Analysis on Catastrophe Theory during First Weighting Sliding Instability and Support Crushing of Main Roof with Large Mining Height in Shallow Coal Seam
Abstract
1. Introduction
2. Analysis of First Weighting of Main Roof
2.1. Working Face Overview and Strata Behavior Monitoring
2.2. Characteristics of Roof First Weighting
3. Mechanical Models and Constitutive Relations
3.1. Mechanical Model Analysis
3.2. Constitutive Relationship of Immediate Roof Rock Mass
4. Catastrophe Analysis of Immediate Roof Instability
4.1. System Potential Function
4.2. Catastrophe Analysis
4.3. Calculation of Step Sinking
4.4. Calculation of Support Resistance
5. Analysis of Influencing Factors and Engineering Example
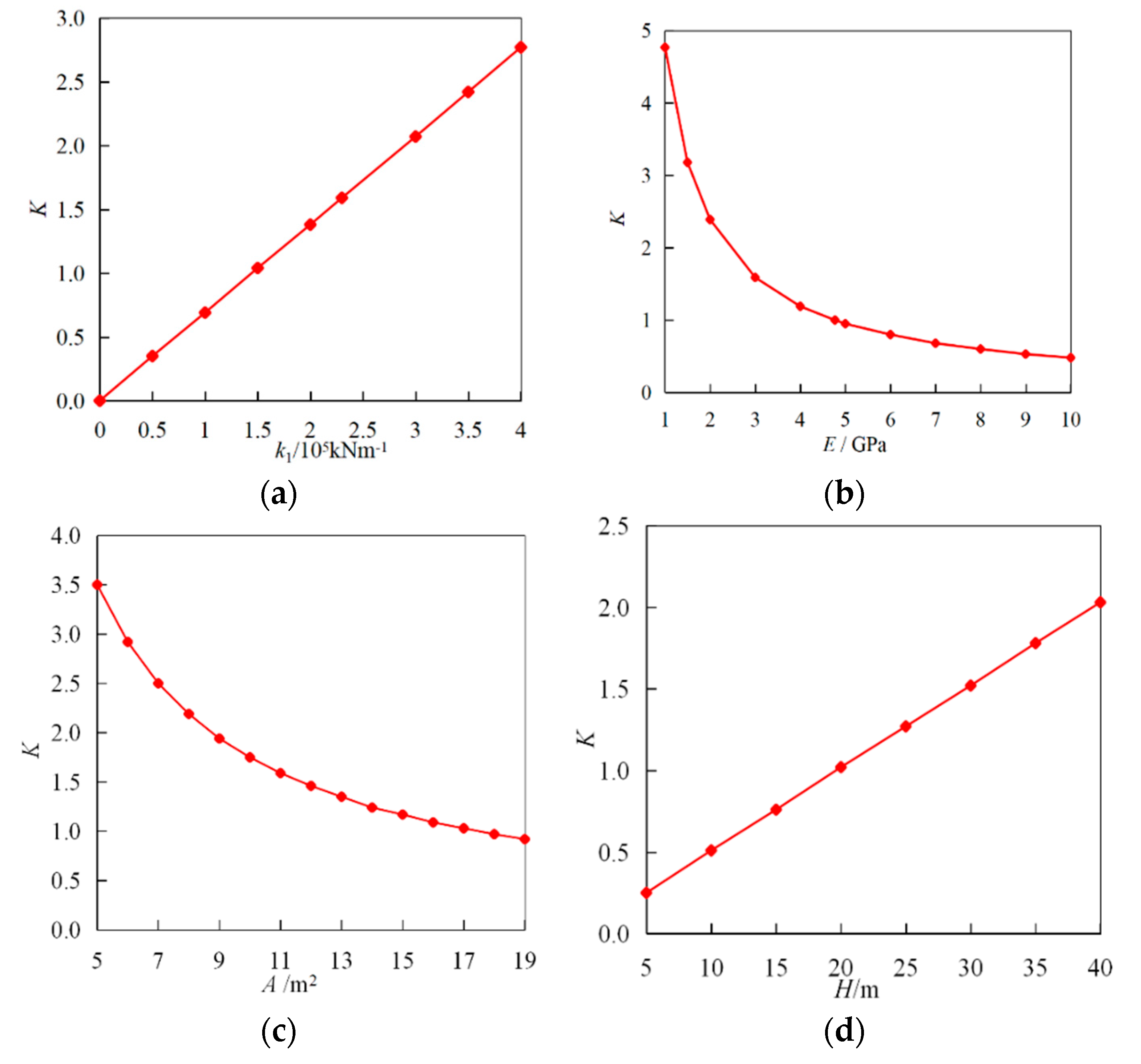
5.1. Analysis of Influencing Factors
5.2. Engineering Example
6. Conclusions and Summary
- (1)
- The formation and weighting characteristics of composite cantilever beam structure of the first weighting in large mining height working face were analyzed through a physical test and a numerical simulation. The premise of working face stability was to ensure that the direct roof was not destroyed.
- (2)
- The sufficient and necessary conditions for system instability were obtained by analyzing the system model consisting of main roof, immediate roof, and support through catastrophe theory. The system instability was related not only to the stiffness ratio K and material parameters of the support and immediate roof, but also to the load Q and the first weighting interval of the main roof.
- (3)
- The influence degree of each parameter on the stiffness ratio K was as follows: elastic modulus E > support stiffness k1 > sectional area A > immediate roof thickness H. Increasing the support stiffness within a certain range had a positive effect on reducing the roof step sinking.
- (4)
- The main roof step sinking ∆h increased linearly with the external load q, and was inversely proportional to the thickness of immediate roof h and support stiffness k1. By comparing the three parameters, we found that the influence degree on step sinking was overburden load q > immediate roof thickness H > support stiffness k1.
- (5)
- The stability of no. 12401 working face was calculated and analyzed by the catastrophe theory, with the calculation results showing that the working face met the instability condition of the system, which was consistent with the monitoring results, and the support resistance should be greater than 19,232 kN to ensure the stability of the main roof.
Author Contributions
Funding
Conflicts of Interest
Abbreviations
| Q | the weight of overlying loose layer and main roof; |
| lA | the length of rock block A; |
| u | the compression amount of immediate roof rock mass; |
| w | the compression amount of support; |
| a | the total displacement of support - immediate roof; |
| k1 | the rigidity of support; |
| E | the initial value of elastic modulus; |
| λ | the initial stiffness of the rock mass; |
| u0 | the corresponding strain value under peak load; |
| λ1 | the absolute value of corresponding slope; |
| WJ | the work done by external force Q; |
| QA | the gravity of the main roof rock block; |
| hj | the main roof height; |
| Ρg | the main roof volume weight; |
| Qs | the load of overlying thick loose layer, according to the calculation principle of Terzaghi earth pressure; |
| ρ1g | the average volume weight of the load layer; |
| Φ | the internal friction angle of the load layer; |
| λz | the lateral stress ratio of the load layer; |
| FC | the friction caused by sliding instability; |
| θ1max | the maximum value of rock block rotating angle; |
| tanφ′ | the friction coefficient between rock block and gangue; |
| i | the main roof rock block size; |
| △h | the step sinking of roof; |
| K | the ratio of the support stiffness and the slope of the constitutive relation curve of the immediate roof rock mass at the inflection point; |
| ζ | the total displacement parameter; |
| μ | the support efficiency of the support; |
| ∑h | the thickness of an immediate roof rock stratum; |
| M | the thickness of coal seam; |
| P | the recovery rate of the working face; |
| kp | the bulking coefficient of the immediate roof rock stratum. |
References
- Huang, Q.X. Study on Roof Structure and Ground Control in Shallow Seam Longwall Mining; China University of Mining and Technology Press: Xuzhou, China, 2010. [Google Scholar]
- Yan, S.H.; Yin, X.W.; Xu, H.J.; Xu, G.; Liu, Q.M.; Yu, L. Roof structure of short cantilever-articulated rock beam and calculation of support resistance in full-mechanized face with large mining height. J. China Coal Soc. 2011, 36, 1816–1820. [Google Scholar]
- Li, H.M.; Jiang, D.J.; Li, D.Y. Analysis of ground pressure and roof movement in fully-mechanized top coal caving with large mining height in ultra-thick seam. J. China Coal Soc. 2014, 39, 1956–1960. [Google Scholar]
- JU, J.F.; Xu, J.L.; Wang, Q.X. Cantilever structure moving type of key strata and its influence on ground pressure in large mining height workface. J. China Coal Soc. 2011, 36, 2115–2120. [Google Scholar]
- JU, J.F.; Xu, J.L. Structural characteristics of key strata and strata behaviour of a fully mechanized longwall face with 7.0m height chocks. Int. J. Rock Mech. Min. Sci. 2013, 58, 46–54. [Google Scholar] [CrossRef]
- Li, Z.; Xu, J.L.; Yu, S.C.; Ju, J.F.; Xu, J.M. Mechanism and Prevention of a Chock Support Failure in the Longwall Top-Coal Caving Faces: A Case Study in Datong Coalfield, China. Int. J. Energ. 2018, 11, 288. [Google Scholar] [CrossRef]
- Zhao, Y.H.; Wang, S.R.; Zou, Z.S.; Ge, L.L.; Cui, F. Instability characteristics of the cracked roof rock beam under shallow mining conditions. Int. J. Min. Sci. Technol. 2018, 28, 437–444. [Google Scholar] [CrossRef]
- Wang, S.R.; Wu, X.G.; Zhao, Y.H.; Hagan, P.; Cao, C. Evolution characteristics of composite pressure-arch in thin bedrock of overlying strata during shallow coal mining. Int. J. App. Mech. 2019, 11, 3. [Google Scholar] [CrossRef]
- Szurgacz, D.; Brodny, J. Analysis of the Influence of Dynamic Load on the Work Parameters of a Powered Roof Support’s Hydraulic Leg. Sustainability 2019, 11, 2570. [Google Scholar] [CrossRef]
- Szurgacz, D.; Brodny, J. Tests of Geometry of the Powered Roof Support Section. Energies 2019, 12, 3945. [Google Scholar] [CrossRef]
- Yang, J.Z.; Liu, Q.J. Analysis and measured of strata behavior law and mechanism of 8.8 m ultra-high minging. Coal Sci. Technol. 2020, 48, 69–74. [Google Scholar]
- Huang, Q.X.; Dong, B.; Chen, S.S. Determination of roof pressure law and support resistance in the mining face with super-large mining height in approximate shallow coal seam. J. Min. Saf. Eng. 2016, 5, 840–844. [Google Scholar]
- Zhou, J.L.; Huang, Q.X. Stability analysis of key stratum structures of large mining height longwall face in shallow coal seam. Chin. J. Rock Mech. Eng. 2019, 38, 1396–1407. [Google Scholar]
- Pang, Y.H.; Wang, G.F.; Zhang, J.H.; Liu, H.L. Overlying strata fracture structure and stability control technology for ultra large mining height working face. Coal Sci. Technol. 2017, 45, 50–55. [Google Scholar]
- Xing, P.W.; Song, X.M.; Fu, Y.P. A Study on the Roof Fracture Mechanism of Large Cutting Height Workface in Shallow Thick Coal Seam. Adv. Mater. Res. 2011, 347–353, 183–188. [Google Scholar] [CrossRef]
- Sun, Y.J.; Zuo, J.P.; Karakus, M.; Wang, J.T. Investigation of movement and damage of integral overburden during shallow coal seam mining. Int. J. Rock Mech. Min. Sci. 2019, 117, 63–75. [Google Scholar] [CrossRef]
- Feng, J.F.; Zhou, Y.; Zhang, K.Z.; Jiang, D.J.; Liu, C. The influence of mining height increase on weighting intervals in the fully-mechanized panels of Shendong coal field. J. Min. Saf. Eng. 2017, 34, 632–636 and 643. [Google Scholar]
- Huang, P.; Ju, F.; Jessu, K.; Xiao, M.; Guo, S. Optimization and Practice of Support Working Resistance in Fully-Mechanized Top Coal Caving in Shallow Thick Seam. Energies 2017, 10, 1406. [Google Scholar] [CrossRef]
- Zhao, Y.X.; Wang, X.Z.; Zhou, J.L.; Li, Q.S.; Zhang, C. Influence of main roof thickness-span ratio on the initial cracking induced instability in fully mechanized longwall face. J. China Coal Soc. 2019, 44, 94–104. [Google Scholar]
- Wang, J.C.; Wang, Z.H. Stability of main roof structure during the first weighting in shallow high-intensity mining face with thin bedrock. J. Min. Saf. Eng. 2015, 32, 175–181. [Google Scholar]
- Wang, C.L.; Zhang, C.S.; Zhao, X.D.; Liao, L.; Zhang, S.L. Dynamic structural evolution of overlying strata during shallow coal seam longwall mining. Int. J. Rock Mech. Min. Sci. 2018, 203, 20–32. [Google Scholar] [CrossRef]
- Yang, Z.L. Stability of nearly horizontal roof strata in shallow seam longwall mining. Int. J. Rock Mech. Min. Sci. 2010, 47, 672–677. [Google Scholar] [CrossRef]
- Zuo, J.P.; Sun, Y.J.; Liu, W.G.; Hu, B. Mechanical analysis and blasting mechanism of main roof initial fracturing in shallow depth mining face with large cutting height. J. China Coal Soc. 2016, 41, 2165–2172. [Google Scholar]
- Qian, M.G. Review of the Theory and Practice of Strata Control Around Longwall Face in Recent 20 Years. J. China Univ. Min. Technol. 2000, 29, 1–4. [Google Scholar]
- Liu, C.Y.; Qian, M.G.; Cao, S.G.; Miao, X.X. Structural mechanics characteristics and stiffness of immediate roof for coal faces. J. China Univ. Min. Technol. 1997, 26, 20–23. [Google Scholar]
- GAO, F.; Qian, M.G.; Miao, X.X. Mechanical analysis of the immediate roof subjected to given deformation of the main roof. Chin. J. Rock Mech. Eng. 2000, 19, 145–148. [Google Scholar]
- Gong, P.L.; Jin, Z.M. Mechanical model study on roof control for fully-mechanized coal face with large mining height. Chin. J. Rock Mech. Eng. 2008, 27, 193–198. [Google Scholar]
- Du, F.; Bai, H.B. Mechanical analysis of immediate roof in fully mechanized top coal caving mining with thin bedrock. J. China Coal Soc. 2013, 38, 1331–1337. [Google Scholar]
- Yuan, Y.; Tu, S.H.; Zhang, X.G.; Li, B. Dynamic effect and control of key strata break of immediate roof in fully mechanized mining with large mining height. Shock Vib. 2015, 2015, 1–11. [Google Scholar]
- Yang, S.L.; Wang, Z.H.; Kong, D.Z.; Cheng, Z.B.; Song, G.F. Overlying strata failure process and support resistance determination in large mining height face. J. Min. Saf. Eng. 2016, 33, 199–207. [Google Scholar]
- Wang, J.C.; Yang, S.L.; Li, Y.; Wang, Z.H. A dynamic method to determine the supports capacity in longwall coal mining. Int. J. Surf. Min. Reclam. Environ. 2015, 29, 277–288. [Google Scholar] [CrossRef]
- Wang, J.C.; Yang, S.L.; Kong, D.Z. Failure mechanism and control technology of longwall coalface in large-cutting-height mining method. Int. J. Min. Sci. Technol. 2016, 26, 111–118. [Google Scholar] [CrossRef]
- Liu, C.; Li, H.M.; Hani, M.; Jiang, D.J.; Li, H.G.; Feng, J.F. Voussoir beam model for lower strong roof strata movement in longwall mining-Case study. J. Rock Mech. Geotech. Eng. 2017, 9, 1171–1176. [Google Scholar] [CrossRef]
- Wang, F.T.; Tu, S.H.; Li, Z.X.; Tu, H.S.; Chen, F. Mutation instability mechanism of the room mining residual pillars in the shallow depth seam. J. Min. Saf. Eng. 2012, 29, 770–775. [Google Scholar]
- Xu, H.; Wang, Y.M.; Wu, A.X.; Li, F.F.; Gao, W.H. A computational model of safe thickness of roof under filling body based on cusp catastrophe theory. Chin. J. Rock Mech. Eng. 2017, 36, 579–586. [Google Scholar]
- Mu, C.L.; Pei, X.J.; Lu, J.F.; Pei, Z.; Xi, C.H. Study on the instability criterion of layered rock mass failure based on the cusp catastrophe theory. J. China Coal Soc. 2017, 42, 1429–1435. [Google Scholar]
- Xu, X.D.; Zhou, Y.J.; Pang, S. Analysis of catastrophic instability of plastic supporting system in old goaf of gypsum mine. Chin. J. Rock Mech. Eng. 2018, 37, 129–136. [Google Scholar]
- Mu, C.L.; Pei, X.J.; Lu, J.F. Study on Catastrophe Instability of Support System in Gypsum Goaf Based on Energy Dissipation Theory. Adv. Civil Eng. 2018, 2018, 1–9. [Google Scholar]
- Liu, C.Y.; Qian, M.G.; Cao, S.G.; Miao, X.X. Influencing mechanism of immediate roof on the relation between support s in the workings and surrounding rocks. J. China Coal Soc. 1997, 22, 471–476. [Google Scholar]
- Yang, S.L.; Wang, J.C.; Yang, J.H. Physical analog simulation analysis and its mechanical explanation on dynamic load impact. J. China Coal Soc. 2017, 42, 335–343. [Google Scholar]
- Keilich, W. Numerical Modelling of Mining Subsidence, Subsidence and Valley Closure Using UDEC. Ph.D. Thesis, University of Wollongong, Wollongong, Australia, 2009; pp. 13–14. [Google Scholar]
- Kazerani, T.; Zhao, J. Micro mechanical parameters in bonded particle method for modelling of brittle material failure. Int. J. Numer. Anal. Methods Geomech. 2010, 34, 1877–1895. [Google Scholar] [CrossRef]
- Christianson, M.; Board, M.; Rigby, D. UDEC simulation of triaxial testingx of lithophysal tuff. In Proceedings of the 41st US Symposium on Rock Mechanics (USRMS), Golden, CO, USA, 17–21 June 2006. [Google Scholar]
- Kou, M.; Liu, X.; Tang, S.; Wang, Y. 3-D X-ray computed tomography on failure characteristics of rock-like materials under coupled hydro-mechanical loading. Theor. Appl. Fract. Mech. 2019, 104, 102396. [Google Scholar] [CrossRef]
- Tang, C.A.; Xu, X.H. A cusp catastrophic model of rock unstable failure. Chin. J. Rock Mech. Eng. 1990, 9, 100–107. [Google Scholar]
- Chen, Z.H.; Tang, C.A.; Fu, Y.F. Study on sudden jump of deformation in unstable failure of rocks. J. Eng. Geol. 1997, 5, 143–149. [Google Scholar]
- Huang, Q.X.; Qi, W.T.; Yang, C.L. Analysis of mechanism and form of main roof breaking during first weighting in longwall face. J. Xi’an Univ. Sci. Technol. 1999, 19, 193–197. [Google Scholar]
- Huang, Q.X. Structural analysis of main roof stability during first weighting in longwall face. Chin. J. Rock Mech. Eng. 1998, 17, 521–526. [Google Scholar]















| Geotechnical Name | Columnar | Thickness /m | Burying Depth /m |
|---|---|---|---|
| Sand layer | ![]() | 40 | 40 |
| Mudstone | ![]() | 7.7 | 47.7 |
| Siltstone | ![]() | 8.1 | 55.8 |
| Medium grain sandstone | ![]() | 7.11 | 62.91 |
| Fine sandstone | ![]() | 9.1 | 72.01 |
| Siltstone | ![]() | 12.1 | 78.11 |
| Fine sandstone | ![]() | 6.46 | 82.57 |
| Siltstone | ![]() | 4.37 | 94.94 |
| Fine sandstone | ![]() | 4.69 | 96.63 |
| Mudstone | ![]() | 3.68 | 103.31 |
| Fine sandstone | ![]() | 4.72 | 108.03 |
| Mudstone | ![]() | 5.86 | 113.9 |
| 5–2 coal seam | ![]() | 6.2 | 120 |
© 2020 by the authors. Licensee MDPI, Basel, Switzerland. This article is an open access article distributed under the terms and conditions of the Creative Commons Attribution (CC BY) license (http://creativecommons.org/licenses/by/4.0/).
Share and Cite
Yang, D.; Zhang, Y.; Chen, Z. Analysis on Catastrophe Theory during First Weighting Sliding Instability and Support Crushing of Main Roof with Large Mining Height in Shallow Coal Seam. Appl. Sci. 2020, 10, 5408. https://doi.org/10.3390/app10165408
Yang D, Zhang Y, Chen Z. Analysis on Catastrophe Theory during First Weighting Sliding Instability and Support Crushing of Main Roof with Large Mining Height in Shallow Coal Seam. Applied Sciences. 2020; 10(16):5408. https://doi.org/10.3390/app10165408
Chicago/Turabian StyleYang, Dengfeng, Yongjun Zhang, and Zhonghui Chen. 2020. "Analysis on Catastrophe Theory during First Weighting Sliding Instability and Support Crushing of Main Roof with Large Mining Height in Shallow Coal Seam" Applied Sciences 10, no. 16: 5408. https://doi.org/10.3390/app10165408
APA StyleYang, D., Zhang, Y., & Chen, Z. (2020). Analysis on Catastrophe Theory during First Weighting Sliding Instability and Support Crushing of Main Roof with Large Mining Height in Shallow Coal Seam. Applied Sciences, 10(16), 5408. https://doi.org/10.3390/app10165408














