Acoustic Improvements of Aircraft Headrests Based on Electrospun Mats Evaluated Through Boundary Element Method
Abstract
1. Introduction
2. Problem Description
3. BEM Simulations
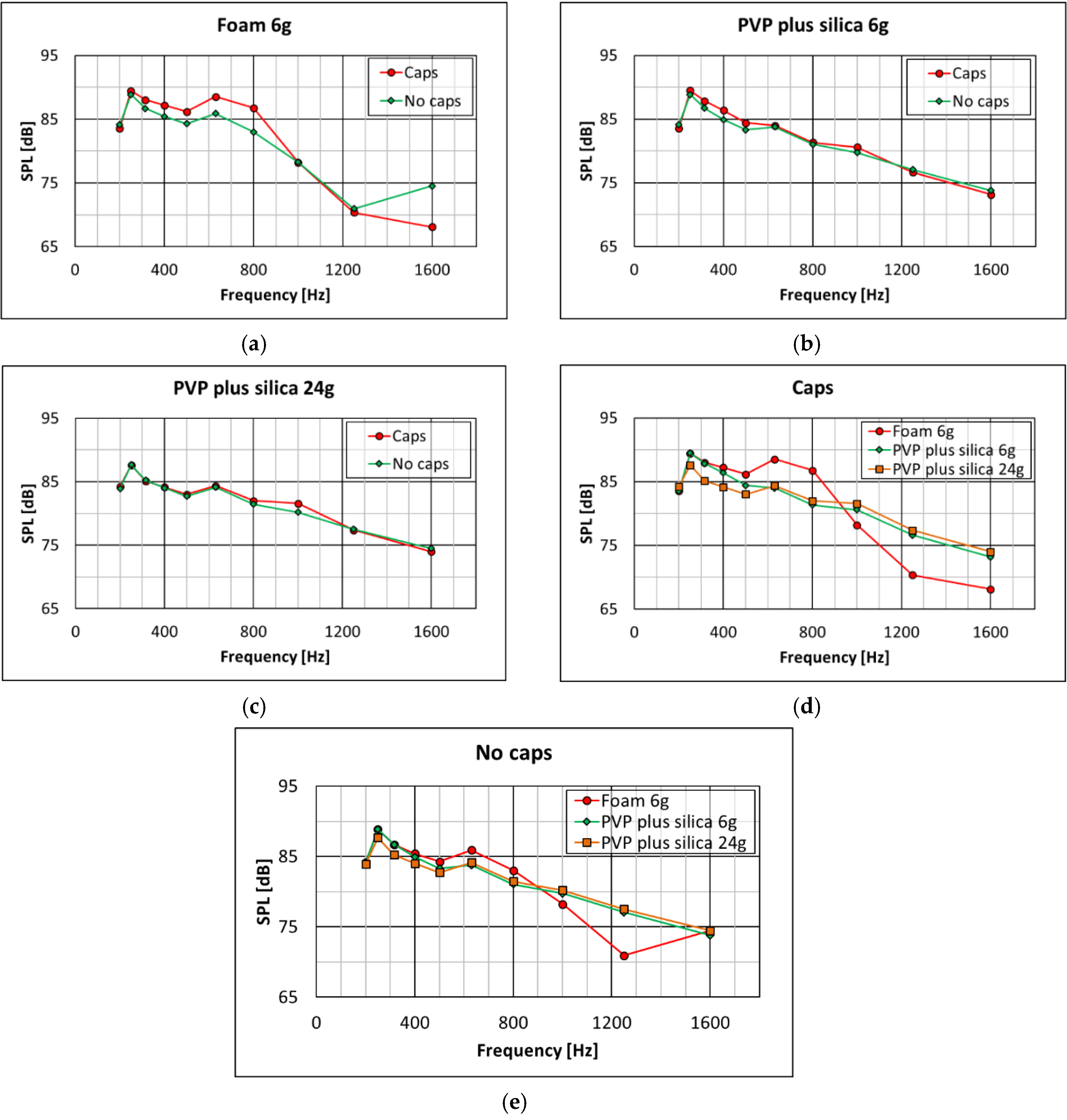
4. Results and Discussion
5. Conclusions
Author Contributions
Funding
Conflicts of Interest
References
- Citarella, R.; Federico, L. Advances in vibroacoustics and aeroacustics of aerospace and automotive systems. Appl. Sci. 2018, 8, 366. [Google Scholar]
- Armentani, E.; Sbarbati, F.; Perrella, M.; Citarella, R. Dynamic analysis of a car engine valve train system. Int. J. Veh. Noise Vib. 2016, 12, 229–240. [Google Scholar] [CrossRef]
- Van Ophem, S.; Atak, O.; Deckers, E.; Desmet, W. Stable model order reduction for time-domain exterior vibro-acoustic finite element simulations. Comput. Methods Appl. Mech. Eng. 2017, 325, 240–264. [Google Scholar]
- Denia, F.D.; Martínez-Casas, J.; Baeza, L.; Fuenmayor, F.J. Acoustic modelling of exhaust devices with nonconforming finite element meshes and transfer matrices. Appl. Acoust. 2012, 73, 713–722. [Google Scholar]
- Arjunan, A.; Wang, C.; English, M.; Stanford, M.; Lister, P. A Computationally-Efficient Numerical Model to Characterize the Noise Behavior of Metal-Framed Walls. Metals 2015, 5, 1414–1431. [Google Scholar]
- Armentani, E.; Caputo, F.; Esposito, L.; Giannella, V.; Citarella, R. Multibody Simulation for the Vibration Analysis of a Turbocharged Diesel Engine. Appl. Sci. 2018, 8, 1192. [Google Scholar] [CrossRef]
- Citarella, R.; Landi, M. Acoustic analysis of an exhaust manifold by Indirect Boundary Element Method. Open Mech. Eng. J. 2011, 5, 138–151. [Google Scholar]
- Armentani, E.; Trapani, R.; Citarella, R.; Parente, A.; Pirelli, M. FEM-BEM Numerical Procedure for Insertion Loss Assessment of an Engine Beauty Cover. Open Mech. Eng. J. 2013, 7, 27–34. [Google Scholar]
- Giannella, V.; Lombardi, R.; Pisani, M.M.; Federico, L.; Barbarino, M.; Citarella, R. A novel Optimization Framework to Replicate the Vibro-Acoustics Response of an Aircraft Fuselage. Appl. Sci. 2020, 10, 2473. [Google Scholar] [CrossRef]
- Barbarino, M.; Adamo, F.P.; Bianco, D.; Bartoccini, D. Hybrid BEM/empirical approach for scattering of correlated sources in rocket noise prediction. J. Sound Vib. 2017, 403, 90–103. [Google Scholar]
- Barbarino, M.; Bianco, D. A BEM–FMM approach applied to the combined convected Helmholtz integral formulation for the solution of aeroacoustic problems. Comput. Methods Appl. Mech. Eng. 2018, 342, 585–603. [Google Scholar]
- Giannella, V.; Lombardi, R.; Pisani, M.; Federico, L.; Barbarino, M.; Citarella, R. Characterization of equivalent acoustic sources to reproduce the acoustic field generated by engines on an aircraft fuselage. Procedia Struct. Integr. 2019, 24, 559–568. [Google Scholar]
- Kirkup, S. The Boundary Element Method in Acoustics: A Survey. Appl. Sci. 2019, 9, 1642. [Google Scholar] [CrossRef]
- Yin, J.; Rossignol, K.; Barbarino, M.; Bianco, D.; Testa, C.; Brouwer, H.; Janssen, S.R.; Reboul, G.; Vigevano, L.; Bernardini, G.; et al. GARTEUR activities on acoustical methods and experiments for studying on acoustic scattering. CEAS Aeronaut. J. 2019, 10, 531. [Google Scholar]
- Lyon, R.H. Statistical Energy Analysis of Dynamical Systems: Theory and Applications; The MIT Press: Cambridge, MA, USA, 1975. [Google Scholar]
- Petrone, G.; Melillo, G.; Laudiero, A.; De Rosa, S. A Statistical Energy Analysis (SEA) model of a fuselage section for the prediction of the internal Sound Pressure Level (SPL) at cruise flight conditions. Aerosp. Sci. Technol. 2019, 88, 340–349. [Google Scholar]
- Bianco, D.; Adamo, F.P.; Barbarino, M.; Vitiello, P.; Bartoccini, D.; Federico, L.; Citarella, R. Integrated Aero–Vibroacoustics: The Design Verification Process of Vega-C Launcher. Appl. Sci. 2018, 8, 88. [Google Scholar]
- Pirk, R.; Souto, C.A. Deterministic, hybrid and statistical vibro-acoustic models—A methodology to determine the VLS payload fairing acoustic behavior. J. Aerosp. Technol. Manag. 2014, 10, 101–109. [Google Scholar]
- Cinefra, M.; Petrone, G. SEA analysis in the cabin of a regional turboprop with metamaterial lining panels. In Proceedings of the AIAA Scitech 2019 Forum, San Diego, CA, USA, 7–11 January 2019. [Google Scholar]
- Rajappan, S.; Bhaskaran, P.; Ravindran, P. An Insight into the Composite Materials for Passive Sound Absorption. J. Appl. Sci. 2017, 17, 339–356. [Google Scholar]
- Xiang, Y.; Zhenbo, L.; Liu, T.; Cheng, L.; Zhu, J.; Fangsen, C. Sound transmission through a periodic acoustic metamaterial grating. J. Sound Vib. 2019, 449, 140–156. [Google Scholar]
- Ning, S.; Yang, F.; Luo, C.; Liu, Z.; Zhuang, Z. Low-frequency tunable locally resonant band gaps in acoustic metamaterials through large deformation. Extrem. Mech. Lett. 2020, 35, 100623. [Google Scholar]
- Arjunan, A. Targeted sound attenuation capacity of 3D printed noise cancelling waveguides. Appl. Acoust. 2019, 151, 30–44. [Google Scholar]
- Khan, W.S.; Asmatulu, R.; Yildirim, M.B. Acoustical properties of electrospun fibers for aircraft interior noise reduction. J. Aerosp. Eng. 2012, 25, 376–382. [Google Scholar]
- Avossa, J.; Branda, F.; Marulo, F.; Petrone, G.; Guido, S.; Tomaiuolo, G.; Costantini, A. Light Electrospun Polyvinylpyrrolidone Blanket for Low Frequencies Sound Absorption. Chin. J. Polym. Sci. 2018, 36, 1368–1374. [Google Scholar] [CrossRef]
- Branda, F.; Marulo, F.; Guido, S.; Petrone, G.; Del Sorbo, G.R.; Truda, G.; Tomaiuolo, G. Polyvinylpyrrolidone (PVP)/Graphene based soundproofing materials through electrospinning. In Proceedings of the INTER-NOISE 2017—46th International Congress and Exposition on Noise Control Engineering: Taming Noise and Moving Quiet, Hong Kong Convention and Exhibition Centre (HKCEC), Hong Kong, China, 27–30 August 2017. [Google Scholar]
- Del Sorbo, G.R.; Truda, G.; Bifulco, A.; Passaro, J.; Petrone, G.; Vitolo, B.; Ausanio, G.; Vergara, A.; Marulo, F.; Branda, F. Non Monotonous Effects of Noncovalently Functionalized Graphene Addition on the Structure and Sound Absorption Properties of Polyvinylpyrrolidone (1300 kDa) Electrospun Mats. Materials 2019, 12, 108. [Google Scholar]
- Passaro, J.; Russo, P.; Bifulco, A.; De Martino, M.T.; Granata, V.; Vitolo, B.; Iannace, G.; Vecchione, A.; Marulo, F.; Branda, F. Water Resistant Self-Extinguishing Low Frequency Soundproofing Polyvinylpyrrolidone Based Electrospun Blankets. Polymers 2019, 11, 1205. [Google Scholar]
- ESIGroup. VA One Users’ Guide; ESIGroup: Paris, France, 2019. [Google Scholar]
- Wilby, J.F. Aircraft Interior Noise. J. Sound Vib. 1996, 190, 545–564. [Google Scholar]
- Mixson, J.S.; Wilby, J.F. Interior Noise. In Aeroacoustics of Flight Vehicles: Theory and Practice; Hubbard, H.H., Ed.; Noise Control; NASA Langley Research Center: Hampton, VA, USA, 1991; Volume 2, pp. 271–355. [Google Scholar]








| Foam 6 g | PVP + Silica 6 g | PVP + Silica 24 g | |
|---|---|---|---|
| Mass [g] | 6 | 6 | 24 |
| Thickness [mm] | 12 | 11 | 45 |
© 2020 by the authors. Licensee MDPI, Basel, Switzerland. This article is an open access article distributed under the terms and conditions of the Creative Commons Attribution (CC BY) license (http://creativecommons.org/licenses/by/4.0/).
Share and Cite
Giannella, V.; Branda, F.; Passaro, J.; Petrone, G.; Barbarino, M.; Citarella, R. Acoustic Improvements of Aircraft Headrests Based on Electrospun Mats Evaluated Through Boundary Element Method. Appl. Sci. 2020, 10, 5712. https://doi.org/10.3390/app10165712
Giannella V, Branda F, Passaro J, Petrone G, Barbarino M, Citarella R. Acoustic Improvements of Aircraft Headrests Based on Electrospun Mats Evaluated Through Boundary Element Method. Applied Sciences. 2020; 10(16):5712. https://doi.org/10.3390/app10165712
Chicago/Turabian StyleGiannella, Venanzio, Francesco Branda, Jessica Passaro, Giuseppe Petrone, Mattia Barbarino, and Roberto Citarella. 2020. "Acoustic Improvements of Aircraft Headrests Based on Electrospun Mats Evaluated Through Boundary Element Method" Applied Sciences 10, no. 16: 5712. https://doi.org/10.3390/app10165712
APA StyleGiannella, V., Branda, F., Passaro, J., Petrone, G., Barbarino, M., & Citarella, R. (2020). Acoustic Improvements of Aircraft Headrests Based on Electrospun Mats Evaluated Through Boundary Element Method. Applied Sciences, 10(16), 5712. https://doi.org/10.3390/app10165712

