Research on Lifespan Prediction of Cross-Linked Polyethylene Material for XLPE Cables
Abstract
Featured Application
Abstract
1. Introduction
2. Corresponding Parameters of Composite Insulator under Different Aging Years for Lifespan Prediction
2.1. Physicochemical Properties
2.1.1. Gel Content Test
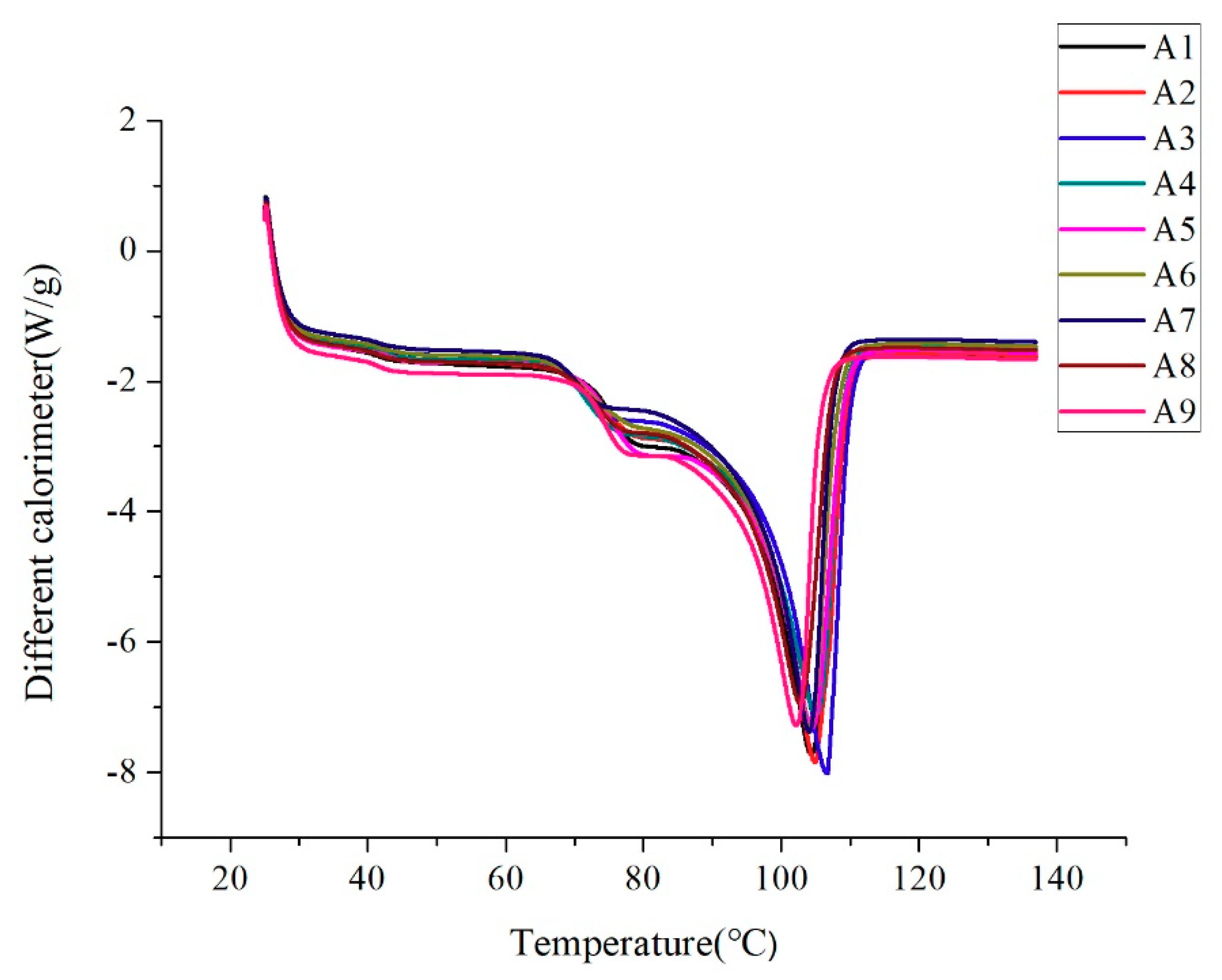
2.1.2. Differential Scanning Calorimetry (DSC) Test
- (1)
- There are two melting peaks in the samples with different aging times, which are distributed in two ranges: temperature 70~80 °C (denoted as peak 1) and 100~110 °C (denoted as peak 2).
- (2)
- With the increase in aging time, the melting temperature of samples moves towards a low temperature in melting peak 1, along with an increase in the area of melting peak 1. However, the change regularities of melting peak 2 are different to melting peak l, and can be divided into two ranges. When the operating time is within 2.5 years, the melting temperature moves towards a higher temperature and the area of melting peak 2 gradually increases. When the operating time exceeds 2.5 years, the melting temperature moves towards a low temperature and the area of melting peak 2 gradually decreases.
2.2. Mechanical Properties
2.2.1. Tensile Testing
- (1)
- With the increase in aging time, the tensile strength of XLPE cable samples gradually decreases. For samples aged for 2, 3, 5, 6 and 8 years, the tensile strength of samples decreases by 2.68%, 9.53%, 12.25%, 14.54% and 20.02%, respectively, compared with samples aged for 1 year.
- (2)
- With the increase in aging time, the breaking elongation of XLPE cable samples has an accelerated decreasing trend. For samples aged for 2, 3, 5, 6 and 8 years, the breaking elongation of samples decreases by 1.70%, 7.75%, 14.14%, 18.1% and 27.49%, respectively, compared with samples aged for 1 year.
- (3)
- Moreover, as results in the previous research have shown, there is a correlation between tensile strength and the physicochemical properties of XLPE cables [14]. The reasons for the changing law of tensile strength and breaking elongation are that the crystallinity of samples decreases with the increase in aging time, as mentioned in Section 2.1.2, which, in turn, results in a more chaotic arrangement of molecules and more frequent molecular movements.
2.2.2. Hardness Testing
2.3. Electrical Properties
2.3.1. Dielectric Frequency Spectrum Test
2.3.2. Dielectric AC Breakdown Test
3. Lifespan Prediction Method
3.1. Analysis of Relative Parameters for Lifespan Prediction
3.2. Prediction Method for Aging Time of XLPE Cables
4. Conclusions
- (1)
- With the increase in operating time, some macro and micro changes in the cross-linked polyethylene material are noticed. Under a high temperature and strong electrical fields, chemical bonds break gradually, which leads to an increase in the content of micromolecules along with polar impurities and defects. In this case, the gel content and crystallinity of samples decrease with the increase in operating time, which, in turn, leads to a decrease in the lifespan prediction parameters, including the tensile strength, the breaking elongation, the dielectric permittivity, the dielectric loss and the breakdown strength, along with the hardness of samples.
- (2)
- Through the correlation calculation between lifespan parameters and operating time, it turns out that the parameters, including the gel content Cge, the crystallinity XC, tensile strength σ, ultimate elongation δ, the dielectric permittivity ε and the dielectric loss Jtan, are significantly correlated with the operating time, which can be used to evaluate the aging degree of XLPE cables and propose a lifespan prediction method to determine the operating time of XLPE cables. Moreover, the lifespan prediction parameters, including the hardness A and the average breakdown strength Eb, are correlated with the operating time. On this basis, these parameters can be used as auxiliary indices in evaluating the aging effects of XLPE cables.
- (3)
- Due to the high accuracy of the experimental verification, it turns out that the lifespan prediction method proposed in this paper can be used to determine the operating time of XLPE cables from Factory A in future research.
Author Contributions
Funding
Conflicts of Interest
References
- Garros, B. Ageing and reliability testing and monitoring of power cables: Diagnosis for insulation systems: The ARTEMIS program. IEEE Electr. Insul. Mag. 1999, 15, 10–12. [Google Scholar] [CrossRef]
- Tzimas, A.; Fu, M.; Dissado, L.; Hampton, R. Comparison of XLPE Cable Peelings with Different Electro-Thermal Histories using Endurance Test and Residual Charge Methods. In Proceedings of the 2006 IEEE 8th International Conference on Properties & Applications of Dielectric Materials, Denpasar, Bali, Indonesia, 26–30 June 2006; pp. 293–296. [Google Scholar]
- Ohki, Y. Development of XLPE-insulated cable for high-voltage dc submarine transmission line (1). IEEE Electr. Insul. Mag. 2013, 29, 65–67. [Google Scholar] [CrossRef]
- Ohki, Y. Development of XLPE-insulated cable for high-voltage dc submarine transmission line (2). IEEE Electr. Insul. Mag. 2013, 29, 85–87. [Google Scholar] [CrossRef]
- Hernandez-mejia, J.; Harley, R.; Hampton, N.; Hartlein, R. Characterization of Ageing for MV Power Cables Using Low Frequency Tanδ Diagnostic Measurements. IEEE Trans. Dielectr. Electr. Insul. 2009, 16, 862–870. [Google Scholar] [CrossRef]
- Liu, S.; Fifield, L.S.; Bowler, N. Towards aging mechanisms of cross-linked polyethylene (XLPE) cable insulation materials in nuclear power plants. In Proceedings of the 2016 IEEE Conference on Electrical Insulation and Dielectric Phenomena (CEIDP), Toronto, ON, Canada, 17–20 October 2016; Volume 14, pp. 935–938. [Google Scholar]
- Kumara, S.; Xu, X.; Hammarström, T.; Ouyang, Y.; Pourrahimi, A.M.; Müller, C.; Serdyuk, Y. Electrical Characterization of a New Crosslinked Copolymer Blend for DC Cable Insulation. Energies 2020, 13, 1434. [Google Scholar] [CrossRef]
- Dong, W.; Wang, X.; Jiang, Z.; Tian, B.; Liu, Y.; Yang, J.; Zhou, W. Acetylated SEBS Enhanced DC Insulation Performances of Polyethylene. Polym. Basel 2019, 11, 1033. [Google Scholar] [CrossRef] [PubMed]
- Kim, C.; Jiang, P.; Liu, F.; Hyon, S.; Ri, M.-G.; Yu, Y.; Ho, M. Investigation on dielectric breakdown behavior of thermally aged cross-linked polyethylene cable insulation. Polym. Test. 2019, 80, 106045. [Google Scholar] [CrossRef]
- Liu, S.; Fifield, L.S. Aging Mechanisms and Nondestructive Aging Indicator of Filled Cross-Linked Polyethylene (XLPE) Exposed to Simultaneous Thermal and Gamma Radiation. In Proceedings of the 18th International Conference on Environmental Degradation of Materials in Nuclear Power Systems—Water Reactors, Boston, MA, USA, 18–22 August 2019; pp. 65–75. [Google Scholar]
- Du, B.X.; Han, C.; Li, J.; Li, Z. Effect of voltage stabilizers on the space charge behavior of XLPE for HVDC cable application. IEEE Trans. Dielectr. Electr. Insul. 2019, 26, 34–42. [Google Scholar] [CrossRef]
- Gulmine, J.; Akcelrud, L. FTIR characterization of aged XLPE. Polym. Test. 2006, 25, 932–942. [Google Scholar] [CrossRef]
- Hedir, A.; Moudoud, M.; Lamrous, O.; Rondot, S.; Jbara, O.; Dony, P. Ultraviolet radiation aging impact on physicochemical properties of crosslinked polyethylene cable insulation. J. Appl. Polym. Sci. 2019, 137, 48575. [Google Scholar] [CrossRef]
- Zhang, Y.; Hou, Z.; Wu, K.-N.; Wang, S.; Li, J.; Li, S. Influence of Oxygen Diffusion on Thermal Ageing of Cross-Linked Polyethylene Cable Insulation. Materials 2020, 13, 2056. [Google Scholar] [CrossRef] [PubMed]
- Common Test Methods for Insulating and Sheathing Materials of Electric and Optical Cables—Part 1-1: Methods for General Application; IEC Std. 60811-1-1; IEC: Geneva, Switzerland, 2001.
- IEEE Guide for Field Testing of Shielded Power Cable Systems Using Very Low Frequency (VLF); IEC Std. 400.2; IEC: Geneva, Switzerland, 2013.
- Zhang, Y.; Zhang, Z.; Jiang, X.; Liang, T.; Yang, S. Aging Process Evaluation Method of Silicone Rubber in Composite Insulators in Natural Environmental Experiment Station. IEEE Access 2019, 7, 169734–169744. [Google Scholar] [CrossRef]
- Zhang, Y.; Zhang, Z.; Jiang, X. Research on lifespan prediction of composite insulators in high altitude area experiment station. Appl. Sci. 2019, 9, 3364. [Google Scholar] [CrossRef]
- Liu, M.; Zhang, M.; Zhao, W.; Song, C.; Wang, D.; Li, Q.; Wang, Z. Prediction of congestion degree for optical networks based on bp artificial neural network. In Proceedings of the 2017 16th International Conference on Optical Communications and Networks (ICOCN), Wuzhen, China, 7–10 August 2017; pp. 1–3. [Google Scholar]







| Samples | Operating Time/Year | Enthalpy of Fusion ΔHm/(J/g) | Crystallinity Xc/% | Standard Deviation σX |
|---|---|---|---|---|
| A1 | 1 | 97.86 | 34.1 | 0.002 |
| A2 | 2 | 98.68 | 34.3 | 0.003 |
| A3 | 2.5 | 99.52 | 34.6 | 0.002 |
| A4 | 3 | 96.36 | 33.5 | 0.003 |
| A5 | 3.5 | 95 | 33.1 | 0.003 |
| A6 | 5 | 92.56 | 32.2 | 0.005 |
| A7 | 6 | 90.09 | 31.4 | 0.003 |
| A8 | 7 | 88.21 | 30.7 | 0.002 |
| A9 | 8 | 86.33 | 30.1 | 0.004 |
| Samples | b/mm | d/mm | P/N | σ/MPa | aσ | δ/% | aδ |
|---|---|---|---|---|---|---|---|
| A1 | 4 | 0.91 | 83.98 | 23.18 | 0.296 | 497.57 | 0.074 |
| A2 | 4 | 0.86 | 77.61 | 22.56 | 0.318 | 489.10 | 0.086 |
| A3 | 4 | 0.87 | 77.18 | 22.25 | 0.456 | 474.37 | 0.056 |
| A4 | 4 | 0.81 | 68.12 | 20.97 | 0.800 | 459.02 | 0.063 |
| A5 | 4 | 0.87 | 72.30 | 20.83 | 0.309 | 446.49 | 0.109 |
| A6 | 4 | 0.92 | 74.85 | 20.34 | 0.276 | 427.24 | 0.076 |
| A7 | 4 | 0.96 | 76.00 | 19.81 | 0.182 | 407.51 | 0.082 |
| A8 | 4 | 0.94 | 71.52 | 19.02 | 0.805 | 388.15 | 0.095 |
| A9 | 4 | 0.84 | 62.29 | 18.54 | 0.613 | 360.79 | 0.113 |
| Samples | Hardness(Shore A) | |||||||
|---|---|---|---|---|---|---|---|---|
| a | b | c | d | e | f | A | aA | |
| A1 | 74.1 | 74.2 | 74.3 | 74.2 | 73.6 | 74.3 | 74.1 | 0.264 |
| A2 | 73.9 | 74 | 74.2 | 74.1 | 74.3 | 74.1 | 74.1 | 0.141 |
| A3 | 74.2 | 74.2 | 74.4 | 74.3 | 74.8 | 74 | 74.3 | 0.271 |
| A4 | 74.1 | 74.3 | 74 | 74.4 | 74.6 | 74.5 | 74.3 | 0.232 |
| A5 | 74.2 | 74.5 | 75.3 | 75.1 | 75.3 | 75.2 | 74.9 | 0.468 |
| A6 | 75 | 74.4 | 74.6 | 75.4 | 74 | 75.4 | 74.8 | 0.566 |
| A7 | 76.5 | 75.4 | 75.6 | 76.3 | 75.5 | 76.2 | 75.9 | 0.471 |
| A8 | 75 | 75.7 | 77 | 75.2 | 75.2 | 75 | 75.5 | 0.770 |
| A9 | 80.3 | 80.7 | 81.5 | 79.9 | 79.4 | 80.9 | 80.5 | 0.748 |
| Samples | Operating Time/Year | ε | tan δ (×10−2) |
|---|---|---|---|
| A1 | 1 | 2.762 | 0.509 |
| A2 | 2 | 2.815 | 0.514 |
| A3 | 2.5 | 2.841 | 0.509 |
| A4 | 3 | 2.85 | 1.488 |
| A5 | 3.5 | 2.871 | 2.433 |
| A6 | 5 | 2.875 | 3.844 |
| A7 | 6 | 2.878 | 4.786 |
| A8 | 7 | 2.882 | 7.056 |
| A9 | 8 | 2.886 | 9.323 |
| Samples | Thickness d/mm | Breakdown Voltage Ub/kV | Breakdown Strength Eb/(kV/mm) | Standard Deviation aE |
|---|---|---|---|---|
| A1 | 0.801 | 5.72 | 7.14 | 0.286 |
| A2 | 0.806 | 5.72 | 7.10 | 0.291 |
| A3 | 0.807 | 5.75 | 7.13 | 0.250 |
| A4 | 0.808 | 5.69 | 7.04 | 0.148 |
| A5 | 0.809 | 5.68 | 7.02 | 0.246 |
| A6 | 0.834 | 5.88 | 7.05 | 0.317 |
| A7 | 0.813 | 5.68 | 6.99 | 0.154 |
| A8 | 0.842 | 5.92 | 7.03 | 0.225 |
| A9 | 0.856 | 5.74 | 6.71 | 0.255 |
| No. | Parameters | Test Methods |
|---|---|---|
| 1 | Cge | Gel content of samples |
| 2 | XC | Crystallinity of samples |
| 3 | σ | Tensile strength of samples |
| 4 | δ | Breaking elongation of samples |
| 5 | A | The hardness of samples |
| 6 | ε | The dielectric permittivity of samples |
| 7 | Jtan | The dielectric loss of samples |
| 8 | Eb | The average breakdown strength of samples |
| Parameters | Correlation Coefficient | Significance | Correlation |
|---|---|---|---|
| Cge | −0.914 | α = 0.0019 | Significant negative correlation |
| XC | −0.972 | α = 0.0009 | Significant negative correlation |
| σ | −0.977 | α = 0.0009 | Significant negative correlation |
| δ | −0.995 | α = 0.0009 | Significant negative correlation |
| A | 0.790 | α = 0.0119 | Positive correlation |
| ε | 0.841 | α = 0.0059 | Significant positive correlation |
| Jtan | 0.972 | α = 0.0009 | Significant positive correlation |
| Eb | −0.794 | α = 0.0119 | Negative correlation |
| Samples | a1/Year | a/Year | σ1 (%) |
|---|---|---|---|
| A6 | 8.081 | 8 | 1.01 |
© 2020 by the authors. Licensee MDPI, Basel, Switzerland. This article is an open access article distributed under the terms and conditions of the Creative Commons Attribution (CC BY) license (http://creativecommons.org/licenses/by/4.0/).
Share and Cite
Zhang, Y.; Wu, Z.; Qian, C.; Tan, X.; Yang, J.; Zhong, L. Research on Lifespan Prediction of Cross-Linked Polyethylene Material for XLPE Cables. Appl. Sci. 2020, 10, 5381. https://doi.org/10.3390/app10155381
Zhang Y, Wu Z, Qian C, Tan X, Yang J, Zhong L. Research on Lifespan Prediction of Cross-Linked Polyethylene Material for XLPE Cables. Applied Sciences. 2020; 10(15):5381. https://doi.org/10.3390/app10155381
Chicago/Turabian StyleZhang, Yi, Zaijun Wu, Cheng Qian, Xiao Tan, Jinggang Yang, and Linlin Zhong. 2020. "Research on Lifespan Prediction of Cross-Linked Polyethylene Material for XLPE Cables" Applied Sciences 10, no. 15: 5381. https://doi.org/10.3390/app10155381
APA StyleZhang, Y., Wu, Z., Qian, C., Tan, X., Yang, J., & Zhong, L. (2020). Research on Lifespan Prediction of Cross-Linked Polyethylene Material for XLPE Cables. Applied Sciences, 10(15), 5381. https://doi.org/10.3390/app10155381

