Influence of Ice Accumulation on the Structural Dynamic Behaviour of Composite Rotors
Abstract
Featured Application
Abstract
1. Introduction
2. Experimental Investigation of Ice Accumulation (Materials and Methods)
2.1. Selection of Investigated Composite Rotor
2.2. Experimental Setup and Design
3. Results and Discussion
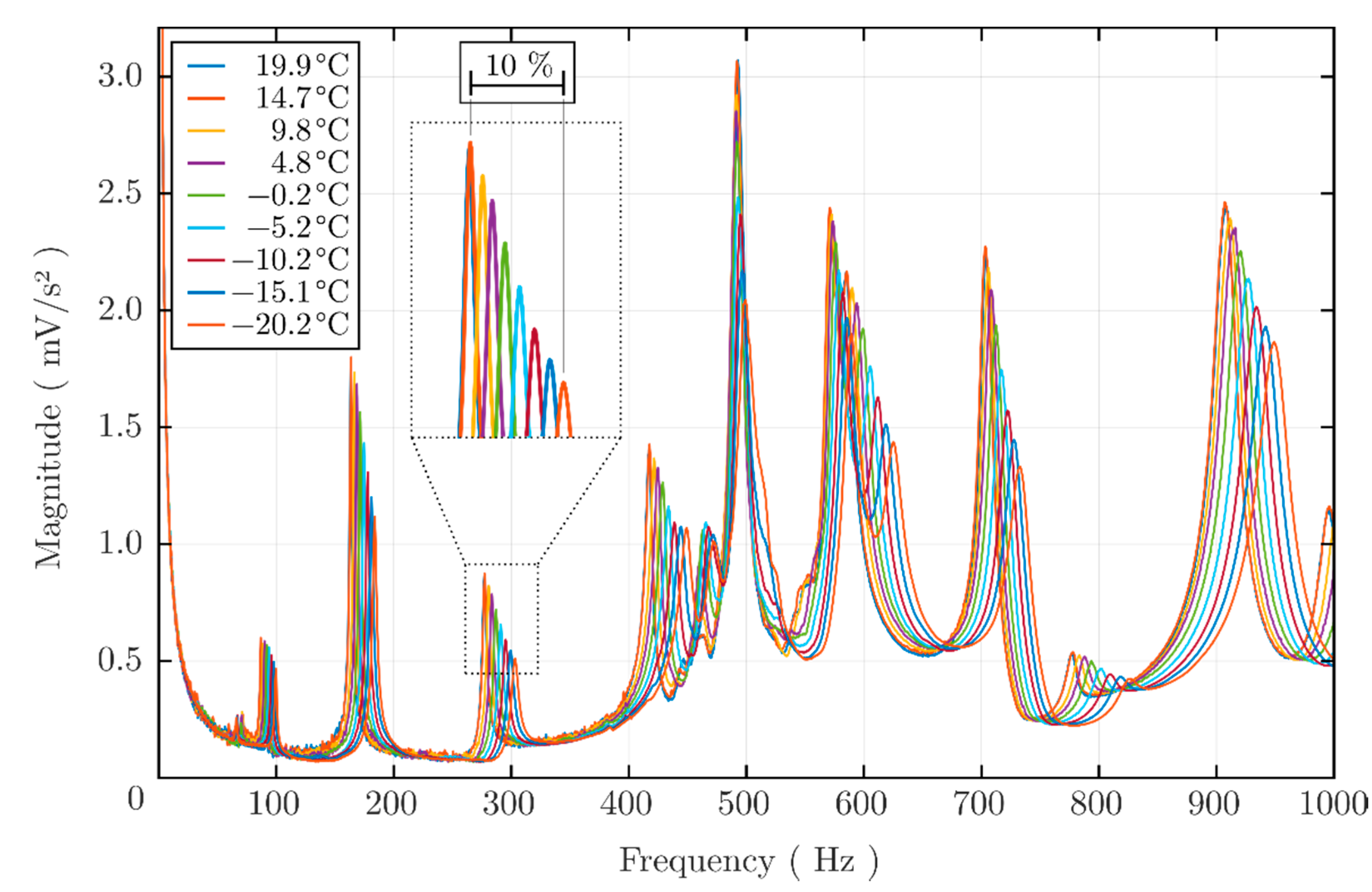
3.1. Temperature-Dependent Shift of Modal Properties
3.2. Spatial Distribution
3.3. Dependencies Between Ice Accumulation and Modal Properties
4. Discussion
5. Conclusions
Author Contributions
Funding
Conflicts of Interest
References
- GWEC. Global Wind Report 2018. Available online: https://gwec.net/global-wind-report-2018/ (accessed on 5 May 2020).
- Faulstich, S.; Hahn, B.; Tavner, P.J. Wind turbine downtime and its importance for offshore deployment. Wind Energy 2011, 14, 327–337. [Google Scholar] [CrossRef]
- Macklin, W.C. The density and structure of ice formed by accretion. Q. J. R. Meteorol. Soc. 1962, 88, 30–50. [Google Scholar] [CrossRef]
- Li, Y.; Wang, S.; Liu, Q.; Feng, F.; Tagawa, K. Characteristics of ice accretions on blade of the straight-bladed vertical axis wind turbine rotating at low tip speed ratio. Cold Reg. Sci. Technol. 2018, 145, 1–13. [Google Scholar] [CrossRef]
- Bredesen, R.E.; Drapalik, M.; Butt, B. Understanding and acknowledging the ice throw hazard—Consequences for regulatory frameworks, risk perception and risk communication. J. Phys. Conf Ser. 2017, 926, 12001. [Google Scholar] [CrossRef]
- Kostka, P.; Holeczek, K.; Filippatos, A.; Hufenbach, W. Integration of Health Monitoring System for Composite Rotors. In Proceedings of the 18th International Conference on Composite Materials (ICCM18), Jeju Island, Korea, 21–26 August 2011. [Google Scholar]
- Kostka, P.; Filippatos, A.; Höhne, R.; Hufenbach, W. A Simulation-Based Monitoring of a Composite Plate Using an Integrated Vibration Measurement System. KEM 2013, 569, 64–71. [Google Scholar] [CrossRef]
- Filippatos, A.; Gude, M. Influence of gradual damage on the structural dynamic behaviour of composite rotors: Experimental investigations. Materials 2018, 11, 2421. [Google Scholar] [CrossRef] [PubMed]
- Brenner, D. Experience with De-Icing Systems, Noise and Vibrations Evoked by Ice Accretion. In Proceedings of the Winterwind Conference, Skellefteå, Sweden, 8 February 2017. [Google Scholar]
- Brenner, D. Determination of the actual ice mass on wind turbine blades. In Proceedings of the Winterwind Conference, Åre, Sweden, 10 February 2016. [Google Scholar]
- Brenner, D. 1500 operational Years of Icing on Wind Turbines—A Long Term Study. In Proceedings of the International Wind Energy Conference, Piteå, Sweden, 3–4 February 2015. [Google Scholar]
- Merizalde, Y.; Hernández-Callejo, L.; Duque-Perez, O.; Alonso-Gómez, V. Maintenance Models Applied to Wind Turbines. A Comprehensive Overview. Energies 2019, 12, 225. [Google Scholar] [CrossRef]
- Tchakoua, P.; Wamkeue, R.; Ouhrouche, M.; Slaoui-Hasnaoui, F.; Tameghe, T.; Ekemb, G. Wind Turbine Condition Monitoring: State-of-the-Art Review, New Trends, and Future Challenges. Energies 2014, 7, 2595–2630. [Google Scholar] [CrossRef]
- Bassett, K.; Carriveau, R.; Ting, D.S.-K. Vibration Analysis of 2.3 MW Wind Turbine Operation Using the Discrete Wavelet Transform. Wind Eng. 2010, 34, 375–388. [Google Scholar] [CrossRef]
- He, G.; Ding, K.; Li, W.; Jiao, X. A novel order tracking method for wind turbine planetary gearbox vibration analysis based on discrete spectrum correction technique. Renew. Energy 2016, 87, 364–375. [Google Scholar] [CrossRef]
- Mughal, U.; Virk, M.; Mustafa, M. State of the Art Review of Atmospheric Icing Sensors. Sens. Transducers 2016, 198, 2–15. [Google Scholar]
- Kim, H.C.; Giri, P.; Lee, J.R. A real-time deflection monitoring system for wind turbine blades using a built-in laser displacement sensor. In Proceedings of the 6th European Workshop on Structural Health Monitoring (EWSHM 2012), Dresden, Germany, 3–6 July 2012; Curran Associates Inc.: Red Hook, NY, USA, 2016; pp. 1010–1018, ISBN 9781510829480. [Google Scholar]
- Giri, P.; Lee, J.R. In Situ Blade Deflection Monitoring of a Wind Turbine Using a Wireless Laser Displacement Sensor Device within the Tower. KEM 2013, 558, 84–91. [Google Scholar] [CrossRef]
- Yang, J.; Peng, C.; Xiao, J.; Zeng, J.; Yuan, Y. Application of videometric technique to deformation measurement for large-scale composite wind turbine blade. Appl. Energy 2012, 98, 292–300. [Google Scholar] [CrossRef]
- Cormier, L.; Joncas, S.; Nijssen, R.P.L. Effects of low temperature on the mechanical properties of glass fibre-epoxy composites: Static tension, compression, R = 0.1 and R = −1 fatigue of ±45° laminates. Wind Energy 2016, 19, 1023–1041. [Google Scholar] [CrossRef]








| Number of Measurement | Nozzles Status (0:Closed, 1:Open) | Temperature (°C) | Rotational Velocity (RPM) | Average Ice Thickness (mm) |
|---|---|---|---|---|
| M01–M09 | (0, 0, 0) | 20, 15, …−20 | 0 | 0.0 |
| M10–M15 | (1, 1, 1) | −20 | 100 | 0.0 to 4.5 |
| M16–M20 | (0, 0, 1) | −20 | 100 | to 5.7 |
| M21–M25 | (0, 1, 0) | −20 | 100 | 0.0 to 6.9 |
| M26–M30 | (1, 0, 0) | −20 | 100 | to 11.7 |
| Measurement | Temperature | EF 1 | EF 2 | EF 3 | EF 4 | EF 5 |
|---|---|---|---|---|---|---|
| (°C) | 87.6 Hz | 164.9 Hz | 278.3 Hz | 418.0 Hz | 486.5 Hz | |
| M01 | 19.9 | 0.00% | 0.00% | 0.00% | 0.00% | 0.00% |
| M03 | 9.8 | 4.29% | 3.52% | 2.61% | 2.05% | 0.48% |
| M05 | −0.2 | 8.23% | 6.79% | 5.08% | 4.12% | 1.38% |
| M07 | −10.2 | 12.02% | 9.99% | 7.64% | 6.23% | 2.53% |
| M09 | −20.2 | 15.30% | 12.20% | 10.11% | 8.39% | 3.78% |
| Nozzles Status (0:Closed, 1:Open) | Temperature (°C) | Max. Ice Thickness | EF1 | EF2 | EF3 | EF4 | EF5 |
|---|---|---|---|---|---|---|---|
| (0, 0, 1) | −16.8 | ~5.7 mm | −7.89% | −6.01% | −4.54% | −3.40% | −0.70% |
| (0, 1, 0) | −17.3 | ~6.9 mm | 5.82% | 5.98% | 5.67% | 0.84% | 5.65% |
| (1, 0, 0) | −17.8 | ~11.7 mm | −2.00% | −1.36% | −0.89% | 0.67% | 1.88% |
| (1, 1, 1) | −16.9 | ~4.6 mm | −2.86% | −2.02% | −1.49% | −1.71% | −0.67% |
| Average Ice Thickness | EF1 | EF2 | EF3 | EF4 | EF5 |
|---|---|---|---|---|---|
| 87.6 Hz | 164.9 Hz | 278.3 Hz | 418.0 Hz | 486.5 Hz | |
| ~1.2 mm | −0.68% | −0.33% | −0.10% | −0.09% | 0.17% |
| ~2.2 mm | −1.25% | −0.93% | −0.43% | −0.73% | 0.82% |
| ~3.2 mm | −2.01% | −1.26% | −0.79% | −0.84% | −0.47% |
| ~4.0 mm | −2.39% | −1.64% | −1.12% | −1.44% | 0.13% |
| ~4.6 mm | −2.86% | −2.02% | −1.49% | −1.71% | −0.67% |
© 2020 by the authors. Licensee MDPI, Basel, Switzerland. This article is an open access article distributed under the terms and conditions of the Creative Commons Attribution (CC BY) license (http://creativecommons.org/licenses/by/4.0/).
Share and Cite
Filippatos, A.; Dannemann, M.; Nguyen, M.; Brenner, D.; Gude, M. Influence of Ice Accumulation on the Structural Dynamic Behaviour of Composite Rotors. Appl. Sci. 2020, 10, 5063. https://doi.org/10.3390/app10155063
Filippatos A, Dannemann M, Nguyen M, Brenner D, Gude M. Influence of Ice Accumulation on the Structural Dynamic Behaviour of Composite Rotors. Applied Sciences. 2020; 10(15):5063. https://doi.org/10.3390/app10155063
Chicago/Turabian StyleFilippatos, Angelos, Martin Dannemann, Minh Nguyen, Daniel Brenner, and Maik Gude. 2020. "Influence of Ice Accumulation on the Structural Dynamic Behaviour of Composite Rotors" Applied Sciences 10, no. 15: 5063. https://doi.org/10.3390/app10155063
APA StyleFilippatos, A., Dannemann, M., Nguyen, M., Brenner, D., & Gude, M. (2020). Influence of Ice Accumulation on the Structural Dynamic Behaviour of Composite Rotors. Applied Sciences, 10(15), 5063. https://doi.org/10.3390/app10155063

