catal. 2008, 350, 2295–2304. [Google Scholar] [CrossRef]
- Massart, R. Preparation of Aqueous Magnetic Liquids in Alkaline and Acidic Media. IEEE Trans. Magn. 1981, 17, 1247–1248. [Google Scholar] [CrossRef]















| Entry | Surfactant | Structure | SEM Images |
|---|---|---|---|
| 1. | Triton X-100 | ![]() | ![]() |
| 2. | Igepal CO-520 | ![]() | ![]() |
| 3. | Pluronic P123 | ![]() | ![]() |
| 4. | Brij 78 | ![]() | ![]() |
| 5. | Genamin KDMP | ![]() | ![]() |
| 6. | CTAC 25% | ![]() | ![]() |
| 7. | CTAB | ![]() | ![]() |
© 2020 by the authors. Licensee MDPI, Basel, Switzerland. This article is an open access article distributed under the terms and conditions of the Creative Commons Attribution (CC BY) license (http://creativecommons.org/licenses/by/4.0/).
Share and Cite
Omar, S.; Abu-Reziq, R. Magnetically Separable Chiral Periodic Mesoporous Organosilica Nanoparticles. Appl. Sci. 2020, 10, 5960. https://doi.org/10.3390/app10175960
Omar S, Abu-Reziq R. Magnetically Separable Chiral Periodic Mesoporous Organosilica Nanoparticles. Applied Sciences. 2020; 10(17):5960. https://doi.org/10.3390/app10175960
Chicago/Turabian StyleOmar, Suheir, and Raed Abu-Reziq. 2020. "Magnetically Separable Chiral Periodic Mesoporous Organosilica Nanoparticles" Applied Sciences 10, no. 17: 5960. https://doi.org/10.3390/app10175960
APA StyleOmar, S., & Abu-Reziq, R. (2020). Magnetically Separable Chiral Periodic Mesoporous Organosilica Nanoparticles. Applied Sciences, 10(17), 5960. https://doi.org/10.3390/app10175960















