Pilots’ Performance and Workload Assessment: Transition from Analogue to Glass-Cockpit
Abstract
Featured Application
Abstract
1. Introduction
2. Materials and Methods
2.1. Participants
2.2. Training Description
2.3. Data Collection and Pre-Processing
2.4. Statistical Analysis
3. Results
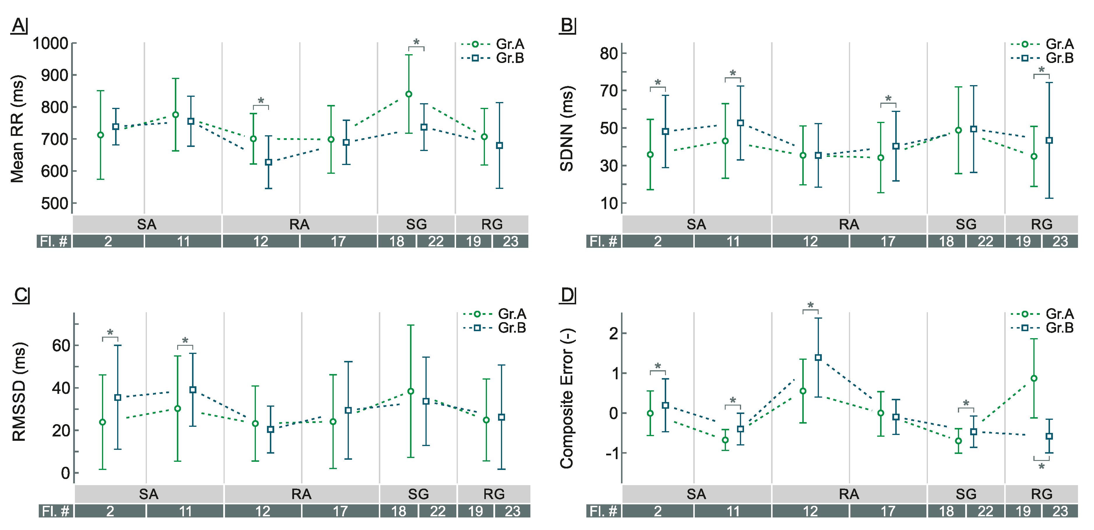
3.1. Heart Rate Variability Measures
3.2. Piloting Precision
4. Discussion
5. Conclusions
Author Contributions
Funding
Acknowledgments
Conflicts of Interest
Abbreviations
| ANOVA | Analysis of variance |
| ANS | Autonomic nervous system |
| EFIS | Electronic flight instrument system |
| Gr. A | First training group (Group A) |
| Gr. B | Second training group (Group B) |
| HF | Power spectral density at high-frequency band |
| HR | Heart rate |
| HRV | Heart rate variability |
| LF | Power spectral density at low-frequency band |
| RMSSD | Root mean square of successive RR interval differences |
| SD | Standard deviation |
| SDNN | Standard deviation of NN intervals |
References
- Brackley, H.G. Piloting Commercial Aircraft. J. R. Aeronaut. Soc. 1936, 40, 85–101. [Google Scholar] [CrossRef]
- Lande, K. Cockpit Layout—Operational Aspects. In Proceedings of the 21st European Rotorcraft Forum, St. Petersburg, Russia, 30 August–1 September 1995. [Google Scholar]
- Beal, G.F. Making the Cockpit Practical for the Pilot. SAE Trans. 1945, 53, 437–496. [Google Scholar] [CrossRef]
- McLaughlin, G.F. Current Practice in Instrument Panel Layout. Aero Digest 1935, 27, 40–44. [Google Scholar]
- Lovesey, E. The instrument explosion—A study of aircraft cockpit instruments. Appl. Ergon. 1977, 8, 23–30. [Google Scholar] [CrossRef]
- Williamson, G.W. Instrument Planning—The New Service Blind-Flying Panel Described: Six Essential Instruments Correctly Grouped. Flight 1937, 32, 193–195. [Google Scholar]
- Federal Aviation Administration. Instrument Flying Handbook (FAA-H-8083-15B); United States Department of Transportation, Federal Aviation Administration, Airman Testing Standards Branch, AFS-630: Oklahoma City, OK, USA, 2012.
- Robson, D.; McMahon, A.; Dunn, P.; Chase, B.; Rispin, P.; Falcon, G.; Anderson, T.; Mangrum, R.; Blair, J.; Wilt, D.; et al. The Pilot’s Manual Volume 3: Instrument Flying, 7th ed.; The Pilot’s Manual; Aviation Supplies & Academics, Incorporated: Newcastle, WA, Australia, 2017. [Google Scholar]
- Milton, J.; Jones, R.; Fitts, P. Eye Fixations of Aircraft Pilots: Frequency, Duration, and Sequence of Fixations when Flying the USAF Instrument Low Approach Systems (ILAS). In USAF Technical Report; USAF: Wright Patterson Air Force Base, OH, USA, 1949. [Google Scholar]
- Klein, R.; Weir, D. The Measurement and Analysis of Pilot Scanning and Control Behavior during Simulated Instrument Approaches. In NASA Contractor Report; NASA: Washington, DC, USA, 1970. [Google Scholar]
- Spady, A.A., Jr. Airline Pilot Scan Patterns during Simulated ILS Approaches. In NASA Technical Paper; NASA: Washington, DC, USA, 1978. [Google Scholar]
- Haslbeck, A.; Zhang, B. I spy with my little eye: Analysis of airline pilots’ gaze patterns in a manual instrument flight scenario. Appl. Ergon. 2017, 63, 62–71. [Google Scholar] [CrossRef]
- Reynal, M.; Colineaux, Y.; Vernay, A.; Dehais, F. Pilot Flying vs. Pilot Monitoring during the Approach Phase: An Eye-Tracking Study. In Proceedings of the International Conference on Human-Computer Interaction in Aerospace, HCI-Aero ’16, Paris, France, 14–16 September 2016; Association for Computing Machinery: New York, NY, USA, 2016. [Google Scholar] [CrossRef]
- Dehais, F.; Behrend, J.; Peysakhovich, V.; Causse, M.; Wickens, C.D. Pilot Flying and Pilot Monitoring’s Aircraft State Awareness During Go-Around Execution in Aviation: A Behavioral and Eye Tracking Study. Int. J. Aerosp. Psychol. 2017, 27, 15–28. [Google Scholar] [CrossRef]
- Ziv, G. Gaze Behavior and Visual Attention: A Review of Eye Tracking Studies in Aviation. Int. J. Aviat. Psychol. 2016, 26, 75–104. [Google Scholar] [CrossRef]
- Summers, M.M. Scenario-Based Training in Technically Advanced Aircraft as a Method to Improve Risk Management; Embry-Riddle Aeronautical University: Daytona Beach, FL, USA, 2007. [Google Scholar]
- Nählinder, S.; Dahlstrom, N.; Dekker, S. Introduction of Technically Advanced Aircraft in Ab-Initio Flight Training. Int. J. Appl. Aviat. Stud. 2006, 6, 133–144. [Google Scholar]
- Craig, P.A.; Bertrand, J.E.; Dornan, W.; Gossett, S. Ab Initio Training in the Glass Cockpit Era: New Technology Meets New Pilots: A Preliminary Descriptive Analysis. In Proceedings of the 2005 International Symposium on Aviation Psychology, Dayton, OH, USA, 7 May 2005; pp. 153–158. [Google Scholar]
- Wright, S.; O’Hare, D. Can a glass cockpit display help (or hinder) performance of novices in simulated flight training? Appl. Ergon. 2015, 47, 292–299. [Google Scholar] [CrossRef]
- General Aviation Manufacturers Association. 2019 Databook; General Aviation Manufacturers Association: Washington, DC, USA, 2020. [Google Scholar]
- Adams, C.A.; Hwoschinsky, P.V.; Adams, R.J. Analysis of Adverse Events in Identifying GPS Human Factors Issues; 2001 Technical Report; NASA Langley Technical Report Server: Hampton, VA, USA, 2004.
- Hiremath, V.; Proctor, R.W.; Fanjoy, R.O.; Feyen, R.G.; Young, J.P. Comparison of pilot recovery and response times in two types of cockpits. In Proceedings of the Symposium on Human Interface, San Diego, CA, USA, 19–24 July 2009; pp. 766–775. [Google Scholar]
- Socha, V.; Hanakova, L.; Freigang, M.; Kraus, J.; Stojic, S.; Socha, L.; Hanak, P. Impact of Pilot’s Tiredness on the Outcome of Psychological Testing. Transp. Probl. 2019, 14, 55–67. [Google Scholar] [CrossRef]
- World Medical Association. World Medical Association Declaration of Helsinki. J. Am. Med. Assoc. (JAMA) 2013, 310, 2191. [Google Scholar] [CrossRef] [PubMed]
- Regula, M.; Socha, V.; Kutilek, P.; Socha, L.; Hana, K.; Hanakova, L.; Szabo, S. Study of heart rate as the main stress indicator in aircraft pilots. In Proceedings of the IEEE 16th International Conference on Mechatronics—Mechatronika, Brno, Czech Republic, 3–5 December 2014. [Google Scholar] [CrossRef]
- Laborde, S.; Mosley, E.; Thayer, J.F. Heart Rate Variability and Cardiac Vagal Tone in Psychophysiological Research—Recommendations for Experiment Planning, Data Analysis, and Data Reporting. Front. Psychol. 2017, 8. [Google Scholar] [CrossRef] [PubMed]
- Hoogeboom, P.; Joosse, M.; Hodgetts, H.; Straussberger, S.; Schaefer, D. Does the ’silent cockpit’ reduce pilot workload? In Proceedings of the IEEE 23rd Digital Avionics Systems Conference (IEEE Cat. No. 04CH37576), Salt Lake City, UT, USA, 28 October 2004; Volume 1, p. 5D. [Google Scholar]
- Malik, M. Heart rate variability: Standards of measurement, physiological interpretation, and clinical use: Task force of the European Society of Cardiology and the North American Society for Pacing and Electrophysiology. Ann. Noninvasive Electrocardiol. 1996, 1, 151–181. [Google Scholar] [CrossRef]
- Schlenker, J.; Socha, V.; Smrcka, P.; Hana, K.; Begera, V.; Kutilek, P.; Hon, Z.; Kaspar, J.; Kucera, L.; Muzik, J.; et al. FlexiGuard: Modular biotelemetry system for military applications. In Proceedings of the IEEE International Conference on Military Technologies (ICMT 2015), Brno, Czech Republic, 19–21 May 2015. [Google Scholar] [CrossRef]
- Kliment, R.; Smrcka, P.; Hana, K.; Schlenker, J.; Socha, V.; Socha, L.; Kutilek, P. Wearable Modular Telemetry System for the Integrated Rescue System Operational Use. J. Sens. 2017, 2017, 1–12. [Google Scholar] [CrossRef]
- Peltola, M.A. Role of editing of R–R intervals in the analysis of heart rate variability. Front. Physiol. 2012, 3. [Google Scholar] [CrossRef]
- Bourdillon, N.; Schmitt, L.; Yazdani, S.; Vesin, J.M.; Millet, G.P. Minimal Window Duration for Accurate HRV Recording in Athletes. Front. Neurosci. 2017, 11. [Google Scholar] [CrossRef]
- Shaffer, F.; Ginsberg, J.P. An Overview of Heart Rate Variability Metrics and Norms. Front. Public Health 2017, 5. [Google Scholar] [CrossRef]
- McNames, J.; Aboy, M. Reliability and accuracy of heart rate variability metrics versus ECG segment duration. Med. Biol. Eng. Comput. 2006, 44, 747–756. [Google Scholar] [CrossRef]
- Munoz, M.L.; van Roon, A.; Riese, H.; Thio, C.; Oostenbroek, E.; Westrik, I.; de Geus, E.J.; Gansevoort, R.; Lefrandt, J.; Nolte, I.M.; et al. Validity of (ultra-) short recordings for heart rate variability measurements. PLoS ONE 2015, 10. [Google Scholar] [CrossRef]
- Thong, T.; Li, K.; McNames, J.; Aboy, M.; Goldstein, B. Accuracy of ultra-short heart rate variability measures. In Proceedings of the 25th Annual International Conference of the IEEE Engineering in Medicine and Biology Society (IEEE Cat. No. 03CH37439), Cancun, Mexico, 17–21 September 2003; Volume 3, pp. 2424–2427. [Google Scholar]
- Nussinovitch, U.; Elishkevitz, K.P.; Katz, K.; Nussinovitch, M.; Segev, S.; Volovitz, B.; Nussinovitch, N. Reliability of ultra-short ECG indices for heart rate variability. Ann. Noninvasive Electrocardiol. 2011, 16, 117–122. [Google Scholar] [CrossRef] [PubMed]
- Marks, B.L.; Lightfoot, J.T. Reproducibility of resting heart rate variability with short sampling periods. Can. J. Appl. Physiol. 1999, 24, 337–348. [Google Scholar] [CrossRef] [PubMed]
- Nussinovitch, U.; Cohen, O.; Kaminer, K.; Ilani, J.; Nussinovitch, N. Evaluating reliability of ultra-short ECG indices of heart rate variability in diabetes mellitus patients. J. Diabetes Complicat. 2012, 26, 450–453. [Google Scholar] [CrossRef] [PubMed]
- Heathers, J.A.J. Everything Hertz: Methodological issues in short-term frequency-domain HRV. Front. Physiol. 2014, 5. [Google Scholar] [CrossRef]
- Berntson, G.G.; Lozano, D.L.; Chen, Y.J. Filter properties of root mean square successive difference (RMSSD) for heart rate. Psychophysiology 2005, 42, 246–252. [Google Scholar] [CrossRef]
- Shaffer, F.; McCraty, R.; Zerr, C.L. A healthy heart is not a metronome: An integrative review of the heart’s anatomy and heart rate variability. Front. Psychol. 2014, 5, 1040. [Google Scholar] [CrossRef]
- Li, Z.; Snieder, H.; Su, S.; Ding, X.; Thayer, J.F.; Treiber, F.A.; Wang, X. A longitudinal study in youth of heart rate variability at rest and in response to stress. Int. J. Psychophysiol. 2009, 73, 212–217. [Google Scholar] [CrossRef]
- Brown, T.E.; Beightol, L.A.; Koh, J.; Eckberg, D.L. Important influence of respiration on human RR interval power spectra is largely ignored. J. Appl. Physiol. 1993, 75, 2310–2317. [Google Scholar] [CrossRef]
- Kim, D.; Seo, Y.; Salahuddin, L. Decreased long term variations of heart rate variability in subjects with higher self reporting stress scores. In Proceedings of the IEEE 2008 Second International Conference on Pervasive Computing Technologies for Healthcare, Tampere, Finland, 30 January–1 February 2008. [Google Scholar] [CrossRef]
- Taelman, J.; Vandeput, S.; Spaepen, A.; Van Huffel, S. Influence of mental stress on heart rate and heart rate variability. In Proceedings of the 4th European Conference of the International Federation for Medical and Biological Engineering, Antwerp, Belgium, 23–27 November 2008; pp. 1366–1369. [Google Scholar]
- Archdeacon, T. Correlation and Regression Analysis: A Historian’s Guide; University of Wisconsin Press: Madison, WI, USA, 1994. [Google Scholar]
- Norman, G. Biostatistics: The Bare Essentials; B.C. Decker: Hamilton, ON, Canada; Lewiston, NY, USA, 2008. [Google Scholar]
- Shapiro, S.S.; Francia, R. An approximate analysis of variance test for normality. J. Am. Statist. Assoc. 1972, 67, 215–216. [Google Scholar] [CrossRef]
- Schmider, E.; Ziegler, M.; Danay, E.; Beyer, L.; Bühner, M. Is It Really Robust? Methodology 2010, 6, 147–151. [Google Scholar] [CrossRef]
- Plichta, S. Statistics for Nursing and Allied Health; Wolters Kluwer/Lippincott Williams & Wilkins Health: Philadelphia, PA, USA, 2009. [Google Scholar]
- Mauchly, J.W. Significance test for sphericity of a normal n-variate distribution. Ann. Math. Statist. 1940, 11, 204–209. [Google Scholar] [CrossRef]
- Vidakovic, B. Statistics for Bioengineering Sciences: With MATLAB and WinBUGS Support; Springer: New York, NY, USA, 2011. [Google Scholar]
- Rutherford, A. ANOVA and ANCOVA: A GLM Approach; Wiley: Hoboken, NJ, USA, 2011. [Google Scholar]
- Tabachnick, B.G.; Fidell, L.S. Using Multivariate Statistics, 4th ed.; Allyn and Bacon: Boston, MA, USA, 2001. [Google Scholar]
- Ledvinka, M.; Lališ, A.; Křemen, P. Toward Data-Driven Safety: An Ontology-Based Information System. J. Aerosp. Inf. Syst. 2019, 16, 22–36. [Google Scholar] [CrossRef]
- Endsley, M.R. Supporting situation awareness in aviation systems. In Proceedings of the 1997 IEEE International Conference on Systems, Man, and Cybernetics. Computational Cybernetics and Simulation, Orlando, FL, USA, 12–15 October 1997; Volume 5, pp. 4177–4181. [Google Scholar]
- Newman, R. Cockpit Displays: Test and Evaluation; Routledge, Taylor and Francis Group: Abingdon, UK; New York, NY, USA, 2016. [Google Scholar]
- Hoover, A.; Singh, A.; Fishel-Brown, S.; Muth, E. Real-time detection of workload changes using heart rate variability. Biomed. Signal Process. Control 2012, 7, 333–341. [Google Scholar] [CrossRef]
- den Berg, M.E.V.; Rijnbeek, P.R.; Niemeijer, M.N.; Hofman, A.; van Herpen, G.; Bots, M.L.; Hillege, H.; Swenne, C.A.; Eijgelsheim, M.; Stricker, B.H.; et al. Normal Values of Corrected Heart-Rate Variability in 10-Second Electrocardiograms for All Ages. Front. Physiol. 2018, 9. [Google Scholar] [CrossRef]
- Nadeau, S.; Salmanzadeh, H.; Ahmadi, M.; Landau, K. Aviation deicing workers, global risk assessment of musculoskeletal injuries. Int. J. Ind. Ergon. 2019, 71, 8–13. [Google Scholar] [CrossRef]
- Bendak, S.; Rashid, H.S. Fatigue in aviation: A systematic review of the literature. Int. J. Ind. Ergon. 2020, 76, 102928. [Google Scholar] [CrossRef]




© 2020 by the authors. Licensee MDPI, Basel, Switzerland. This article is an open access article distributed under the terms and conditions of the Creative Commons Attribution (CC BY) license (http://creativecommons.org/licenses/by/4.0/).
Share and Cite
Socha, V.; Socha, L.; Hanakova, L.; Valenta, V.; Kusmirek, S.; Lalis, A. Pilots’ Performance and Workload Assessment: Transition from Analogue to Glass-Cockpit. Appl. Sci. 2020, 10, 5211. https://doi.org/10.3390/app10155211
Socha V, Socha L, Hanakova L, Valenta V, Kusmirek S, Lalis A. Pilots’ Performance and Workload Assessment: Transition from Analogue to Glass-Cockpit. Applied Sciences. 2020; 10(15):5211. https://doi.org/10.3390/app10155211
Chicago/Turabian StyleSocha, Vladimir, Lubos Socha, Lenka Hanakova, Viktor Valenta, Stanislav Kusmirek, and Andrej Lalis. 2020. "Pilots’ Performance and Workload Assessment: Transition from Analogue to Glass-Cockpit" Applied Sciences 10, no. 15: 5211. https://doi.org/10.3390/app10155211
APA StyleSocha, V., Socha, L., Hanakova, L., Valenta, V., Kusmirek, S., & Lalis, A. (2020). Pilots’ Performance and Workload Assessment: Transition from Analogue to Glass-Cockpit. Applied Sciences, 10(15), 5211. https://doi.org/10.3390/app10155211

