Effect of Coulomb Focusing on the Electron–Atom Bremsstrahlung Cross Section for Tungsten and Iron in Nonthermal Lorentzian Plasmas
Abstract
1. Introduction
2. Mean Effective Charge
3. Electron–Atom Bremsstrahlung and Coulomb Focusing
4. Coulomb Focused Bremsstrahlung Cross Section
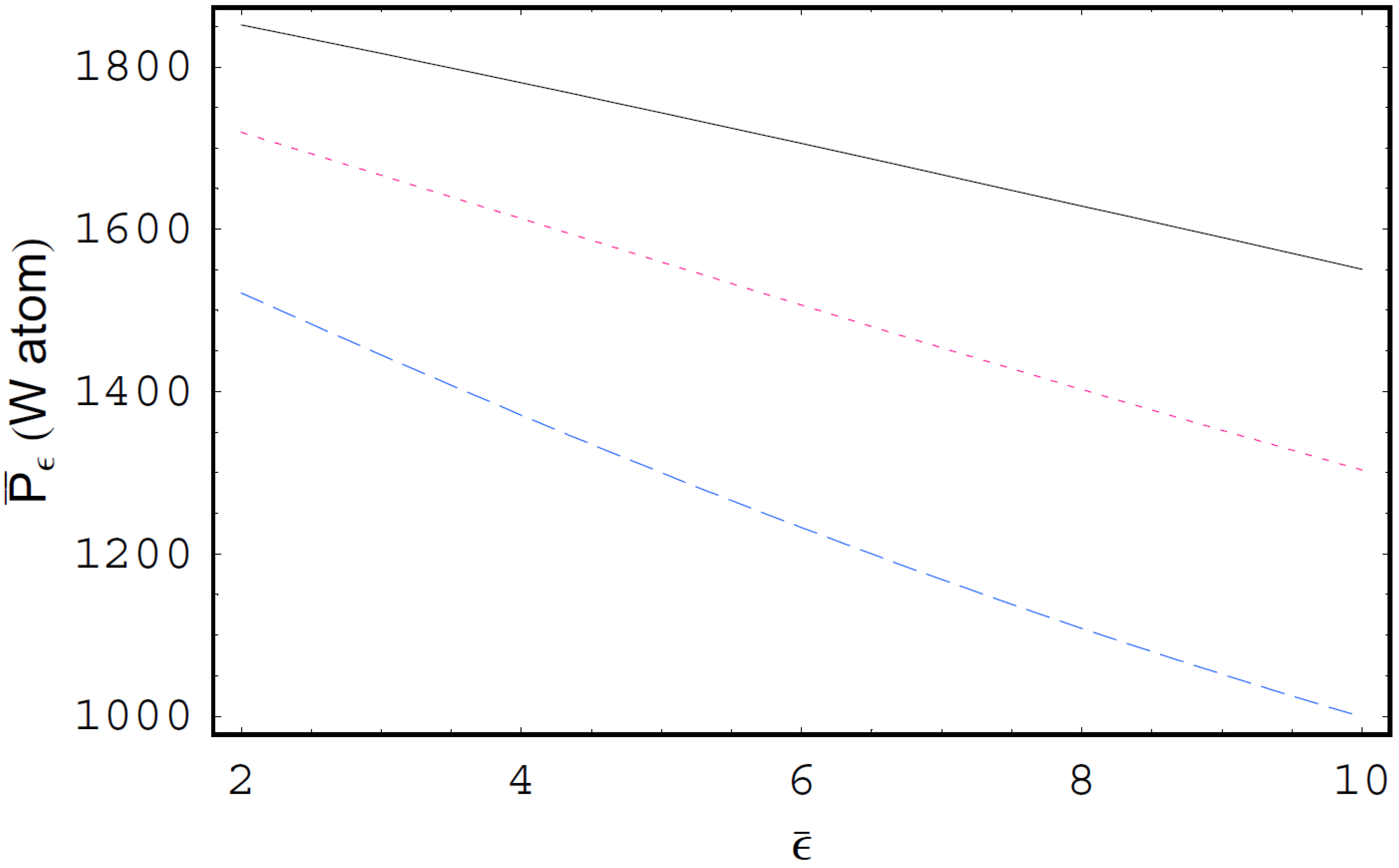
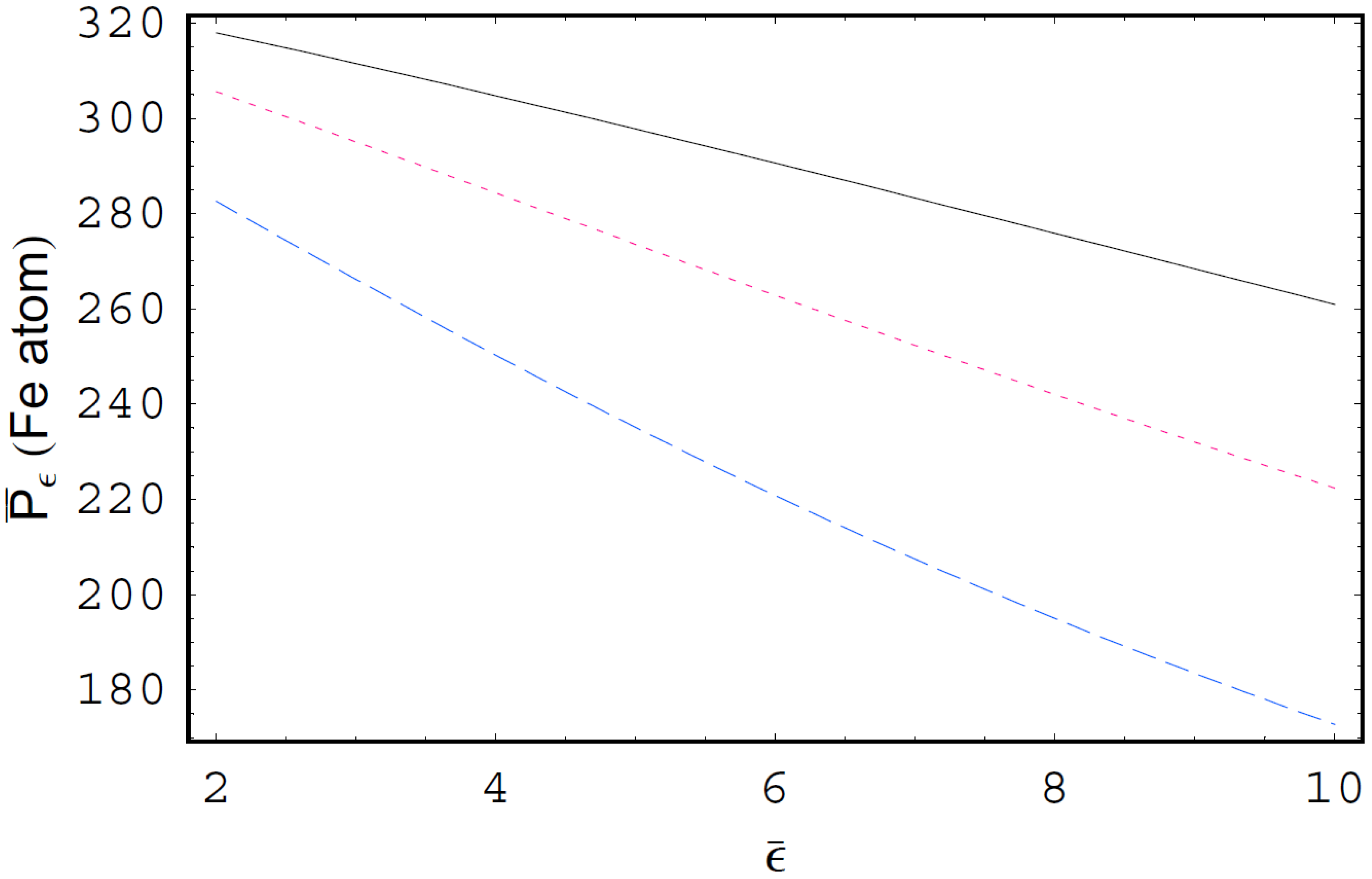
5. Bremsstrahlung Emission Rates in Lorentzian Kappa Plasmas
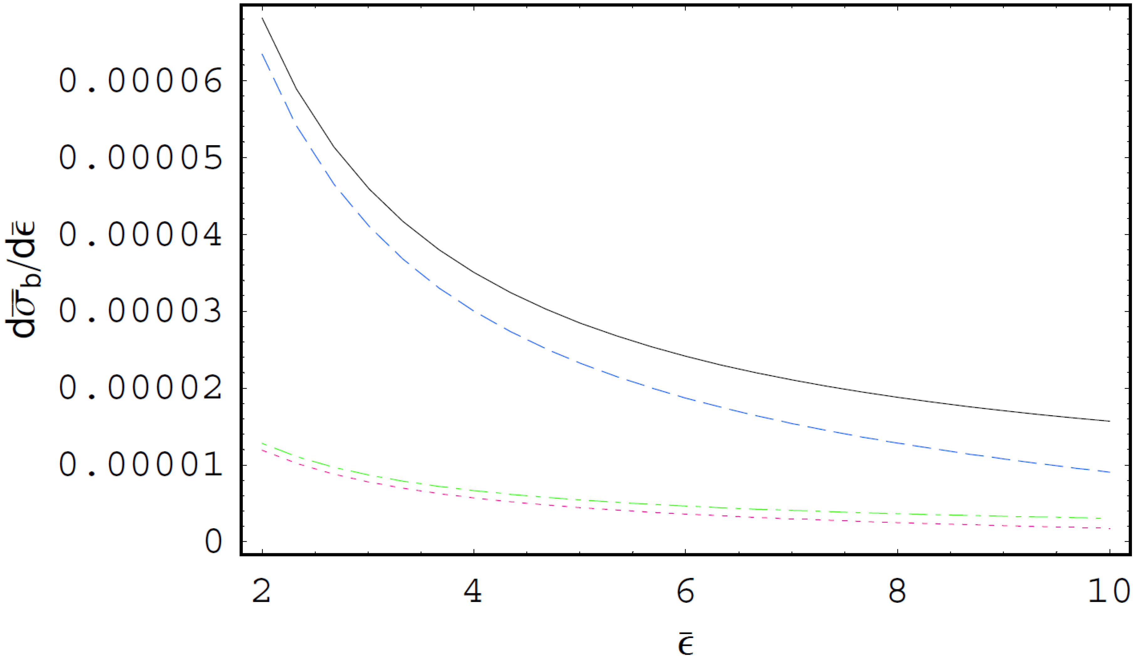
6. Nonthermal and Coulomb Focusing Effects in Lorentzian (Kappa) Plasmas
7. Conclusions
Author Contributions
Funding
Acknowledgments
Conflicts of Interest
References
- Bethe, H.A.; Salpeter, E.E. Quantum Mechanics of One-and Two-Electron Atoms; Springer: Berlin/Heidelberg, Germany, 1957. [Google Scholar]
- Bekefi, G. Radiation Processes in Plasmas; Wiley: New York, NY, USA, 1966. [Google Scholar]
- Blumenthal, G.R.; Gould, R.J. Bremsstrahlung, synchrotron radiation, and Compton scattering of high-energy electrons traversing dilute gases. Rev. Mod. Phys. 1970, 42, 237. [Google Scholar] [CrossRef]
- Gould, R.J. Low-Frequency Bremsstrahlung in Coulomb Scatterings of Nonrelativistic Electrons. Am. J. Phys. 1970, 38, 189. [Google Scholar] [CrossRef]
- Gould, R.J. Thermal bremsstrahlung from high-temperature plasmas. Astrophys. J. 1980, 238, 1026. [Google Scholar] [CrossRef]
- Gould, R.J. Low-energy electron-atom bremsstrahlung. Astrophys. J. 1986, 302, 205. [Google Scholar] [CrossRef]
- Kawakami, R.; Mima, K.; Totsuji, H.; Yokoyama, Y. Bremsstrahlung from hot, dense, partially ionized plasmas. Phys. Rev. A 1988, 38, 3618. [Google Scholar] [CrossRef]
- Gould, R.J. Multipole radiation in charged-particle scattering. Astrophys. J. 1990, 362, 284. [Google Scholar] [CrossRef]
- Jung, Y.-D.; Lee, K.-S. Screening Effects on Nonrelativistic Bremsstrahlung in the Scattering of Electrons by Neutral Atoms. Astrophys. J. 1995, 440, 830. [Google Scholar] [CrossRef][Green Version]
- Jung, Y.-D.; Jeong, H.-D. Bremsstrahlung in electron-ion Coulomb scattering in strongly coupled plasma using the hyperbolic-orbit trajectory method. Phys. Rev. E 1996, 54, 1912. [Google Scholar] [CrossRef]
- Krainov, V.P.; Reiss, H.R.; Smirnovi, B.M. Radiative Processes in Atomic Physics; Wiley: New York, NY, USA, 1997. [Google Scholar]
- Riffert, H.; Klingler, M.; Ruder, H. Bremsstrahlung Emissivity of a Proton-Electron Plasma in a Strong Magnetic Field. Phys. Rev. Lett. 1999, 87, 3432. [Google Scholar] [CrossRef]
- Jung, Y.-D.; Yang, K.-S. Classical Electron-Ion Coulomb Bremsstrahlung in Weakly Coupled Plasmas. Astrophys. J. 1997, 479, 912. [Google Scholar] [CrossRef][Green Version]
- Gould, R.J. Electromagnetic Processes; Princeton University Press: Princeton, NJ, USA, 2006. [Google Scholar]
- Haug, E. Bremsstrahlung cross-section with screening and Coulomb corrections at high energies. Rad. Phys. Chem. 2008, 77, 207. [Google Scholar] [CrossRef]
- Mott, N.F.; Massey, H.S.W. The Theory of Atomic Collisions, 3rd ed.; Oxford University Press: Oxford, UK, 1987; Volume II. [Google Scholar]
- Hasegawa, A.; Mima, K.; Duong-van, M. Plasma Distribution Function in a Superthermal Radiation Field. Phys. Rev. Lett. 1985, 54, 2608. [Google Scholar] [CrossRef]
- Hasegawa, A.; Sato, T. Space Plasma Physics; Stationary Processes; Springer: Berlin/Heidelberg, Germany, 1989; Volume 1. [Google Scholar]
- Rubab, N.; Murtaza, G. Dust-charge fluctuations with non-Maxwellian distribution functions. Phys. Scr. 2006, 73, 178. [Google Scholar] [CrossRef]
- Rubab, N.; Murtaza, G. Debye length in non-Maxwellian plasmas. Phys. Scr. 2006, 74, 145. [Google Scholar] [CrossRef]
- Mendis, D.A.; Rosenberg, M. Cosmic dusty plasma. Annu. Rev. Astron. Astrophys. 1994, 32, 419. [Google Scholar] [CrossRef]
- Bransden, B.H.; Joachain, C.J. Physics of Atoms and Molecules, 2nd ed.; Prentice Hall: Harlow, UK, 2003. [Google Scholar]
- Jung, Y.-D. A simple correction for the Born approximation for electron impact excitation of hydrogenic ions. Astrophys. J. 1992, 396, 725. [Google Scholar] [CrossRef]
- Summers, D.; Thorne, R.M. Landau damping in space plasmas. Phys. Fluids B 1991, 3, 2117. [Google Scholar]
- Park, S.; Choe, W.; Moon, S.Y.; Park, J. Electron density and temperature measurement by continuum radiation emitted from weakly ionized atmospheric pressure plasmas. Appl. Phys. Lett. 2014, 104, 084103. [Google Scholar] [CrossRef]
- Ebeling, W.; Fortov, V.E.; Filinov, V. Quantum Statistics of Dense Gases and Nonideal Plasmas; Springer: Cham, Switzerland, 2017. [Google Scholar]
- Tallents, G.J. An Introduction to the Atomic and Radiation Physics of Plasmas; Cambridge University Press: Cambridge, UK, 2018. [Google Scholar]
- Hoppe, M.; Embréus, O.; Paz-Soldan, C.; Moyer, R.A.; Fülöp, T. Interpretation of runaway electron synchrotron and bremsstrahlung images. Nucl. Fusion 2018, 58, 082001. [Google Scholar] [CrossRef]
- Lin, C.Y.; Ho, Y.K. Influence of Debye plasmas on photoionization of Li-like ions: Emergence of Cooper minima. Phys. Rev. A 2010, 81, 033405. [Google Scholar] [CrossRef]
- Lin, C.Y.; Ho, Y.K. Photoionization cross sections of hydrogen impurities in spherical quantum dots using the finite-element discrete-variable representation. Phys. Rev. A 2011, 84, 023407. [Google Scholar] [CrossRef]
- Jung, Y.-D.; Gould, R.J. Energies and wave functions for many-electron atoms. Phys. Rev. A 1991, 44, 111. [Google Scholar] [CrossRef]
- Jung, Y.-D. Screening effects for transition probabilities in collisions of charged particles with an atom or stripped ion. Phys. Rev. A 1994, 50, 3895. [Google Scholar] [CrossRef]
- Kim, S.-H.; Merlino, R.L. Electron attachment to C7F14 and SF6 in a thermally ionized potassium plasma. Phys. Rev. E 2007, 76, 035401(R). [Google Scholar] [CrossRef] [PubMed]
- Heinrich, J.; Kim, S.-H.; Merlino, R.L. Observations of a structure-forming instability in a dc-glow-discharge dusty plasma. Phys. Rev. E 2011, 84, 026403. [Google Scholar] [CrossRef] [PubMed]
- Akbari-Moghanjoughi, M.; Shukla, P.K. Theory for large-amplitude electrostatic ion shocks in quantum plasmas. Phys. Rev. E 2012, 86, 066401. [Google Scholar] [CrossRef]
- Shukla, P.K.; Akbari-Moghanjoughi, M. Hydrodynamic theory for ion structure and stopping power in quantum plasmas. Phys. Rev. E 2013, 87, 043106. [Google Scholar] [CrossRef]
- Dzhumagulova, K.N.; Masheeva, R.U.; Ramazanov, T.S.; Donkó, Z. Effect of magnetic field on the velocity autocorrelation and the caging of particles in two-dimensional Yukawa liquids. Phys. Rev. E 2014, 89, 033104. [Google Scholar] [CrossRef] [PubMed]
- Ramazanov, T.S.; Moldabekov, Z.A.; Gabdullin, M.T. Multipole expansion in plasmas: Effective interaction potentials between compound particles. Phys. Rev. E 2016, 93, 053204. [Google Scholar] [CrossRef]
- Lee, M.-J.; Jung, Y.-D. Eikonal-Glauber Thomas-Fermi model for atomic collisions with many-electron atoms for plasma applications. J. Plasma Phys. 2018, 84, 905840313. [Google Scholar] [CrossRef]
- Griem, H. Principles of Plasma Spectroscopy; Cambridge University Press: Cambridge, UK, 1997. [Google Scholar]
- Fujimoto, T. Plasma Spectroscopy; Oxford University Press: Oxford, UK, 2004. [Google Scholar]






© 2020 by the authors. Licensee MDPI, Basel, Switzerland. This article is an open access article distributed under the terms and conditions of the Creative Commons Attribution (CC BY) license (http://creativecommons.org/licenses/by/4.0/).
Share and Cite
Lee, M.-J.; Ashikawa, N.; Jung, Y.-D. Effect of Coulomb Focusing on the Electron–Atom Bremsstrahlung Cross Section for Tungsten and Iron in Nonthermal Lorentzian Plasmas. Appl. Sci. 2020, 10, 4832. https://doi.org/10.3390/app10144832
Lee M-J, Ashikawa N, Jung Y-D. Effect of Coulomb Focusing on the Electron–Atom Bremsstrahlung Cross Section for Tungsten and Iron in Nonthermal Lorentzian Plasmas. Applied Sciences. 2020; 10(14):4832. https://doi.org/10.3390/app10144832
Chicago/Turabian StyleLee, Myoung-Jae, Naoko Ashikawa, and Young-Dae Jung. 2020. "Effect of Coulomb Focusing on the Electron–Atom Bremsstrahlung Cross Section for Tungsten and Iron in Nonthermal Lorentzian Plasmas" Applied Sciences 10, no. 14: 4832. https://doi.org/10.3390/app10144832
APA StyleLee, M.-J., Ashikawa, N., & Jung, Y.-D. (2020). Effect of Coulomb Focusing on the Electron–Atom Bremsstrahlung Cross Section for Tungsten and Iron in Nonthermal Lorentzian Plasmas. Applied Sciences, 10(14), 4832. https://doi.org/10.3390/app10144832

