Assessment of Direct Injected Liquefied Petroleum Gas-Diesel Blends for Ultra-Low Soot Combustion Engine Application
Abstract
- Innovative solution to fuel a compression ignition (CI) diesel engine with low-sooting fuels;
- Alternative fuels for diesel engines: new frontiers to exploit high-efficiency CI engines;
- Liquefied petroleum gas (LPG)–diesel blends effective approach for ultra-low soot-NOx engine application;
- Stable and efficient combustion for LPG–diesel blends in CI engines;
- LPG–diesel blend storage modification for CI engine application.
1. Introduction
2. Materials and Methods
2.1. Experimental Setup
2.2. Test Methodology and Fuel Characteristics
- Reference EN590 European commercial diesel;
- Blend of 20%wt of LPG in diesel (DLPG20);
- Blend of 35%wt of LPG in diesel (DLPG35).
3. Results and Discussion
3.1. Hydraulic Characterization
3.2. Combustion Analysis
3.3. Trade-Offs by Exhaust Gas Recirculation (EGR) Sweep
4. Conclusions
- The first part of the activity was devoted to analyzing the effects of using LPG diesel blends with a conventional common rail diesel injector. The hydraulic characterization assessed the effects of the different compressibility and viscosity of the blends, causing an increase in the injection duration, estimated to be approximately 0.1 ms for both tests carried out. On the other hand, a reduction of the hydraulic delay of 0.35–0.4 ms, and proportionally to the LPG content in the blend, was noted. Therefore, fuel-injected values for almost double the diesel amounts are observed, at the same ET, by using the LPG blend. In general, the blends do not alter the injector performance except for the different opening and closing delays, which can be solved through an appropriate calibration of the engine map.
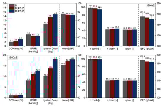
- Concerning the engine test campaign, the results confirmed the need for optimizing the conventional injection strategy (pilot-main) to be appropriate for the DLPG application. Indeed, the lower CN of the DLPG seems critical for HC emissions and combustion efficiency. Optimization should be oriented to improve the charge reactivity during the low-temperature heat release phase and shape the premixed combustion phase for combustion noise control.
- It is worth highlighting that LPG blends are very effective in PM emission suppression that is about 90–95% at very low NOx targets. Acceptable penalties on HC and CO are detected. Based on the presented results, DLPG20 is the best fuel compromise between engine performance and emissions at a constant engine setting.
- In general, soot-less levels can be achieved without deterioration of the thermal efficiency and test-to-test repeatability (COVIMEP), thanks to the promotion of the premixing thanks to the LPG blends.
Author Contributions
Funding
Acknowledgments
Conflicts of Interest
Definitions/Abbreviations
| BMEP | Brake Mean Effective Pressure |
| CA | Crank Angle Degrees |
| CI | Compression Ignition |
| CO | Carbon Monoxide |
| CO2 | Carbon Dioxide |
| cyl | cylinder |
| EC | Energizing Current |
| EGR | Exhaust Gas Recirculation |
| ET | Energizing Time |
| deg | degree |
| HC | Hydrocarbons |
| HRR | Heat Release Rate |
| IMEP | Indicated Mean Effective Pressure |
| IMEPCOV | Covariance of IMEP |
| isX | Indicated Specific Emissions |
| ISFC | Indicated Specific Fuel Consumption |
| LHV | Lower Heating Value |
| LPG | Liquefied Petroleum Gas |
| MBF | Mass Burning Fraction |
| MBF10-90 | Combustion Duration |
| MBF50 | 50% Mass Burning Fraction |
| MPRR | Maximum Pressure Rise Rate |
| NOx | Nitrogen Oxide |
| pback | Backpressure |
| PFI | Port Fuel Injection |
| PM | Particulate Matter |
| prail | Rail Pressure |
| Pcyl | In-Cylinder Pressure |
| Q | Injected amount |
| ROI | Rate of Injection |
| SCE | Single-Cylinder Engine |
| SOI | Start of Injection |
| TDC | Top Dead Centre |
| WLTP | Worldwide Harmonized Light Vehicles Test Procedure |
| ηcomb | Combustion efficiency |
| ηfuel | Global efficiency |
| ηthermal | Thermal efficiency |
Appendix A
Appendix B
References
- CO2 Emissions from Cars: Facts and Figures. Available online: https://www.europarl.europa.eu/pdfs/news/expert/2019/3/story/20190313STO31218/20190313STO31218_en.pdf (accessed on 18 April 2019).
- Martin, J.; Boehman, A.; Topkar, R.; Chopra, S.; Subramaniam, U.; Chen, H. Intermediate combustion modes between conventional diesel and RCCI. SAE Int. J. Engines 2018, 11, 835–860. [Google Scholar] [CrossRef]
- Di Blasio, G.; Belgiorno, G.; Beatrice, C. Effects on performances, emissions and particle size distributions of a dual fuel (methane-diesel) light-duty engine varying the compression ratio. Appl. Energy 2017, 204, 726–740. [Google Scholar] [CrossRef]
- Marialto, R.; Sequino, L.; Di Blasio, G.; Cardone, M.; Beatrice, C.; Ianniello, R.; Fontana, G. Combustion and Emission Characteristics of a Diesel Engine Fuelled with Diesel-LPG Blends. SAE Tech. Pap. 2019. [Google Scholar] [CrossRef]
- Cardone, M.; Mancaruso, E.; Marialto, R.; Sequino, L.; Vaglieco, B.M. Characterization of Combustion and Emissions of a Propane-Diesel Blend in a Research Diesel Engine. SAE Tech. Pap. 2016. [Google Scholar] [CrossRef]
- Aydin, M.; Irgin, A.; Çelik, M.B. The impact of diesel/LPG dual fuel on performance and emissions in a single cylinder diesel generator. Appl. Sci. 2018, 8, 825. [Google Scholar] [CrossRef]
- Alam, M.; Goto, S.; Sugiyama, K.; Kajiwara, M.; Mori, M.; Konno, M.; Motohashi, M.; Oyama, K. Performance and Emissions of a DI Diesel Engine Operated with LPG and Ignition Improving Additives. SAE Tech. Pap. 2001. [Google Scholar] [CrossRef]
- Mancaruso, E.; Marialto, R.; Sequino, L.; Vaglieco, B.M.; Cardone, M. Investigation of the Injection Process in a Research CR Diesel Engine using Different Blends of Propane-Diesel Fuel. SAE Tech. Pap. 2015. [Google Scholar] [CrossRef]
- Cao, J.; Bian, Y.Z.; Qi, D.H.; Cheng, Q.; Wu, T. Comparative investigation of diesel and mixed liquefied petroleum gas/diesel injection engines. Proc. Inst. Mech. Eng. Part D J. Automob. Eng. 2004, 218, 557–565. [Google Scholar] [CrossRef]
- Ma, Z.; Huang, Z.; Li, C.; Wang, X.; Miao, H. Effects of fuel injection timing on combustion and emission characteristics of a diesel engine fueled with diesel- propane blends. Energy Fuels 2007, 21, 1504–1510. [Google Scholar] [CrossRef]
- Bosch, W. The Fuel Rate Indicator: A New Measuring Instrument for Display of the Characteristics of Individual Injection. SAE Tech. Pap. 1966, 660749. [Google Scholar] [CrossRef]
- Montanaro, A.; Allocca, L.; Beatrice, C.; Ianniello, R. Outwardly Opening Hollow-Cone Diesel Spray Characterization under Different Ambient Conditions. SAE Tech. Pap. 2018. [Google Scholar] [CrossRef]
- Litzinger, T.; Stoner, M.; Hess, H.; Boehman, A. Effects of oxygenated blending compounds on emissions from a turbocharged direct injection diesel engine. Int. J. Engine Res. 2000, 1, 57–70. [Google Scholar] [CrossRef]
- Rakopoulos, D.C.; Rakopoulos, C.D.; Kakaras, E.C.; Giakoumis, E.G. Effects of ethanol–diesel fuel blends on the performance and exhaust emissions of heavy duty DI diesel engine. Energy Convers. Manag. 2008, 49, 3155–3162. [Google Scholar] [CrossRef]
- Sanli, A.; Ozsezen, A.N.; Kilicaslan, I.; Canakci, M. The influence of engine speed and load on the heat transfer between gases and in-cylinder walls at fired and motored conditions of an IDI diesel engine. Appl. Therm. Eng. 2008, 28, 1395–1404. [Google Scholar] [CrossRef]
- Al-Hasan, M. Effect of ethanol–unleaded gasoline blends on engine performance and exhaust emission. Energy Convers. Manag. 2003, 44, 1547–1561. [Google Scholar] [CrossRef]
- Di Blasio, G.; Belgiorno, G.; Beatrice, C. Parametric Analysis of Compression Ratio Variation Effects on Thermodynamic, Gaseous Pollutant and Particle Emissions of a Dual-Fuel CH4-Diesel Light Duty Engine. SAE Tech. Pap. 2017. [Google Scholar] [CrossRef]
- Di Blasio, G.; Bonura, G.; Frusteri, F.; Beatrice, C.; Cannilla, C.; Viscardi, M. Experimental Characterization of Diesel Combustion Using Glycerol Derived Ethers Mixtures. SAE Int. J. Fuels Lubr. 2013, 6, 940–950. [Google Scholar] [CrossRef]










| Parameters | Units | Specifications |
|---|---|---|
| Specific displacement | l/cyl | 0.5 |
| Bore × Stroke | mm | 82 × 90.4 |
| Compression Ratio | - | 16.5 |
| Valves per cylinder | - | 4 |
| Nozzle hole number | - | 7 |
| Nozzle cone opening angle | deg | 155 |
| Actuating type | - | Solenoid |
| Fuel Name | DIESEL | DLPG20 | DLPG35 | LPG |
|---|---|---|---|---|
| LPG content w/w [%] | 0 | 20 | 35 | 100 |
| Liquid density [kg/m3] | 836 | 772 | 723 | 514 |
| Mass LHV [MJ/kg] | 42.5 | 43.2 | 43.8 | 46.1 |
| Heat of evaporation [kJ/kg] | 260 | 294 | 320 | 430 |
| Stoichiometric /F [-] | 14.67 | 15.4 | 15.6 | 16.7 |
| Boiling point [°C] | 362 | - | - | −42 |
| Autoignition Temperature [°C] | 250 | - | - | 365–470 |
| H/C [-] | 1.9 | 2.3 | 2.5 | 3.4 |
| Kinematic viscosity [m2/s] | 2.5 × 10−6 | 5.0 × 10−6 | 6.9 × 10−6 | 1.5 × 10−5 |
© 2020 by the authors. Licensee MDPI, Basel, Switzerland. This article is an open access article distributed under the terms and conditions of the Creative Commons Attribution (CC BY) license (http://creativecommons.org/licenses/by/4.0/).
Share and Cite
Ianniello, R.; Di Blasio, G.; Marialto, R.; Beatrice, C.; Cardone, M. Assessment of Direct Injected Liquefied Petroleum Gas-Diesel Blends for Ultra-Low Soot Combustion Engine Application. Appl. Sci. 2020, 10, 4949. https://doi.org/10.3390/app10144949
Ianniello R, Di Blasio G, Marialto R, Beatrice C, Cardone M. Assessment of Direct Injected Liquefied Petroleum Gas-Diesel Blends for Ultra-Low Soot Combustion Engine Application. Applied Sciences. 2020; 10(14):4949. https://doi.org/10.3390/app10144949
Chicago/Turabian StyleIanniello, Roberto, Gabriele Di Blasio, Renato Marialto, Carlo Beatrice, and Massimo Cardone. 2020. "Assessment of Direct Injected Liquefied Petroleum Gas-Diesel Blends for Ultra-Low Soot Combustion Engine Application" Applied Sciences 10, no. 14: 4949. https://doi.org/10.3390/app10144949
APA StyleIanniello, R., Di Blasio, G., Marialto, R., Beatrice, C., & Cardone, M. (2020). Assessment of Direct Injected Liquefied Petroleum Gas-Diesel Blends for Ultra-Low Soot Combustion Engine Application. Applied Sciences, 10(14), 4949. https://doi.org/10.3390/app10144949

