Experimental Study of the Effect of Hydrotreated Vegetable Oil and Oxymethylene Ethers on Main Spray and Combustion Characteristics under Engine Combustion Network Spray A Conditions
Abstract
Featured Application
Abstract
1. Introduction
2. Experimental and Theoretical Tools
2.1. High Pressure and High Temperature Rig
2.2. Fuel and Test Matrix
2.2.1. Fuel Description and Properties
2.2.2. Operating Conditions
2.3. Diagnostic Techniques
2.3.1. Schlieren Imaging
2.3.2. High-Speed OH* Chemiluminescence (OH*) Imaging
2.3.3. Diffused Back Illumination (DBI) Extinction Imaging
3. Results and Discussion
3.1. Maximum Liquid Length
3.2. Ignition Delay
3.3. Lift-Off Length
3.4. Spray Tip and Flame Penetration
3.5. Soot Production
4. Conclusions
- -
- The maximum liquid length of all five fuels correlates with the corresponding distillation temperature, stratified in increasing order: OME1-dodecane-OMEx-HVO-diesel.
- -
- ID trend matches the cetane number rating of paraffinic fuels. HVO and dodecane ignite very close and earlier than diesel. However, OMEx ignites before the other fuels although its cetane number is not the highest, but its shorter ID is due to the oxygen in its molecular structure, which improves its ignition. The only fuel that ignites after diesel does is OME1. However, at 1000 K, OME1 shows a similar behavior than diesel.
- -
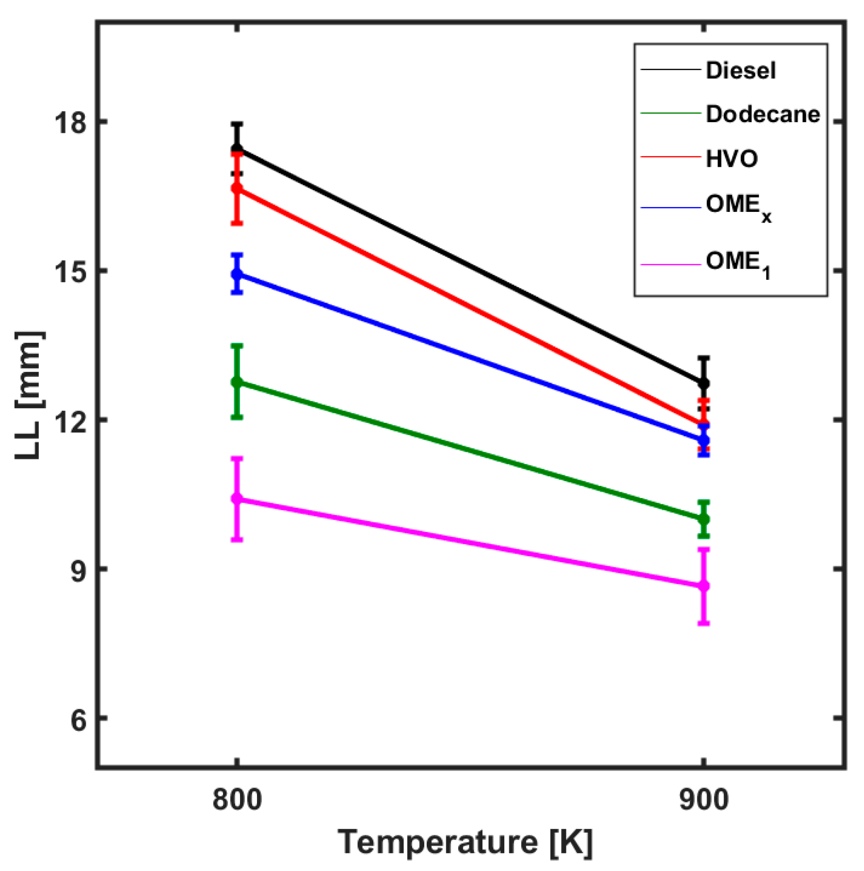
- The longest flame lift-off length is for OME1 and at 800 K and 900 K, which is quite far from OMEx and paraffinic fuels. Conversely, OMEx has a closer behavior to paraffinic fuels in all operating conditions.
- -
- During the period until ignition, all fuels show the same behavior in terms of penetration, since the spray tip penetration is known to be governed by the momentum flux conservation at the nozzle orifice, which only depends on the pressure drop across the nozzle and the orifice area.
- -
- The difference of flame penetration between paraffinic fuel and oxygenated fuel is very marked. Oxygenated fuels stabilize early while paraffinic fuels reach the flame stabilization later as a consequence of the fuel’s stoichiometry. Furthermore, an important difference between OME1 and OMEx at nominal operating condition exists due to the OME1 flame stabilizes at lean air-fuel ratio.
- -
- Regarding soot production, the oxygenated fuels (OMEx and OME1) did not produce detectable soot at any operating condition tested. This can be explained by the very low equivalence ratio at lift-off owing to the oxygen content in the molecule as well as by the absence of C-C bonds.
- -
- HVO produces less soot than diesel, but more than dodecane. This behavior can be rel0ated with the absence of aromatic compounds in HVO formulation.
Author Contributions
Funding
Conflicts of Interest
Abbreviations
| (A/F)st | Stoichiometric air–fuel ratio |
| ASOE | After Start of Energizing |
| ASOI | After Start of Injection |
| CAT | Caterpillar |
| CFPP | Cold Filter Plugging Point |
| CI | Compression Ignition |
| CMT | CMT-Motores Térmicos |
| D | Diameter of lens |
| DPF | Diesel Particle Filter |
| ECN | Engine Combustion Network |
| F | Focal length |
| FWHM | Full Width at Half Maximum |
| GTL | Gas to Liquid |
| HVO | Hydrotreated Vegetable Oil |
| ICCD | Intensified Charge –Coupled Device |
| IFPEn | Institut Français du Pétrole Énergies Nouvelles |
| KL | Optical Thickness |
| LED | Light-Emitting Diode |
| NOx | Nitrogen Oxides |
| OH* | Excited state of hydroxyl radical |
| OME1 | Methylal |
| OMEx | A blend of oxymethylene ethers |
| PM | Particle Matter |
| SCR | Selective Catalytic Reduction |
| SNL | Sandia National Laboratory |
| SOI | Start of Injection |
| TU/e | Eindhoven University of Technology |
References
- Reşitoğlu, İ.A.; Altinişik, K.; Keskin, A. The pollutant emissions from diesel-engine vehicles and exhaust aftertreatment systems. Clean Technol. Environ Policy 2015, 17, 15–27. [Google Scholar] [CrossRef]
- Pundir, B.P. IC Engines: Combustion and Emissions; Alpha Science International: Oxford, UK, 2010. [Google Scholar]
- Mohan, B.; Yang, W.; Chou, S. kiang Fuel injection strategies for performance improvement and emissions reduction in compression ignition engines—A review. Renew. Sustain. Energy Rev. 2013, 28, 664–676. [Google Scholar] [CrossRef]
- Leach, F.; Kalghatgi, G.; Stone, R.; Miles, P. The scope for improving the efficiency and environmental impact of internal combustion engines. Transp. Eng. 2020, 1, 100005. [Google Scholar] [CrossRef]
- Kim, H.Y.; Ge, J.C.; Choi, N.J. Application of Palm Oil Biodiesel Blends under Idle Operating Conditions in a Common-Rail Direct-Injection Diesel Engine. Appl. Sci. 2018, 8, 2665. [Google Scholar] [CrossRef]
- Tziourtzioumis, D.N.; Stamatelos, A.M. Experimental Investigation of the Effect of Biodiesel Blends on a DI Diesel Engine’s Injection and Combustion. Energies 2017, 10, 970. [Google Scholar] [CrossRef]
- Merola, S.S.; Tornatore, C.; Iannuzzi, S.E.; Marchitto, L.; Valentino, G. Combustion process investigation in a high speed diesel engine fuelled with n-butanol diesel blend by conventional methods and optical diagnostics. Renew. Energy 2014, 64, 225–237. [Google Scholar] [CrossRef]
- Choi, K.; Park, S.; Roh, H.G.; Lee, C.S. Combustion and Emission Reduction Characteristics of GTL-Biodiesel Fuel in a Single-Cylinder Diesel Engine. Energies 2019, 12, 2201. [Google Scholar] [CrossRef]
- Dimitriadis, A.; Seljak, T.; Vihar, R.; Žvar Baškovič, U.; Dimaratos, A.; Bezergianni, S.; Samaras, Z.; Katrašnik, T. Improving PM-NOx trade-off with paraffinic fuels: A study towards diesel engine optimization with HVO. Fuel 2020, 265, 116921. [Google Scholar] [CrossRef]
- Pastor, J.V.; García, A.; Micó, C.; Lewiski, F. An optical investigation of Fischer-Tropsch diesel and Oxymethylene dimethyl ether impact on combustion process for CI engines. Appl. Energy 2020, 260, 114238. [Google Scholar] [CrossRef]
- Bergthorson, J.M.; Thomson, M.J. A review of the combustion and emissions properties of advanced transportation biofuels and their impact on existing and future engines. Renew. Sustain. Energy Rev. 2015, 42, 1393–1417. [Google Scholar] [CrossRef]
- Yehliu, K.; Boehman, A.L.; Armas, O. Emissions from different alternative diesel fuels operating with single and split fuel injection. Fuel 2010, 89, 423–437. [Google Scholar] [CrossRef]
- Gómez, A.; Soriano, J.A.; Armas, O. Evaluation of sooting tendency of different oxygenated and paraffinic fuels blended with diesel fuel. Fuel 2016, 184, 536–543. [Google Scholar] [CrossRef]
- Benajes, J.; García, A.; Monsalve-Serrano, J.; Martínez-Boggio, S. Potential of using OMEx as substitute of diesel in the dual-fuel combustion mode to reduce the global CO2 emissions. Trans. Eng. 2020, 1, 100001. [Google Scholar] [CrossRef]
- Burger, J.; Siegert, M.; Ströfer, E.; Hasse, H. Poly(oxymethylene) dimethyl ethers as components of tailored diesel fuel: Properties, synthesis and purification concepts. Fuel 2010, 89, 3315–3319. [Google Scholar] [CrossRef]
- Iannuzzi, S.E.; Barro, C.; Boulouchos, K.; Burger, J. POMDME-diesel blends: Evaluation of performance and exhaust emissions in a single cylinder heavy-duty diesel engine. Fuel 2017, 203, 57–67. [Google Scholar] [CrossRef]
- Omari, A.; Heuser, B.; Pischinger, S. Potential of oxymethylenether-diesel blends for ultra-low emission engines. Fuel 2017, 209, 232–237. [Google Scholar] [CrossRef]
- Bjørgen, K.O.P.; Emberson, D.R.; Løvås, T. Combustion and soot characteristics of hydrotreated vegetable oil compression-ignited spray flames. Fuel 2020, 266, 116942. [Google Scholar] [CrossRef]
- Marchitto, L.; Merola, S.S.; Tornatore, C.; Valentino, G. An Experimental Investigation of Alcohol/Diesel Fuel Blends on Combustion and Emissions in a Single-Cylinder Compression Ignition Engine; SAE Technical Paper 2016-01-0738; SAE: Warrendale, PA, USA, 2016. [Google Scholar] [CrossRef]
- Engine Combustion Network | Engine Combustion Network Website. Available online: https://ecn.sandia.gov/ (accessed on 14 July 2020).
- Payri, R.; Gimeno, J.; Bardi, M.; Plazas, A.H. Study liquid length penetration results obtained with a direct acting piezo electric injector. Appl. Energy 2013, 106, 152–162. [Google Scholar] [CrossRef]
- Crusius, S.; Müller, M.; Stein, H.; Goral, T. Oxy-methylen-di-methylether (OMEx) as an alternative for diesel fuel and blend compound: Properties, additizing and compatibility with fossil and renewable fuels. In Proceedings of the 12th International Colloquium Fuels-Conventional and Future Energy for Automobiles, Esslingen, Germany, 25 June 2019; p. 8. [Google Scholar]
- Benajes, J.; Payri, R.; Bardi, M.; Martí-Aldaraví, P. Experimental characterization of diesel ignition and lift-off length using a single-hole ECN injector. Appl. Ther. Eng. 2013, 58, 554–563. [Google Scholar] [CrossRef]
- Xuan, T.; Desantes, J.M.; Pastor, J.V.; Garcia-Oliver, J.M. Soot temperature characterization of spray a flames by combined extinction and radiation methodology. Combust. Flame 2019, 204, 290–303. [Google Scholar] [CrossRef]
- Settles, G.S. Schlieren and Shadowgraph Techniques: Visualizing Phenomena in Transparent Media; Springer Science & Business Media: Berlin/Heidelberg, Germany, 2012; ISBN 978-3-642-56640-0. [Google Scholar]
- Pastor, J.V.; Payri, R.; Garcia-Oliver, J.M.; Briceño, F.J. Schlieren Methodology for the Analysis of Transient Diesel Flame Evolution. SAE Int. J. Engines 2013, 6, 1661–1676. [Google Scholar] [CrossRef]
- Pastor, J.V.; García, A.; Micó, C.; García-Carrero, A.A. Experimental study of influence of Liquefied Petroleum Gas addition in Hydrotreated Vegetable Oil fuel on ignition delay, flame lift off length and soot emission under diesel-like conditions. Fuel 2020, 260, 116377. [Google Scholar] [CrossRef]
- Reyes, M.; Tinaut, F.V.; Giménez, B.; Pastor, J.V. Effect of hydrogen addition on the OH* and CH* chemiluminescence emissions of premixed combustion of methane-air mixtures. Int. J. Hydrogen Energy 2018, 43, 19778–19791. [Google Scholar] [CrossRef]
- Siebers, D.; Higgins, B. Flame Lift-Off on Direct-Injection Diesel Sprays Under Quiescent Conditions. SAE Trans. 2001, 110, 400–421. [Google Scholar]
- Xuan, T.; Pastor, J.V.; García-Oliver, J.M.; García, A.; He, Z.; Wang, Q.; Reyes, M. In-flame soot quantification of diesel sprays under sooting/non-sooting critical conditions in an optical engine. Appl. Ther. Eng. 2019, 149, 1–10. [Google Scholar] [CrossRef]
- Choi, M.Y.; Mulholland, G.W.; Hamins, A.; Kashiwagi, T. Comparisons of the soot volume fraction using gravimetric and light extinction techniques. Combust. Flame 1995, 102, 161–169. [Google Scholar] [CrossRef]
- Li, D.; He, Z.; Xuan, T.; Zhong, W.; Cao, J.; Wang, Q.; Wang, P. Simultaneous capture of liquid length of spray and flame lift-off length for second-generation biodiesel/diesel blended fuel in a constant volume combustion chamber. Fuel 2017, 189, 260–269. [Google Scholar] [CrossRef]
- Lequien, G.; Berrocal, E.; Gallo, Y.; Themudo e Mello, A.; Andersson, O.; Johansson, B. Effect of Jet-Jet Interactions on the Liquid Fuel Penetration in an Optical Heavy-Duty DI Diesel Engine, SAE Technical Paper 2013-01-1615; SAE: Warrendale, PA, USA, 2013. [CrossRef]
- Kook, S.; Pickett, L.M. Liquid length and vapor penetration of conventional, Fischer–Tropsch, coal-derived, and surrogate fuel sprays at high-temperature and high-pressure ambient conditions. Fuel 2012, 93, 539–548. [Google Scholar] [CrossRef]
- Payri, R.; Salvador, F.J.; Manin, J.; Viera, A. Diesel ignition delay and lift-off length through different methodologies using a multi-hole injector. Appl. Energy 2016, 162, 541–550. [Google Scholar] [CrossRef]
- Pickett, L.M.; Siebers, D.L. Orifice Diameter Effects on Diesel Fuel Jet Flame Structure. J. Eng. Gas Turbines Power 2005, 127, 187–196. [Google Scholar] [CrossRef]
- Pastor, J.V.; García-Oliver, J.M.; López, J.J.; Vera-Tudela, W. An experimental study of the effects of fuel properties on reactive spray evolution using Primary Reference Fuels. Fuel 2016, 163, 260–270. [Google Scholar] [CrossRef]
- Pickett, L.M.; Siebers, D.L. Non-Sooting, Low Flame Temperature Mixing-Controlled DI Diesel Combustion, SAE Technical Paper 2004-01-1399; SAE: Warrendale, PA, USA, 2004. [CrossRef]
- Aatola, H.; Larmi, M.; Sarjovaara, T.; Mikkonen, S. Hydrotreated Vegetable Oil (HVO) as a Renewable Diesel Fuel: Trade-off between NOx, Particulate Emission, and Fuel Consumption of a Heavy Duty Engine. SAE Int. J. Engines 2008, 1, 1251–1262. [Google Scholar] [CrossRef]
- Marinov, N.M.; Pitz, W.J.; Westbrook, C.K.; Vincitore, A.M.; Castaldi, M.J.; Senkan, S.M.; Melius, C.F. Aromatic and Polycyclic Aromatic Hydrocarbon Formation in a Laminar Premixed n-Butane Flame. Combust. Flame 1998, 114, 192–213. [Google Scholar] [CrossRef]













| Characteristic [unit] | Diesel | Dodecane | HVO | OME1 | OMEx |
|---|---|---|---|---|---|
| Density [kg/m3] (T= 15 °C) | 835.20 | 751.20 | 779.10 | 866.70 | 1057.10 |
| Viscosity [mm2/s] (T= 40 °C) | 2.80 | 1.44 | 2.70 | 0.36 | 1.08 |
| Cetane number [–] | 54.18 | 74 | 75.5 | 28 | 68.6 |
| Lubricity [µm] | 386 | 563 | 316 | 747 | 320 |
| Flash point [°C] | - | 83 | 70 | <40 | 65 |
| Lower heating value [MJ/kg] | 39.79 | 44.20 | 43.90 | 19.25 | 19.21 |
| Initial Boiling Point [°C] | 155.10 | 214.00 | 185.50 | 37.40 | 144.90 |
| Final Boiling Point [°C] | 363.1 | 218 | 302 | 38 | 242.4 |
| Total contamination [mg/kg] | <24 | - | 6.0 | <1 | <1 |
| Carbon content [% m/m] | 85.3 | 84 | 85.7 | 48.4 | 44.2 |
| Hydrogen Content [% m/m] | 13.4 | 16 | 14.3 | 10.4 | 8.8 |
| Oxygen content [% m/m] | 0 | 0 | 0 | 42.1 | 45 |
| (A/F)st at 21% of O2 | 14.39 | 14.92:1 | 14.55:1 | 7.22:1 | 5.89:1 |
| (A/F)st at 15% of O2 | 19.98 | 20.72:1 | 20.20:1- | 10.03:1 | 8.18:1 |
| Molecule | Content (wt%) |
|---|---|
| OME1 | 0.01 |
| OME2 | <0.01 |
| OME3 | 57.90 |
| OME4 | 28.87 |
| OME5 | 10.08 |
| OME6 | 1.91 |
| Oxygen Concentration (%) | Temperature [K] | Injection Pressure [bar] |
|---|---|---|
| 15 21 | 800 900 1000 | 500 1000 1500 |
| Parameter | Current Work | CMT (2012) | SNL (2017) | TU/e (2012) | IFPEn (2012) | CAT (2010) |
|---|---|---|---|---|---|---|
| LL [mm] | 10.0 | 10.8 | 9.60 | - | 11 | 8.67 |
| ID [ms] | 0.405 | 0.435 | 0.428 | 0.41 | 0.4 | - |
| LOL [mm] | 18.89 | 17.73 | 17.66 | 15.8 | 14.5 | 16.1 |
© 2020 by the authors. Licensee MDPI, Basel, Switzerland. This article is an open access article distributed under the terms and conditions of the Creative Commons Attribution (CC BY) license (http://creativecommons.org/licenses/by/4.0/).
Share and Cite
Pastor, J.V.; García-Oliver, J.M.; Micó, C.; García-Carrero, A.A.; Gómez, A. Experimental Study of the Effect of Hydrotreated Vegetable Oil and Oxymethylene Ethers on Main Spray and Combustion Characteristics under Engine Combustion Network Spray A Conditions. Appl. Sci. 2020, 10, 5460. https://doi.org/10.3390/app10165460
Pastor JV, García-Oliver JM, Micó C, García-Carrero AA, Gómez A. Experimental Study of the Effect of Hydrotreated Vegetable Oil and Oxymethylene Ethers on Main Spray and Combustion Characteristics under Engine Combustion Network Spray A Conditions. Applied Sciences. 2020; 10(16):5460. https://doi.org/10.3390/app10165460
Chicago/Turabian StylePastor, José V., José M. García-Oliver, Carlos Micó, Alba A. García-Carrero, and Arantzazu Gómez. 2020. "Experimental Study of the Effect of Hydrotreated Vegetable Oil and Oxymethylene Ethers on Main Spray and Combustion Characteristics under Engine Combustion Network Spray A Conditions" Applied Sciences 10, no. 16: 5460. https://doi.org/10.3390/app10165460
APA StylePastor, J. V., García-Oliver, J. M., Micó, C., García-Carrero, A. A., & Gómez, A. (2020). Experimental Study of the Effect of Hydrotreated Vegetable Oil and Oxymethylene Ethers on Main Spray and Combustion Characteristics under Engine Combustion Network Spray A Conditions. Applied Sciences, 10(16), 5460. https://doi.org/10.3390/app10165460

