Study on the Fault Diagnosis Method of Scraper Conveyor Gear under Time-Varying Load Condition
Abstract
Featured Application
Abstract
1. Introduction
2. Fault Diagnosis Method of Scraper Conveyor Gear
2.1. Mathematical Model of Fault Current
2.2. Current Preprocessing Method Based on WPMD and HT
2.3. The Fault Feature Extraction Based on BA
3. Experiment
3.1. Experimental Equipment
3.2. Acquisition of Stator Current
3.3. The Programme of the Proposed Fault Diagnosis Method
4. Results and Discussion
4.1. Preprocessing of Stator Current
4.1.1. Extraction of Fault Frequency Band
4.1.2. Amplitude Demodulation of Fault Frequency Band
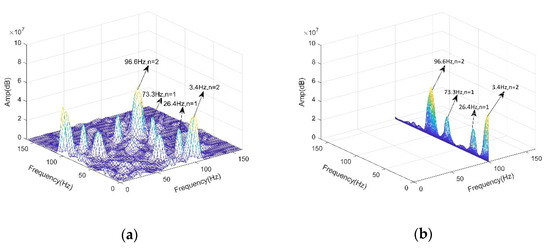
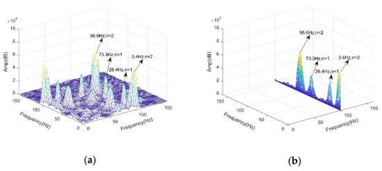
4.2. Fault Characteristic Frequency Extraction and Fault Analysis
5. Conclusions
- The interference of fundamental frequency and impact signal in the current will seriously weaken the gear fault characteristics. The proposed current preprocessing method, which is based on the WPMD and HT, is used to enhance the fault characteristics. When the current signal is decomposed in five layers, the best extraction of the fault frequency band can be achieved, and the effect of eliminating the impact interference is optimal. The extracted best fault frequency band is processed by HT, thus the fundamental frequency of the current can be suppressed.
- The fault characteristic frequency of the gear is extracted successfully by BA, and the quantitative analysis of the fault under time-varying load conditions is realized with BE. With the increase in the load, the BE is 10.84, 14.71, 10.65, 10.49, 10.35 and 10.15, respectively. Obviously, the BE decreases with the increase in the load. The decrease in the BE indirectly reflects that the fault signal in the current is more intense with the increase in the load.
Author Contributions
Funding
Conflicts of Interest
References
- Wu, T.Y.; Chen, J.C.; Wang, C.C. Characterization of Gear Faults in Variable Rotating Speed Using Hilbert-Huang Transform and Instantaneous Dimensionless Frequency Normalization. Mech. Syst. Signal. Process. 2012, 30, 103–122. [Google Scholar] [CrossRef]
- Chinmaya, K.; Mohanty, A.R. Multistage Gearbox Condition Monitoring Using Motor Current Signature Analysis and Kolmogorov-Smirnov Test. Sound Vib. 2006, 290, 337–368. [Google Scholar]
- Yu, J.; He, Y. Planetary Gearbox Fault Diagnosis Based on Data-driven Valued Characteristic Multigranulation Model with Incomplete Diagnostic Information. Sound Vib. 2018, 429, 63–77. [Google Scholar] [CrossRef]
- Aherwar, A.; Khalid, S. Vibration Analysis Techniques for Gearbox Diagnostic: A Review. Int. J. Adv. Eng. Technol. 2012, 3, 4–12. [Google Scholar]
- Yang, D.; Liu, Y.; Li, S.; Li, X.; Ma, L. Gear Fault Diagnosis Based on Support Vector Machine Optimized by Artificial Bee Colony Algorithm. Mech. Mach. Theory 2015, 90, 219–229. [Google Scholar] [CrossRef]
- Wang, D.-F.; Guo, Y.; Wu, X.; Na, J.; Litak, G. Planetary-Gearbox Fault Classification by Convolutional Neural Network and Recurrence Plot. Appl. Sci. 2020, 10, 932. [Google Scholar] [CrossRef]
- Jin, X.; Cheng, F.; Peng, Y.; Qiao, W.; Qu, L. A Comparative Study on Vibration and Current-based Approaches for Drivetrain Gearbox Fault Diagnosis. In Proceedings of the IEEE Industry Application Society 52nd Annual Meeting IAS 2016, Portland, OR, USA, 2–6 October 2016; pp. 1–8. [Google Scholar]
- Kar, C.; Mohanty, A.R. Vibration and Current Transient Monitoring for Gearbox Fault Detection Using Multiresolution Fourier Transform. J. Sound Vib. 2008, 311, 109–132. [Google Scholar] [CrossRef]
- Mohanty, A.R.; Kar, C. Monitoring Gear Vibrations through Motor Current Signature Analysis and Wavelet Transform. Mech. Syst. Signal Process. 2006, 20, 158–187. [Google Scholar]
- Zhang, J.; Dhupia, J.S.; Gajanayake, C.J. Stator Current Analysis from Electrical Machines Using Resonance Residual Technique to Detect Faults in Planetary Gearboxes. IEEE Trans. Ind. Electron. 2015, 62, 5709–5721. [Google Scholar] [CrossRef]
- Cheng, F.Z.; Peng, Y.Y.; Qu, L.Y.; Qiao, W. Current-based Fault Detection and Identification for Wind Turbine Drivetrain Gearboxes. IEEE Trans. Ind. Appl. 2017, 53, 878–887. [Google Scholar] [CrossRef]
- Kia, S.H.; Henao, H.; Capolino, G.A. Torsional Vibration Assessment Using Induction Machine Electromagnetic Torque Estimation. IEEE Trans. Ind. Electron. 2010, 57, 209–219. [Google Scholar] [CrossRef]
- Da Silva, A.M.; Povinelli, R.J.; Demerdash, N.A. Induction Machine Broken Bar and Stator Short-circuit Fault Diagnostics Based on Three-phase Stator Current Envelopes. IEEE Trans. Ind. Electron. 2008, 55, 1310–1318. [Google Scholar] [CrossRef]
- Treetrong, J.; Sinha, J.K.; Gu, F.; Ball, A. Bispectrum of Stator Phase Current for Fault Detection of Induction Motor. ISA Trans. 2009, 48, 378–382. [Google Scholar] [CrossRef] [PubMed][Green Version]
- Inaki, B.L.; Hossein, D.A.; Liu, Z.C.; Alfredo, G.A.; Aitor, A.; Jay, L. Motor Current Signature Analysis for Gearbox Condition Monitoring Under Transient Speeds Using Wavelet Analysis and Dual-level Time Synchronous Averaging. Mech. Syst. Signal. Process. 2017, 94, 73–84. [Google Scholar]
- Dineva, A.; Mosavi, A.; Gyimesi, M.; Vajda, I.; Nabipour, N.; Rabczuk, T. Fault Diagnosis of Rotating Electrical Machines Using Multi-Label Classification. Appl. Sci. 2019, 9, 5086. [Google Scholar] [CrossRef]
- Kia, S.H.; Henao, H.; Capolino, G.A. Gear Tooth Surface Damage Fault Detection Using Induction Machine Stator Current Space Vector Analysis. IEEE Trans. Ind. Electron. 2014, 62, 1866–1878. [Google Scholar] [CrossRef]
- Feng, Z.; Zuo, M.J. Fault Diagnosis of Planetary Gearboxes via Torsional Vibration Signal Analysis. Mech. Syst. Signal. Process. 2013, 36, 401–421. [Google Scholar] [CrossRef]
- Wang, J.; Wang, J.; Du, W.; Zhang, J.; Wang, Z.; Wang, G.; Li, T. Application of a New Enhanced Deconvolution Method in Gearbox Fault Diagnosis. Appl. Sci. 2019, 9, 5313. [Google Scholar] [CrossRef]
- Wang, W. Early Detection of Gear Tooth Cracking Using the Resonance Demodulation Technique. Mech. Syst. Signal Process. 2006, 20, 332–349. [Google Scholar] [CrossRef]
- Feki, N.; Clerc, G.; Velex, P. Gear and Motor Fault Modeling and Detection Based on Motor Current Analysis. Electr. Power Syst. Res. 2013, 95, 28–37. [Google Scholar] [CrossRef]
- Sanz, J.; Perera, R.; Huerta, C. Gear Dynamics Monitoring Using Discrete Wavelet Transformation and Multi-layer Perceptron Neural Networks. Appl. Soft Comput. 2012, 12, 2867–2878. [Google Scholar] [CrossRef]
- Gu, F.; Shao, Y.; Hu, N.; Naid, A.; Ball, A.D. Electrical Motor Current Signal Analysis Using a Modified Bispectrum for Fault Diagnosis of Downstream Mechanical Equipment. Mech. Syst. Signal. Process. 2011, 25, 360–372. [Google Scholar]
- Neil, A.; Jim, P. Induction Machine Condition Monitoring with Higher Order Spectra. IEEE Trans. Ind. Electron. 2000, 47, 1031–1041. [Google Scholar]
- Ding, H.; Kahraman, A. Interactions between Nonlinear Spur Gear Dynamics and Surface Wear. J. Sound Vib. 2007, 307, 662–679. [Google Scholar] [CrossRef]
- Yacamini, R.; Smith, K.S.; Ran, L. Monitoring Torsional Vibrations of Electromechanical Systems Using Stator Currents. J. Vib. Acoust. 1998, 120, 72–79. [Google Scholar] [CrossRef]
- Feki, N.; Clerc, G.; Velex, P. An Integrated Electro-mechanical Model of Motorgear Units – Applications to Tooth Fault Detection by Electric Measurements. Mech. Syst. Signal Process. 2012, 29, 377–390. [Google Scholar] [CrossRef]
- Chai, N.; Yang, M.; Ni, Q.N.; Xu, D.G. Gear Fault Diagnosis Based on Dual Parameter Optimized Resonance-based Sparse Signal Decomposition of Motor Current. IEEE Trans. Ind. Appl. 2018, 54, 3782–3792. [Google Scholar] [CrossRef]
- Wang, L.; Liu, Z.W.; Cao, H.R.; Zhang, X. Subband Averaging Kurtogram with Dual-tree Complex Wavelet Packet Transform for Rotating Machinery Fault Diagnosis. Mech. Syst. Signal. Process. 2020, 142, 106755. [Google Scholar] [CrossRef]
- Li, G.; Deng, C.; Wu, J.; Chen, Z.; Xu, X. Rolling Bearing Fault Diagnosis Based on Wavelet Packet Transform and Convolutional Neural Network. Appl. Sci. 2020, 10, 770. [Google Scholar] [CrossRef]
- Li, F.; Pang, X.Y.; Yang, Z.J. Fault Diagnosis Method of Gear Broken and Wear Based on Motor Current Signature Analysis. Sci. Technol. Eng. 2018, 18, 48–52. [Google Scholar]

























| Input Rotate Speed (r/min) | Mass (kg) | Power (Kw) | Rotating Frequency of Faulty Gear (Hz) |
|---|---|---|---|
| 1400 | 8150 | 1500 | 23.3 |
| Frequency Band Number | Range of Frequency Band |
|---|---|
| 1 | 0–312.5 Hz |
| 2 | 312.5–625 Hz |
| 3 | 625–937.5 Hz |
| 4 | 937.5–1250 Hz |
| Frequency Band Number | Range of Frequency Band |
|---|---|
| 1 | 0–156.3 Hz |
| 2 | 156.3–312.5 Hz |
| 3 | 312.5–468.8 Hz |
| 4 | 468.8–625 Hz |
| Frequency Band Number | Range of Frequency Band |
|---|---|
| 1 | 0–78.2 Hz |
| 2 | 78.2–156.3 Hz |
| 3 | 156.3–234.5 Hz |
| 4 | 234.5–312.5 Hz |
© 2020 by the authors. Licensee MDPI, Basel, Switzerland. This article is an open access article distributed under the terms and conditions of the Creative Commons Attribution (CC BY) license (http://creativecommons.org/licenses/by/4.0/).
Share and Cite
Zhao, S.; Wang, P.; Li, S. Study on the Fault Diagnosis Method of Scraper Conveyor Gear under Time-Varying Load Condition. Appl. Sci. 2020, 10, 5053. https://doi.org/10.3390/app10155053
Zhao S, Wang P, Li S. Study on the Fault Diagnosis Method of Scraper Conveyor Gear under Time-Varying Load Condition. Applied Sciences. 2020; 10(15):5053. https://doi.org/10.3390/app10155053
Chicago/Turabian StyleZhao, Shuanfeng, Pengfei Wang, and Shijun Li. 2020. "Study on the Fault Diagnosis Method of Scraper Conveyor Gear under Time-Varying Load Condition" Applied Sciences 10, no. 15: 5053. https://doi.org/10.3390/app10155053
APA StyleZhao, S., Wang, P., & Li, S. (2020). Study on the Fault Diagnosis Method of Scraper Conveyor Gear under Time-Varying Load Condition. Applied Sciences, 10(15), 5053. https://doi.org/10.3390/app10155053

