Multiscale Analysis of the Influence of Steel Fiber Reinforcement on the Shear Strength of Post-Tensioned Dry Joints
Abstract
Featured Application
Abstract
1. Introduction
2. Multiscale Analysis of Fiber-Reinforced Concrete Structures
2.1. Material Modeling of Steel Fiber-Reinforced Concrete (SFRC): Fiber-Reinforced Lattice-Particle Model
2.2. Structural Modeling of Fiber-Reinforced Concrete Components: Concrete Damage Plasticity Model
2.3. Multiscale Analysis of SFRC Structures
3. Application to SFRC Post-Tensioned Dry Joints
3.1. Material Characterization of SFRC
3.2. Structural Characterization of the Dry Joint
4. Influence on the Shear Strength of SFRC Post-Tensioned Dry Joints
4.1. Influence of the Number of Keys
4.2. Influence of the Prestressing Values
4.3. Influence of the Introduction of Fibers
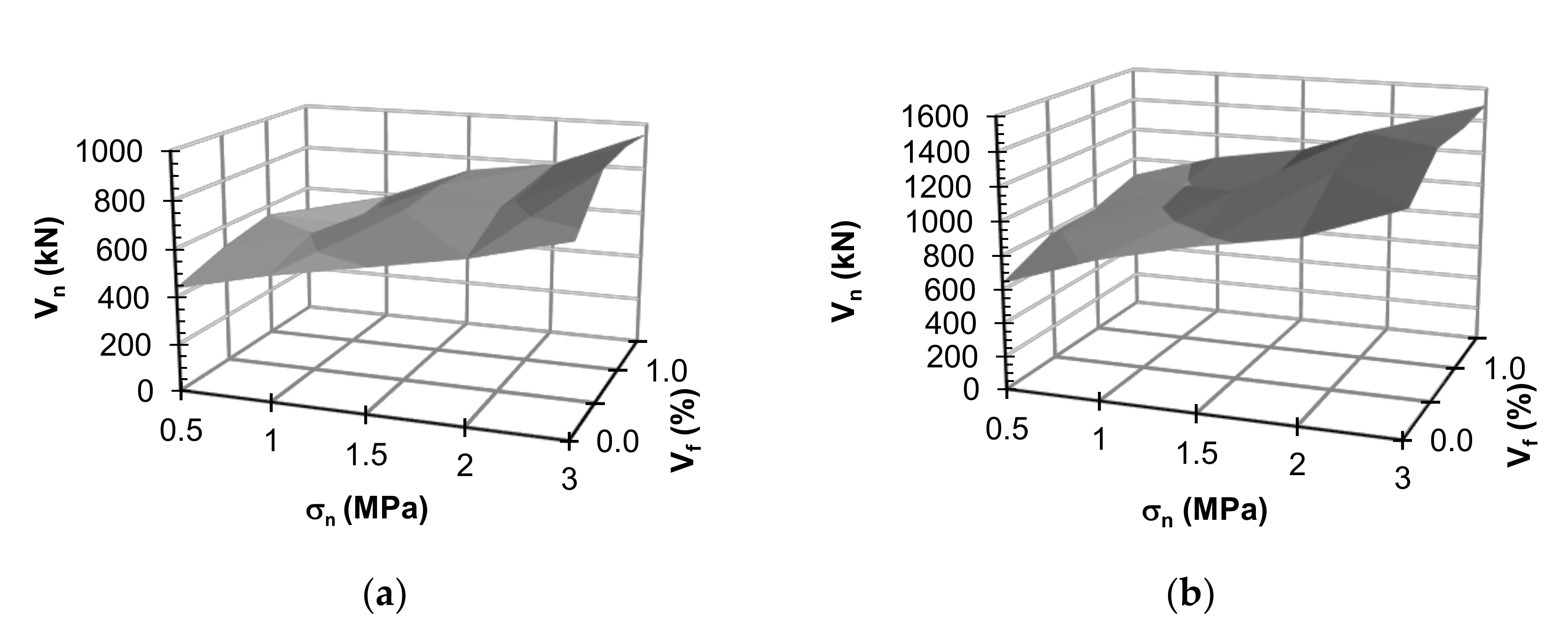
4.4. Influence of the Fiber Volume Fraction
4.5. Identification of a New Law for Estimating Vn in SFRC
5. Conclusions
Author Contributions
Funding
Acknowledgments
Conflicts of Interest
References
- Feyel, F. Multiscale FE2 elastoviscoplastic analysis of composite structures. Comput. Mater. Sci. 1999, 16, 344–354. [Google Scholar] [CrossRef]
- Kouznetsova, V.; Brekelmans, W.A.M.; Baaijens, F.P.T. An approach to micro-macro modeling of heterogeneous materials. Comput. Mech. 2001, 27, 37–48. [Google Scholar] [CrossRef]
- Miehe, C.; Koch, A. Computational micro-to-macro transitions of discretized microstructures undergoing small strains. Arch. Appl. Mech. 2002, 72, 300–317. [Google Scholar] [CrossRef]
- Van Mier, J.G.M. Fracture Processes of Concrete; CRC Press: Boca Raton, FL, USA, 2017; ISBN 978-0-203-75676-8. [Google Scholar]
- Van Mier, J.G.M. Concrete Fracture: A Multiscale Approach; CRC Press: Boca Raton, FL, USA, 2012; ISBN 978-0-429-09805-5. [Google Scholar]
- Maekawa, K.; Ishida, T.; Kishi, T. Multi-Scale Modeling of Concrete Performance. J. Adv. Concr. Technol. 2003, 1, 91–126. [Google Scholar] [CrossRef]
- Bazant, Z.P. Can Multiscale-Multiphysics Methods Predict Softening Damage and Structural Failure? Int. J. Multiscale Comput. Eng. 2010, 8, 61–67. [Google Scholar] [CrossRef]
- Kim, S.-M.; Abu Al-Rub, R.K. Meso-scale computational modeling of the plastic-damage response of cementitious composites. Cem. Concr. Res. 2011, 41, 339–358. [Google Scholar] [CrossRef]
- Wriggers, P.; Moftah, S.O. Mesoscale models for concrete: Homogenisation and damage behaviour. Finite Elem. Anal. Des. 2006, 42, 623–636. [Google Scholar] [CrossRef]
- Montero-Chacón, F.; Marín-Montín, J.; Medina, F. Mesomechanical characterization of porosity in cementitious composites by means of a voxel-based finite element model. Comput. Mater. Sci. 2014, 90, 157–170. [Google Scholar] [CrossRef]
- Cusatis, G.; Cedolin, L. Two-scale study of concrete fracturing behavior. Eng. Fract. Mech. 2007, 74, 3–17. [Google Scholar] [CrossRef]
- Montero-Chacón, F.; Schlangen, E.; Cifuentes, H.; Medina, F. A numerical approach for the design of multiscale fibre-reinforced cementitious composites. Philos. Mag. 2015, 95, 3305–3327. [Google Scholar] [CrossRef]
- Eckardt, S.; Könke, C. Adaptive Damage Simulation of Concrete Using Heterogeneous Multiscale Models. J. Algorithms Comput. Technol. 2008, 2, 275–298. [Google Scholar] [CrossRef]
- Lloberas-Valls, O.; Rixen, D.J.; Simone, A.; Sluys, L.J. Domain decomposition techniques for the efficient modeling of brittle heterogeneous materials. Comput. Methods Appl. Mech. Eng. 2011, 200, 1577–1590. [Google Scholar] [CrossRef]
- Jendele, L.; Šmilauer, V.; Červenka, J. Multiscale hydro-thermo-mechanical model for early-age and mature concrete structures. Adv. Eng. Softw. 2014, 72, 134–146. [Google Scholar] [CrossRef]
- Chen, L.; Qian, Z.; Wang, J. Multiscale Numerical Modeling of Steel Bridge Deck Pavements Considering Vehicle–Pavement Interaction. Int. J. Geomech. 2016, 16, B4015002. [Google Scholar] [CrossRef]
- Alcalde, M.; Cifuentes, H.; Medina, F. Influencia del número de llaves en la resistencia a cortante de juntas secas postensadas. Mater. Constr. 2013, 63, 297–307. [Google Scholar] [CrossRef]
- Turmo, J.; Ramos, G.; Aparicio, A.C. Resistencia de juntas secas conjugadas de puentes de dovelas prefabricadas de hormigón: Propuesta para el Eurocódigo 2. Mater. Constr. 2006, 56, 45–52. [Google Scholar] [CrossRef]
- Rombach, G.A. Dry Joint Behavior of Hollow Box Girder Segmental Bridges Design of Unreinforced Joints. In Proceedings of the FIP Symposium “Segmental Construction in Concrete”, New Delhi, India, 26–29 November 2004; pp. 26–29. [Google Scholar]
- Zhou, X.; Mickleborough, N.; Li, Z. Shear strength of joints in precast concrete segmental bridges. ACI Struct. J. 2005, 102, 3–11. [Google Scholar] [CrossRef]
- Turmo, J.; Ramos, G.; Aparicio, Á.C. Shear strength of joints in precast concrete segmental bridges. ACI Struct. J. 2005, 102, 901–904. [Google Scholar]
- Shamass, R.; Zhou, X.; Alfano, G. Finite-Element Analysis of Shear-Off Failure of Keyed Dry Joints in Precast Concrete Segmental Bridges. J. Bridge Eng. 2015, 20, 04014084. [Google Scholar] [CrossRef]
- AASHTO. Guide Specifications for Design and Construction of Segmental Concrete Bridges, 2nd ed.; American Association of State Highway and Transportation Officials: Washington, DC, USA, 1999; ISBN 5-9604-5804-7. [Google Scholar]
- Bentur, A.; Mindess, S. Fibre Reinforced Cementitious Composites, 2nd ed.; CRC Press: Boca Raton, FL, USA, 2006; ISBN 978-0-203-08872-2. [Google Scholar]
- Lubliner, J.; Oliver, J.; Oller, S.; Oñate, E. A plastic-damage model for concrete. Int. J. Solids Struct. 1989, 25, 299–326. [Google Scholar] [CrossRef]
- SIMULIA Corp. Abaqus Analysis User’s Guide; SIMULIA Corp: Johnston, RI, USA, 2016. [Google Scholar]
- Montero-Chacón, F.; Cifuentes, H.; Medina, F. Mesoscale Characterization of Fracture Properties of Steel Fiber-Reinforced Concrete Using a Lattice–Particle Model. Materials 2017, 10, 207. [Google Scholar] [CrossRef] [PubMed]
- Kang, J.; Bolander, J.E. Multiscale modeling of strain-hardening cementitious composites. Mech. Res. Commun. 2016, 78, 47–54. [Google Scholar] [CrossRef]
- Gudžulić, V.; Dang, T.S.; Meschke, G. Computational modeling of fiber flow during casting of fresh concrete. Comput. Mech. 2019, 63, 1111–1129. [Google Scholar] [CrossRef]
- Du Plessis, A.; Boshoff, W.P. A review of X-ray computed tomography of concrete and asphalt construction materials. Constr. Build. Mater. 2019, 199, 637–651. [Google Scholar] [CrossRef]
- De Schutter, G.; Taerwe, L. Random particle model for concrete based on Delaunay triangulation. Mater. Struct. 1993, 26, 67–73. [Google Scholar] [CrossRef]
- Laranjeira, F.; Grünewald, S.; Walraven, J.; Blom, C.; Molins, C.; Aguado, A. Characterization of the orientation profile of steel fiber reinforced concrete. Mater. Struct. 2011, 44, 1093–1111. [Google Scholar] [CrossRef]
- Bolander, J.E.; Saito, S. Fracture analyses using spring networks with random geometry. Eng. Fract. Mech. 1998, 61, 569–591. [Google Scholar] [CrossRef]
- Lee, J.; Fenves, G.L. Plastic-Damage Model for Cyclic Loading of Concrete Structures. J. Eng. Mech. 1998, 124, 892–900. [Google Scholar] [CrossRef]
- Cifuentes, H.; Montero-Chacón, F.; Galán, J.; Cabezas, J.; la Concha, A.M.-D. A Finite Element-Based Methodology for the Thermo-mechanical Analysis of Early Age Behavior in Concrete Structures. Int. J. Concr. Struct. Mater. 2019, 13, 41. [Google Scholar] [CrossRef]
- Genikomsou, A.S.; Polak, M.A. Finite element analysis of punching shear of concrete slabs using damaged plasticity model in ABAQUS. Eng. Struct. 2015, 98, 38–48. [Google Scholar] [CrossRef]
- Shokoohfar, A.; Rahai, A. Nonlinear analysis of pre-stressed concrete containment vessel (PCCV) using the damage plasticity model. Nucl. Eng. Des. 2016, 298, 41–50. [Google Scholar] [CrossRef]
- Kachanov, M. Continuum Model of Medium with Cracks. J. Eng. Mech. Div. 1980, 106, 1039–1051. [Google Scholar]
- Rots, J.G.; Nauta, P.; Kuster, G.M.A.; Blaauwendraad, J. Smeared Crack Approach and Fracture Localization in Concrete. HERON 1985, 30, 1–48. [Google Scholar]
- Colegio de Ingenieros de Caminos, Canales y Puertos (Madrid); Asociación Técnica Española del Pretensado; Instituto de Ciencias de la Construcción Eduardo Torroja. Proyecto y Construcción de Puentes y Estructuras con Pretensado Exterior: H.P. 10-96; Colegio de Ingenieros de Caminos, Canales y Puertos: Madrid, Spain, 1996; ISBN 84-380-0120-3. [Google Scholar]













| Test Configuration | Input (Material) | Output (Structure) |
|---|---|---|
| Uniaxial tensile test | Em, Ea, Ef, Eb, Lf, df, Vf, sieve curve | E, ν |
| DEN tensile test | Em, Ea, Ef, Eb, Lf, df, Vf, sieve curve ft,m, fc,m, cm, φm, GF,m, τ1, τ2, εf/εi. | ft, GF, σt-εt, σt-, dt- |
| Uniaxial compressive test | fc, σc-εc, σc-, dc- | |
| Bi- and Tri-axial test | ψ, ϵ, K, f |
| Vf (%) | E (GPa) | ft (MPa) | fc (MPa) | GF (N/mm) |
|---|---|---|---|---|
| 0.0 | 30.18 | 3.67 | 40.74 | 0.04 |
| 0.5 | 30.36 | 4.01 | 41.35 | 0.45 |
| 1.0 | 30.55 | 4.34 | 41.96 | 1.05 |
| 1.5 | 30.74 | 4.68 | 42.58 | 1.76 |
© 2020 by the authors. Licensee MDPI, Basel, Switzerland. This article is an open access article distributed under the terms and conditions of the Creative Commons Attribution (CC BY) license (http://creativecommons.org/licenses/by/4.0/).
Share and Cite
Marin-Montin, J.; Alcalde, M.; Cifuentes, H.; Montero-Chacón, F. Multiscale Analysis of the Influence of Steel Fiber Reinforcement on the Shear Strength of Post-Tensioned Dry Joints. Appl. Sci. 2020, 10, 5486. https://doi.org/10.3390/app10165486
Marin-Montin J, Alcalde M, Cifuentes H, Montero-Chacón F. Multiscale Analysis of the Influence of Steel Fiber Reinforcement on the Shear Strength of Post-Tensioned Dry Joints. Applied Sciences. 2020; 10(16):5486. https://doi.org/10.3390/app10165486
Chicago/Turabian StyleMarin-Montin, Jorge, María Alcalde, Héctor Cifuentes, and Francisco Montero-Chacón. 2020. "Multiscale Analysis of the Influence of Steel Fiber Reinforcement on the Shear Strength of Post-Tensioned Dry Joints" Applied Sciences 10, no. 16: 5486. https://doi.org/10.3390/app10165486
APA StyleMarin-Montin, J., Alcalde, M., Cifuentes, H., & Montero-Chacón, F. (2020). Multiscale Analysis of the Influence of Steel Fiber Reinforcement on the Shear Strength of Post-Tensioned Dry Joints. Applied Sciences, 10(16), 5486. https://doi.org/10.3390/app10165486

