Quartz Enhanced Conductance Spectroscopy for Polymer Nano-Mechanical Thermal Analysis
Abstract
1. Introduction
2. Experimental Section
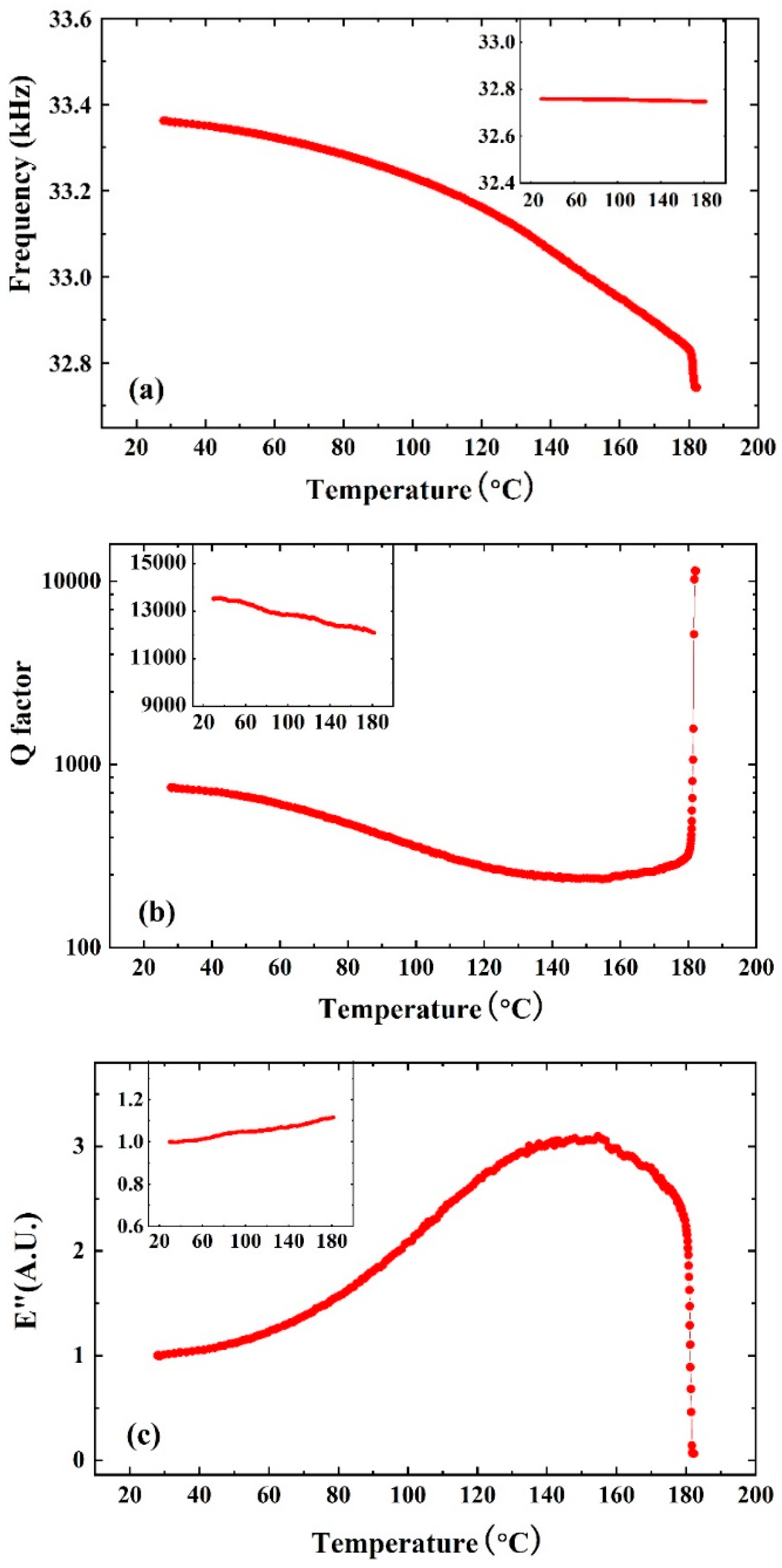
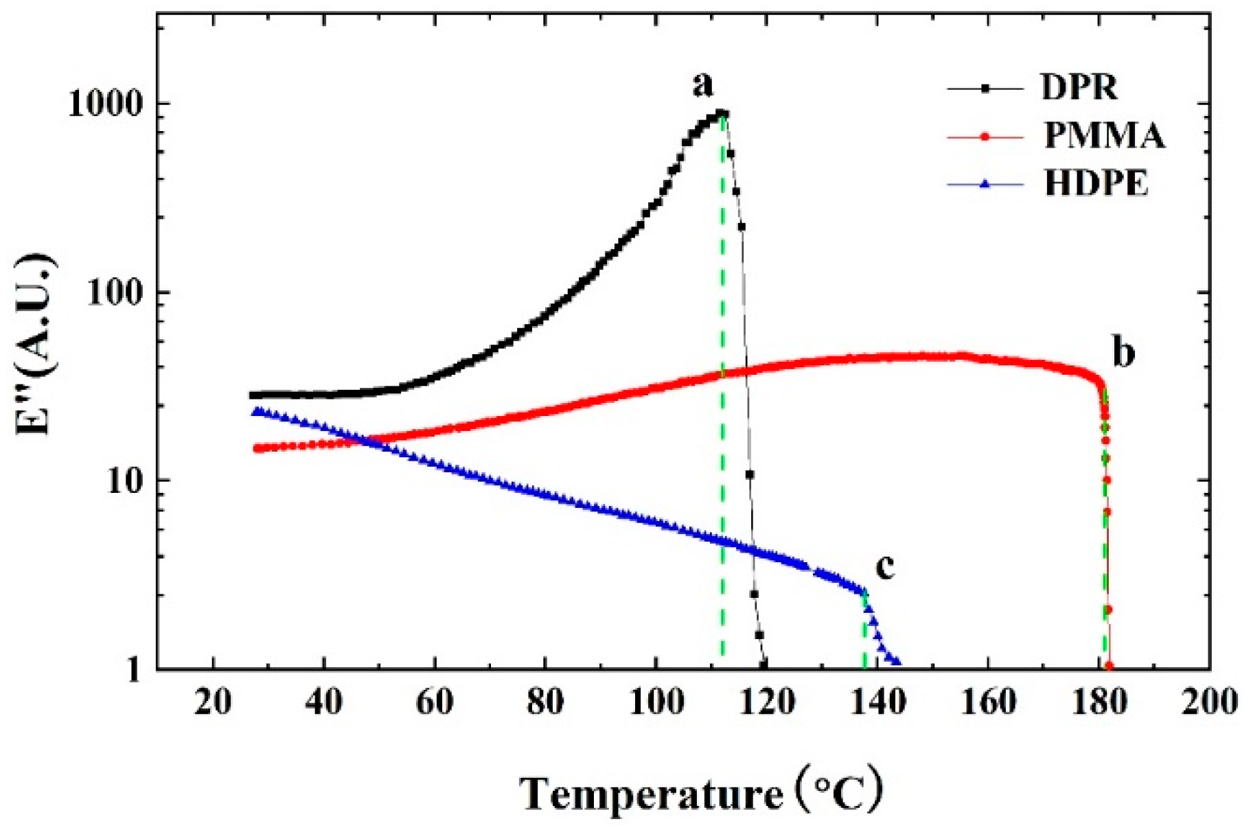
3. Results
4. Conclusions
Author Contributions
Funding
Acknowledgments
Conflicts of Interest
References
- Jackson, N.; Dhir, R.K. Coarser- and Finer-grained Soils. Macmillan Educ. UK 1996, 367–372. [Google Scholar]
- Moller, K.; Bein, T.; Fischer, R.X. Entrapment of PMMA polymer strands in micro-and mesoporous materials. Chem. Mater. 1998, 10, 1841–1852. [Google Scholar] [CrossRef]
- Nunes, J.K.; Ertas, M.; Du, L.; DeSimone, J.M. Hierarchical control of polymer composite nano-and micro-structure with lithography. Chem. Mater. 2010, 22, 4069–4075. [Google Scholar] [CrossRef]
- Tu, S.; Wang, B.; Chen, Y.; Li, Z.; Luo, X. Polymeric Nanocubes Spontaneously Formed from Poly(ε-caprolactone). ACS Macro Lett. 2012, 1, 933–936. [Google Scholar] [CrossRef]
- Bose, S.; Schmid, S.; Larsen, T.; Keller, S.S.; Sommer-Larsen, P.; Boisen, A.; Almdal, K. Micromechanical string resonators: Analytical tool for thermal characterization of polymers. ACS Macro Lett. 2013, 3, 55–58. [Google Scholar] [CrossRef]
- Qi, H.; Zhou, T.; Mei, S.; Chen, X.; Li, C.Y. Responsive shape change of sub-5 nm thin, Janus polymer nanoplates. ACS Macro Lett. 2016, 5, 651–655. [Google Scholar] [CrossRef]
- Huang, G.; Tian, L.; Liu, K.; Hu, B.; Xu, F.; Lu, T.; Naik, R.R.; Singamaneni, S. Elastoplastic deformation of silk micro-and nanostructures. ACS Biomater. Sci. Eng. 2016, 2, 893. [Google Scholar] [CrossRef]
- Rockwood, D.N.; Preda, R.C.; Yücel, T.; Wang, X.; Lovett, M.L.; Kaplan, D.L. Materials fabrication from Bombyx mori silk fibroin. Nat. Protocols. 2011, 6, 1612. [Google Scholar] [CrossRef]
- Porter, D.; Vollrath, F. Silk as a biomimetic ideal for structural polymers. Adv. Mater. 2009, 21, 487–492. [Google Scholar] [CrossRef]
- Hu, X.; Shmelev, K.; Sun, L.; Gil, E.S.; Park, S.H.; Cebe, P.; Kaplan, D.L. Regulation of silk material structure by temperature-controlled water vapor annealing. Biomacromolecules 2011, 12, 1686–1696. [Google Scholar] [CrossRef]
- Siavosh-Haghighi, A.; Thompson, D.L. Melting Point Determination from Solid−Liquid Coexistence Initiated by Surface Melting. J. Phys. Chem. C 2007, 111, 7980–7985. [Google Scholar] [CrossRef]
- Deman, J.M.; Deman, L.; Blackman, B. Melting-point determination of fat products. J. Am. Oil Chem. Soc. 1983, 60, 91–94. [Google Scholar] [CrossRef]
- Wunderlich, B.; Kashdan, W.H. Thermodynamics of crystalline linear high polymers. I. Comparison of the melting transitions of solution and melt-crystallized polyethylene. J. Polymer Sci. 1961, 50, 71–78. [Google Scholar] [CrossRef]
- Shvartsburg, A.A.; Jarrold, M.F. Solid clusters above the bulk melting point. Phys. Rev. Lett. 2000, 85, 2530. [Google Scholar] [CrossRef]
- Tubbs, R.K. Melting point and heat of fusion of poly (vinyl alcohol). J. Polymer Sci. 1965, 3, 4181–4189. [Google Scholar] [CrossRef]
- Zhang, Y.; Faghri, A. Melting of a subcooled mixed powder bed with constant heat flux heating. Int. J. Heat Mass Transfer. 1999, 42, 775–788. [Google Scholar] [CrossRef]
- Nassu, R.T.; Goncalves, L.A.G. Determination of melting point of vegetable oils and fats by differential scanning calorimetry (DSC) technique. Grasas Y Aceites. 1999, 50, 16–21. [Google Scholar] [CrossRef]
- Bian, W.; He, G. Measuring melting point and enthalpy of wax by DSC method. Chem. Eng. 2014, 42, 40–42. [Google Scholar]
- Berger, R.; Gerber, C.; Gimzewski, J.K.; Meyer, E.; Güntherodt, H.J. Thermal analysis using a micromechanical calorimeter. Appl. Phys. Lett. 1996, 69, 40–42. [Google Scholar] [CrossRef]
- Hamley, I.W.; Castelletto, V.; Castillo, R.V.; Müller, A.J.; Martin, C.M.; Pollet, E.; Dubois, P. Crystallization in Poly(L-lactide)-b-poly(ϵ-caprolactone) Double Crystalline Diblock Copolymers: A Study Using X-ray Scattering, Differential Scanning Calorimetry, and Polarized Optical Microscopy. Macromolecules 2005, 38, 463–472. [Google Scholar] [CrossRef]
- Zhang, L.; Xiong, C.; Deng, X. Miscibility, crystallization and morphology of poly (β-hydroxybutyrate)/poly (d, l-lactide) blends. Polymer 1996, 37, 235–241. [Google Scholar] [CrossRef]
- Blümm, E.; Owen, A.J. Miscibility, crystallization and melting of poly (3-hydroxybutyrate)/poly (L-lactide) blends. Polymer 1995, 36, 4077–4081. [Google Scholar] [CrossRef]
- Barbic, M.; Eliason, L.; Ranshaw, J. Femto-Newton force sensitivity quartz tuning fork sensor. Sens. Actuators. 2007, 136, 564–566. [Google Scholar] [CrossRef]
- Otero, J.; Gonzalez, L.; Puig-Vidal, M. Nanocharacterization of soft biological samples in shear mode with quartz tuning fork probes. Sensors 2012, 12, 4803–4819. [Google Scholar] [CrossRef] [PubMed]
- Zheng, H.; Yin, X.; Zhang, G.; Dong, L.; Wu, H.; Liu, X.; Ma, W.; Zhang, L.; Yin, W.; Xiao, L.; et al. Quartz-enhanced conductance spectroscopy for nanomechanical analysis of polymer wire. Appl. Phys. Lett. 2015, 107, 221903. [Google Scholar] [CrossRef]
- Ma, Y.; Qiao, S.; Patimisco, P.; Sampaolo, A.; Wang, Y.; Tittel, F.K.; Spagnolo, V. In-plane quartz-enhanced photoacoustic spectroscopy. Appl. Phys. Lett. 2020, 116, 061101. [Google Scholar] [CrossRef]
- Yin, X.; Dong, L.; Zheng, H.; Liu, X.; Wu, H.; Yang, Y.; Ma, W.; Zhang, L.; Yin, W.; Xiao, L.; et al. Impact of humidity on quartz-enhanced photoacoustic spectroscopy based CO detection using a near-IR telecommunication diode laser. Sensors 2016, 16, 162. [Google Scholar] [CrossRef]
- Weidmann, D.; Kosterev, A.A.; Tittel, F.K.; Ryan, N.; McDonald, D. Application of a widely electrically tunable diode laser to chemical gas sensing with quartz-enhanced photoacoustic spectroscopy. Opt. Lett. 2004, 29, 1837–1839. [Google Scholar] [CrossRef]
- Chen, K.; Zhang, B.; Guo, M.; Chen, Y.; Deng, H.; Yang, B.; Liu, S.; Ma, F.; Zhu, F.; Gong, Z.; et al. Photoacoustic trace gas detection of ethylene in high-concentration methane background based on dual light sources and fiber-optic microphone. Sens. Actuators B Chem. 2020, 310, 127825. [Google Scholar] [CrossRef]
- Becker, P.M.; Olsson, A.A.; Simpson, J.R. Erbium-Doped Fiber Amplifiers: Fundamentals and Technology; Academic Press: San Diego, CA, USA, 1999. [Google Scholar]
- Wu, H.; Dong, L.; Zheng, H.; Liu, X.; Yin, X.; Ma, W.; Zhang, L.; Yin, W.; Jia, S.; Tittel, F.K. Enhanced near-infrared QEPAS sensor for sub-ppm level H2S detection by means of a fiber amplified 1582 nm DFB laser. Sens. Actuators B Chem. 2015, 221, 666–672. [Google Scholar] [CrossRef]
- Zheng, H.; Dong, L.; Liu, X.; Liu, Y.; Wu, H.; Ma, W.; Zhang, L.; Yin, W.; Jia, S. Near-IR telecommunication diode laser based double-pass QEPAS sensor for atmospheric CO2 detection. Laser Phys. 2015, 25, 125601. [Google Scholar] [CrossRef]
- Chen, K.; Zhang, B.; Liu, S.; Yu, Q. Parts-per-billion-level detection of hydrogen sulfide based on near-infrared all-optical photoacoustic spectroscopy. Sens. Actuators B Chem. 2019, 283, 1–5. [Google Scholar] [CrossRef]
- Kosterev, A.A.; Bakhirkin, Y.A.; Curl, R.F.; Tittel, F.K. Quartz-enhanced photoacoustic spectroscopy. Opt. Lett. 2002, 27, 1902–1904. [Google Scholar] [CrossRef]
- Dong, L.; Kosterev, A.A.; Thomazy, D.; Tittel, F.K. QEPAS spectrophones: Design, optimization, and performance. Appl. Phys. B 2010, 100, 627–635. [Google Scholar] [CrossRef]
- Dong, L.; Spagnolo, V.; Lewicki, R.; Tittel, F.K. Ppb-level detection of nitric oxide using an external cavity quantum cascade laser based QEPAS sensor. Opt. Express. 2011, 19, 24037–24045. [Google Scholar] [CrossRef]
- Kosterev, A.A.; Tittel, F.K.; Serebryakov, D.V.; Malinovsky, A.L.; Morozov, I.V. Applications of quartz tuning forks in spectroscopic gas sensing. Rev. Sci. Instrum. 2005, 76, 043105. [Google Scholar] [CrossRef]
- Liu, K.; Li, J.; Wang, L.; Tan, T.; Zhang, W.; Gao, X.; Chen, W.; Tittel, F.K. Trace gas sensor based on quartz tuning fork enhanced laser photoacoustic spectroscopy. Appl. Phys. B 2009, 94, 527–533. [Google Scholar] [CrossRef]
- Ma, Y.; Qiao, S.; He, Y.; Li, Y.; Zhang, Z.; Yu, X.; Tittel, F.K. Highly sensitive acetylene detection based on multi-pass retro-reflection-cavity-enhanced photoacoustic spectroscopy and a fiber amplified diode laser. Opt. Express. 2019, 27, 14163–14172. [Google Scholar] [CrossRef]
- Wu, H.; Dong, L.; Zheng, H.; Liu, Y.; Ma, W.; Zhang, L.; Wang, W.; Zhu, Q.; Yin, W.; Jia, S. Purity analysis of helium using quartz-enhanced photoacoustic spectroscopy with two non-resonant micro-tubes. Acta Phys. Sin. 2013, 62, 070701. [Google Scholar]
- Spagnolo, V.; Patimisco, P.; Borri, S.; Scamarcio, G.; Bernacki, B.E.; Kriesel, J. Mid-infrared fiber-coupled QCL-QEPAS sensor. Appl. Phys. B 2013, 112, 25–33. [Google Scholar] [CrossRef]
- Wysocki, G.; Kosterev, A.A.; Tittel, F.K. Influence of molecular relaxation dynamics on quartz-enhanced photoacoustic detection of CO2 at λ = 2 μm. Appl. Phys. 2006, 85, 301–306. [Google Scholar] [CrossRef]
- Schilt, S.; Kosterev, A.A.; Tittel, F.K. Performance evaluation of a near infrared QEPAS based ethylene sensor. Appl. Phys. B 2009, 95, 813–824. [Google Scholar] [CrossRef]
- Bontempi, A.; Nguyen, T.P.; Salut, R.; Thiery, L.; Teyssieux, D.; Vairac, P. Scanning thermal microscopy based on a quartz tuning fork and a micro-thermocouple in active mode (2ω method). Rev. Sci. Instrum. 2016, 87, 063702. [Google Scholar] [CrossRef]
- Qi, F.; Shang, S.; Gao, H.; Wang, D.; Wang, J. Current Application of Rosin and Modified Rosin in Fluxes. Biomass. Chem. Eng. 2014, 48, 56–61. [Google Scholar]
- Qi, F.; Cai, Z.; Shang, S.; Huang, X. Effects of Rosin and Modified Rosin on Welding Performance of Sn0.7Cu Solder. Chem. Ind. Forest Prod. 2015, 35, 53–57. [Google Scholar]
- Song, G.; Wang, H.; Wang, L.; Li, P. Optimization of Lubricant and Thermodynamic Property of HDPE-g-MAH Compatibilized HDPE/Wood Flour Composite. China. Plast. Ind. 2006, 34, 53–56. [Google Scholar]
- Jiang, B.; Yin, X.; Weng, C.; Wang, J. HDPE static non-isothermal crystallization in micro-injection molding process. J. Cent. South Univ. (Sci. Technol.) 2007, 38, 912–916. [Google Scholar]
- Wang, X.; Huang, Z. Melt-Electrospinning of Pmma. Chin. J. Polym. Sci. 2010, 28, 45–53. [Google Scholar] [CrossRef]





| Frequency (Hz) | Q Factor | Resistance (kΩ) | |
|---|---|---|---|
| QTF in the vacuum metal shell | 32,764.3 | 73,131 | 12.07 |
| QTF in the atmosphere | 32,758.9 | 13,537 | 67.75 |
| PMMA microwire modified QTF (MM-QTF) | 33,362.2 | 920 | 390.83 |
© 2020 by the authors. Licensee MDPI, Basel, Switzerland. This article is an open access article distributed under the terms and conditions of the Creative Commons Attribution (CC BY) license (http://creativecommons.org/licenses/by/4.0/).
Share and Cite
Li, S.; Sun, B.; Shang, Z.; Li, B.; Cui, R.; Wu, H.; Dong, L. Quartz Enhanced Conductance Spectroscopy for Polymer Nano-Mechanical Thermal Analysis. Appl. Sci. 2020, 10, 4954. https://doi.org/10.3390/app10144954
Li S, Sun B, Shang Z, Li B, Cui R, Wu H, Dong L. Quartz Enhanced Conductance Spectroscopy for Polymer Nano-Mechanical Thermal Analysis. Applied Sciences. 2020; 10(14):4954. https://doi.org/10.3390/app10144954
Chicago/Turabian StyleLi, Shangzhi, Bo Sun, Zhijin Shang, Biao Li, Ruyue Cui, Hongpeng Wu, and Lei Dong. 2020. "Quartz Enhanced Conductance Spectroscopy for Polymer Nano-Mechanical Thermal Analysis" Applied Sciences 10, no. 14: 4954. https://doi.org/10.3390/app10144954
APA StyleLi, S., Sun, B., Shang, Z., Li, B., Cui, R., Wu, H., & Dong, L. (2020). Quartz Enhanced Conductance Spectroscopy for Polymer Nano-Mechanical Thermal Analysis. Applied Sciences, 10(14), 4954. https://doi.org/10.3390/app10144954

