Ginkgo biloba Alleviates Cisplatin-Mediated Neurotoxicity in Rats via Modulating APP/Aβ/P2X7R/P2Y12R and XIAP/BDNF-Dependent Caspase-3 Apoptotic Pathway
Abstract
1. Introduction
2. Materials and Methods
2.1. Drugs and Chemicals
2.2. Animals
2.3. Experimental Design
2.4. Methods
2.4.1. Biochemical Investigations
2.4.2. Western Blot Technique for Measurement of (APP, Aβ, X1AP and Caspase-3)
2.4.3. Determination of BDNF, P2Y12R and P2X7R Gene Expression by Real-Time-Polymerase Chain Reaction (RT-PCR)
2.4.4. DNA fragmentation%
2.5. Statistical Analysis
3. Results
3.1. Effect of Ginkgo on CHE and GGT Activities in Brain Toxicity
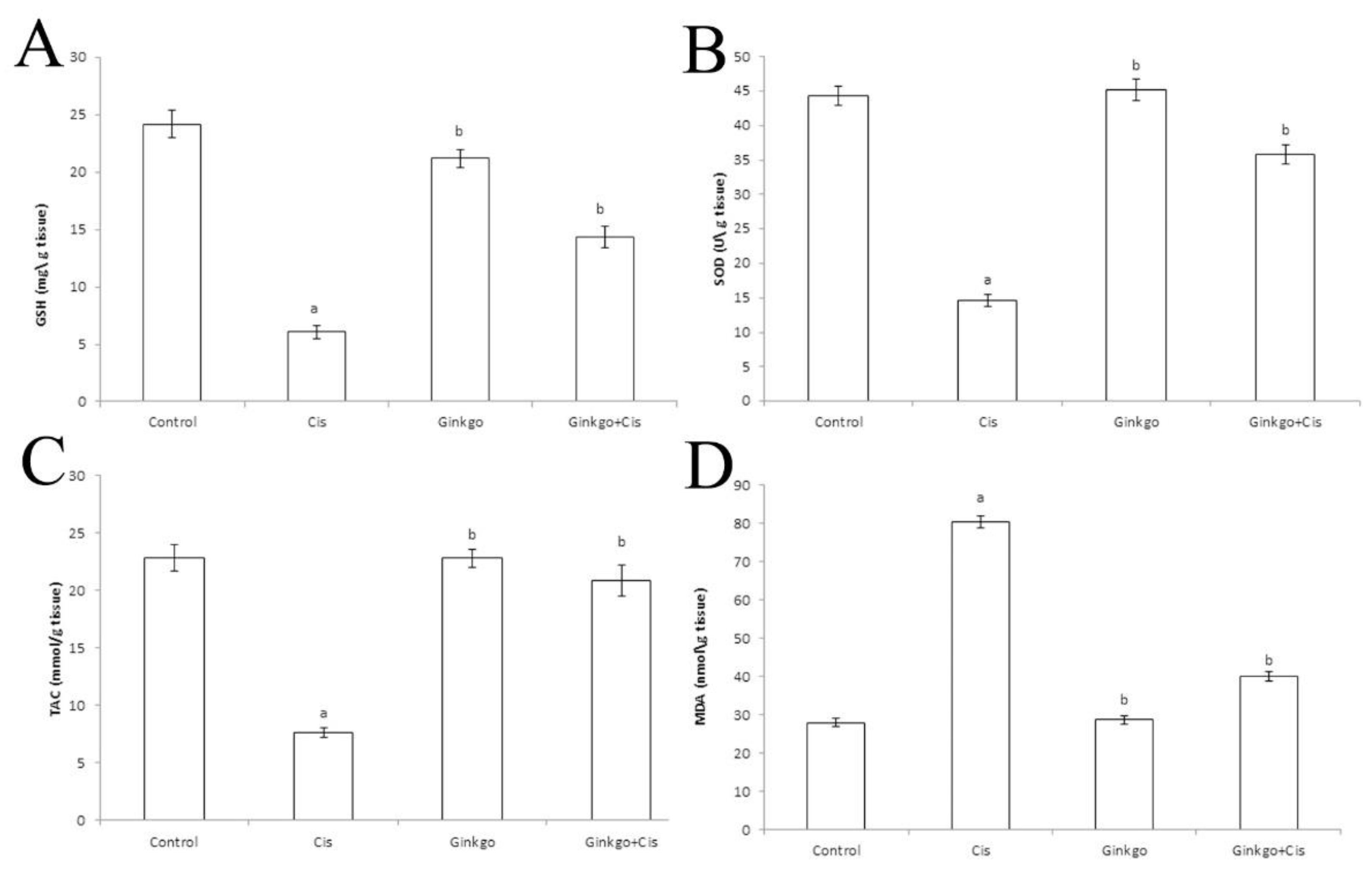
3.2. Effect of Ginkgo on Oxidant/Antioxidant Parameters in Brain Toxicity
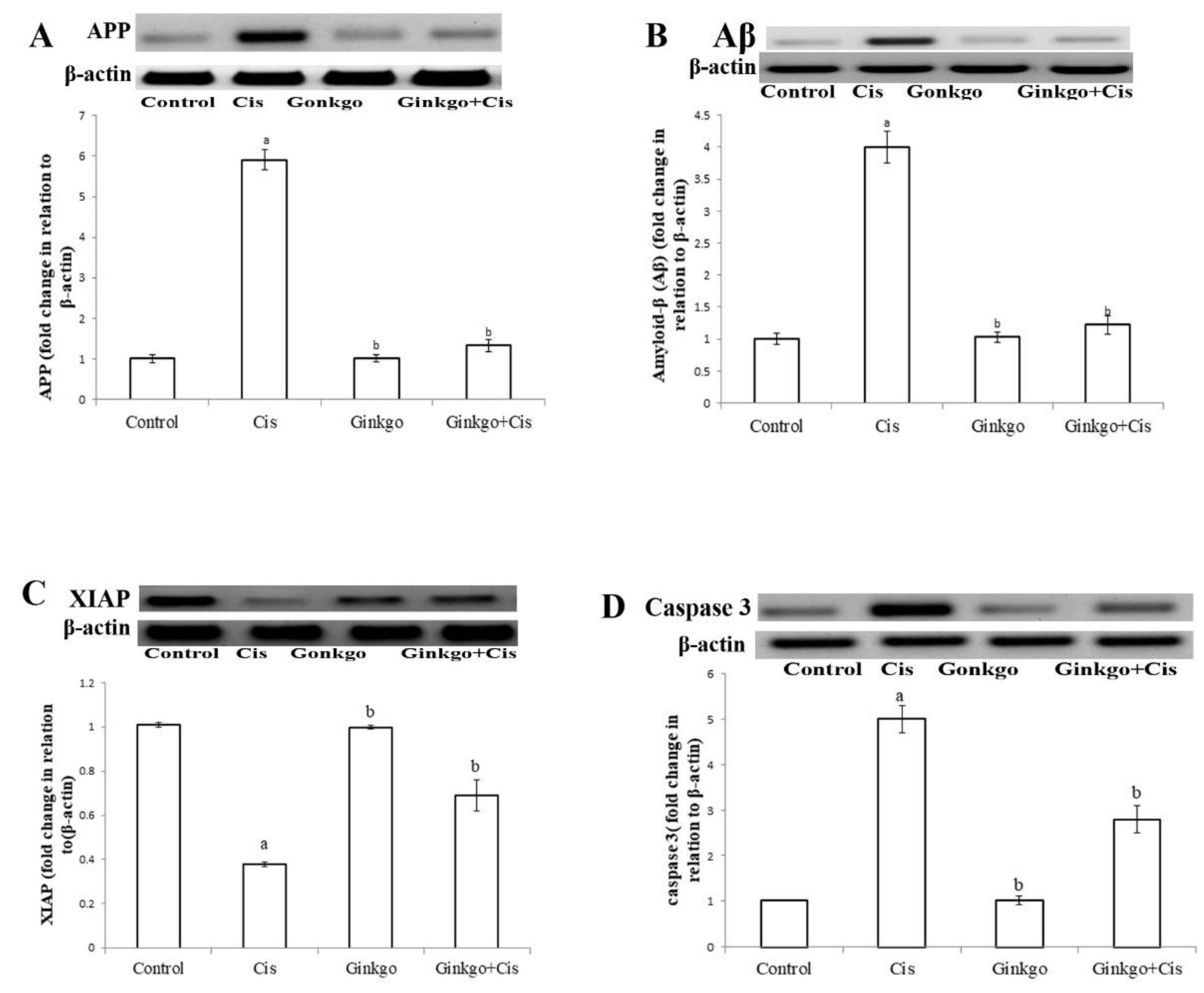
3.3. Effect of Ginkgo on APP, Aβ, XIAP and Caspase-3
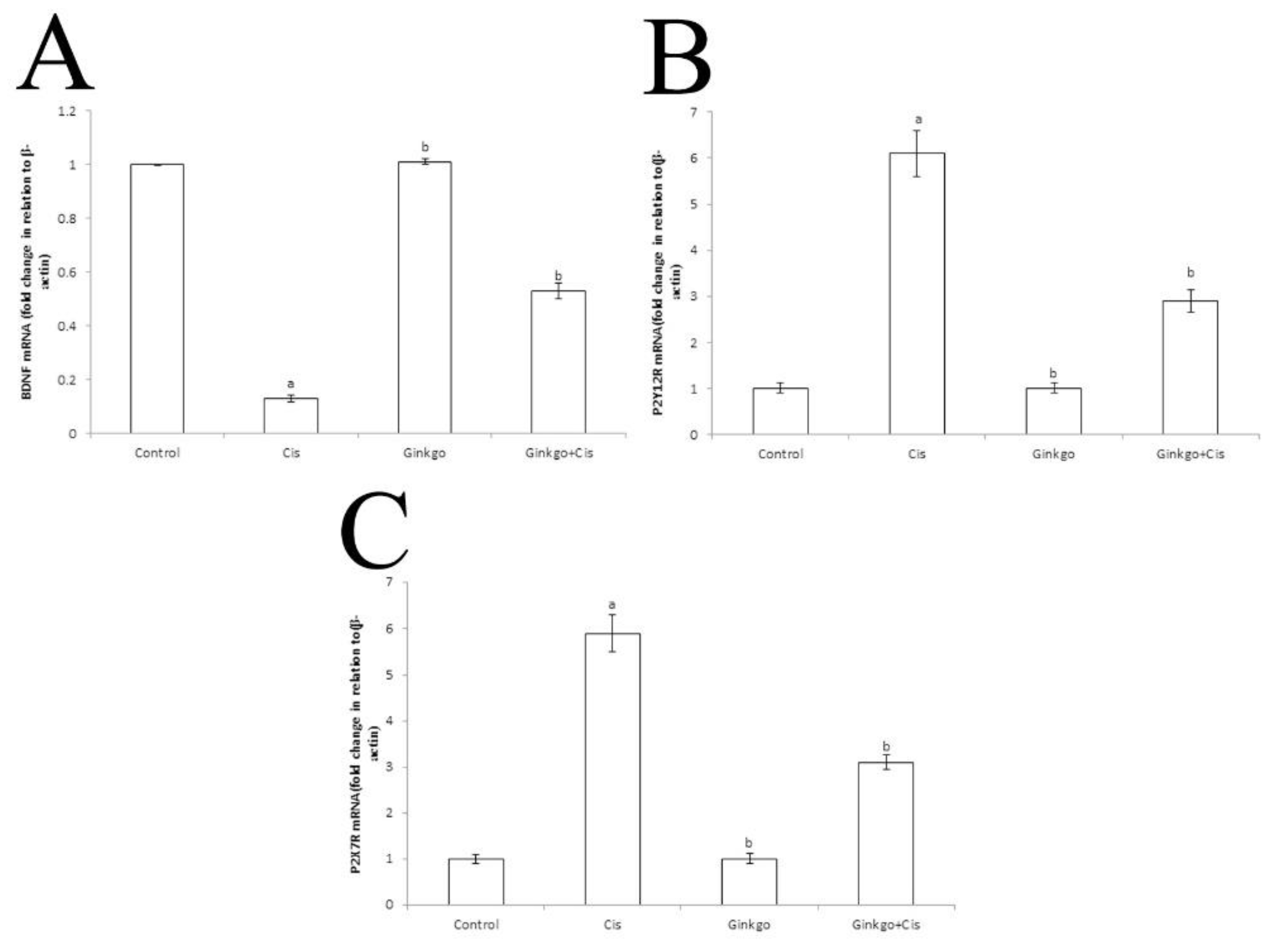
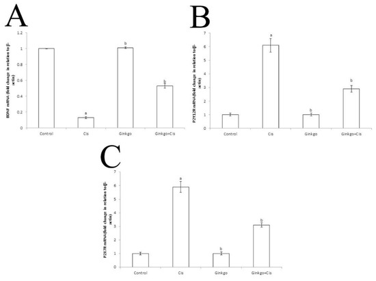
3.4. Effect of Ginkgo on BDNF, P2Y12R and P2X7R mRNA Expressions in Brain Toxicity
3.5. DNA Fragmentation%
4. Discussion
5. Conclusions
Author Contributions
Funding
Acknowledgments
Conflicts of Interest
References
- Dasari, S.; Tchounwou, P.B. Cisplatin in cancer therapy: Molecular mechanisms of action. Eur. J. Pharmacol. 2014, 740, 364–378. [Google Scholar] [CrossRef]
- Mehmood, R.K. Review of Cisplatin and oxaliplatin in current immunogenic and monoclonal antibody treatments. Oncol. Rev. 2014, 8. [Google Scholar] [CrossRef]
- Kasznicki, J.; Sliwinska, A.; Drzewoski, J. Metformin in cancer prevention and therapy. Ann. Transl. Med. 2014, 2. [Google Scholar]
- Takahara, P.M.; Rosenzweig, A.C.; Frederick, C.A.; Lippard, S.J. Crystal structure of double-stranded DNA containing the major adduct of the anticancer drug cisplatin. Nature 1995, 377, 649. [Google Scholar] [CrossRef]
- Ahmad, S. Platinum–DNA interactions and subsequent cellular processes controlling sensitivity to anticancer platinum complexes. Chem. Biodivers. 2010, 7, 543–566. [Google Scholar] [CrossRef] [PubMed]
- Santabarbara, G.; Maione, P.; Rossi, A.; Gridelli, C. Pharmacotherapeutic options for treating adverse effects of Cisplatin chemotherapy. Expert Opin. Pharmacother. 2016, 17, 561–570. [Google Scholar] [CrossRef] [PubMed]
- Bobylev, I.; Joshi, A.R.; Barham, M.; Neiss, W.F.; Lehmann, H.C. Depletion of mitofusin-2 causes mitochondrial damage in cisplatin-induced neuropathy. Mol. Neurobiol. 2018, 55, 1227–1235. [Google Scholar] [CrossRef] [PubMed]
- Seigers, R.; Schagen, S.; Van Tellingen, O.; Dietrich, J. Chemotherapy-related cognitive dysfunction: Current animal studies and future directions. Brain Imaging Behav. 2013, 7, 453–459. [Google Scholar] [CrossRef]
- Aydin, B.; Unsal, M.; Sekeroglu, Z.A.; Gülbahar, Y. The antioxidant and antigenotoxic effects of Pycnogenol® on rats treated with cisplatin. Biol. Trace Elem. Res. 2011, 142, 638–650. [Google Scholar] [CrossRef]
- Saad, S.Y.; Najjar, T.A.; Alashari, M. Role of non-selective adenosine receptor blockade and phosphodiesterase inhibition in cisplatin-induced nephrogonadal toxicity in rats. Clin. Exp. Pharmacol. Physiol. 2004, 31, 862–867. [Google Scholar] [CrossRef]
- Kart, A.; Cigremis, Y.; Karaman, M.; Ozen, H. Caffeic acid phenethyl ester (CAPE) ameliorates cisplatin-induced hepatotoxicity in rabbit. Exp. Toxicol. Pathol. 2010, 62, 45–52. [Google Scholar] [CrossRef]
- Gorgun, M.F.; Zhuo, M.; Englander, E.W. Cisplatin toxicity in dorsal root ganglion neurons is relieved by meclizine via diminution of mitochondrial compromise and improved clearance of DNA damage. Mol. Neurobiol. 2017, 54, 7883–7895. [Google Scholar] [CrossRef] [PubMed]
- Butterfield, D.A.; Drake, J.; Pocernich, C.; Castegna, A. Evidence of oxidative damage in Alzheimer’s disease brain: Central role for amyloid β-peptide. Trends Mol. Med. 2001, 7, 548–554. [Google Scholar] [CrossRef]
- Westmark, C. What’s hAPPening at synapses? The role of amyloid β-protein precursor and β-amyloid in neurological disorders. Mol. Psychiatry 2013, 18, 425–434. [Google Scholar] [CrossRef] [PubMed]
- Lecanu, L.; Yao, W.; Teper, G.L.; Yao, Z.-X.; Greeson, J.; Papadopoulos, V. Identification of naturally occurring spirostenols preventing β-amyloid-induced neurotoxicity. Steroids 2004, 69, 1–16. [Google Scholar] [CrossRef] [PubMed]
- Sáez-Orellana, F.; Fuentes-Fuentes, M.C.; Godoy, P.A.; Silva-Grecchi, T.; Panes, J.D.; Guzmán, L.; Yévenes, G.E.; Gavilán, J.; Egan, T.M.; Aguayo, L.G. P2X receptor overexpression induced by soluble oligomers of amyloid beta peptide potentiates synaptic failure and neuronal dyshomeostasis in cellular models of Alzheimer’s disease. Neuropharmacology 2018, 128, 366–378. [Google Scholar] [CrossRef]
- Skaper, S.D.; Debetto, P.; Giusti, P. The P2X7 purinergic receptor: From physiology to neurological disorders. Faseb J. 2010, 24, 337–345. [Google Scholar] [CrossRef]
- Monif, M.; Burnstock, G.; Williams, D.A. Microglia: Proliferation and activation driven by the P2X7 receptor. Int. J. Biochem. Cell Biol. 2010, 42, 1753–1756. [Google Scholar] [CrossRef]
- Bernardino, L.; Balosso, S.; Ravizza, T.; Marchi, N.; Ku, G.; Randle, J.C.; Malva, J.O.; Vezzani, A. Inflammatory events in hippocampal slice cultures prime neuronal susceptibility to excitotoxic injury: A crucial role of P2X7 receptor-mediated IL-1β release. J. Neurochem. 2008, 106, 271–280. [Google Scholar] [CrossRef]
- Srinivasula, S.M.; Ashwell, J.D. IAPs: What’s in a name? Mol. Cell 2008, 30, 123–135. [Google Scholar] [CrossRef]
- Hartmann, D.; Drummond, J.; Handberg, E.; Ewell, S.; Pozzo-Miller, L. Multiple approaches to investigate the transport and activity-dependent release of BDNF and their application in neurogenetic disorders. Neural Plast. 2012, 2012. [Google Scholar] [CrossRef] [PubMed]
- Degos, V.; Chhor, V.; Brissaud, O.; Lebon, S.; Schwendimann, L.; Bednareck, N.; Passemard, S.; Mantz, J.; Gressens, P. Neuroprotective effects of dexmedetomidine against glutamate agonist-induced neuronal cell death are related to increased astrocyte brain-derived neurotrophic factor expression. Anesthesiol. J. Am. Soc. Anesthesiol. 2013, 118, 1123–1132. [Google Scholar] [CrossRef]
- Man, S.M.; Kanneganti, T.-D. Converging roles of caspases in inflammasome activation, cell death and innate immunity. Nat. Rev. Immunol. 2016, 16, 7. [Google Scholar] [CrossRef] [PubMed]
- Liu, P.-F.; Hu, Y.-C.; Kang, B.-H.; Tseng, Y.-K.; Wu, P.-C.; Liang, C.-C.; Hou, Y.-Y.; Fu, T.-Y.; Liou, H.-H.; Hsieh, I.-C. Expression levels of cleaved caspase-3 and caspase-3 in tumorigenesis and prognosis of oral tongue squamous cell carcinoma. PLoS ONE 2017, 12, e0180620. [Google Scholar] [CrossRef] [PubMed]
- Shah, Z.A.; Nada, S.E.; Doré, S. Heme oxygenase 1, beneficial role in permanent ischemic stroke and in Gingko biloba (EGb 761) neuroprotection. Neuroscience 2011, 180, 248–255. [Google Scholar] [CrossRef] [PubMed]
- Müller, W.E.; Heiser, J.; Leuner, K. Effects of the standardized Ginkgo biloba extract EGb 761® on neuroplasticity. Int. Psychogeriatr. 2012, 24, S21–S24. [Google Scholar] [CrossRef]
- Kim, M.-S.; Bang, J.H.; Lee, J.; Han, J.-S.; Baik, T.G.; Jeon, W.K. Ginkgo biloba L. extract protects against chronic cerebral hypoperfusion by modulating neuroinflammation and the cholinergic system. Phytomedicine 2016, 23, 1356–1364. [Google Scholar] [CrossRef]
- Maclennan, K.M.; Darlington, C.L.; Smith, P.F. The CNS effects of Ginkgo biloba extracts and ginkgolide B. Prog. Neurobiol. 2002, 67, 235–257. [Google Scholar] [CrossRef]
- Aydin, D.; Peker, E.G.; Karakurt, M.D.; Gurel, A.; Ayyildiz, M.; Cevher, Ş.C.; Agar, E.; Dane, S. Effects of Ginkgo biloba extract on brain oxidative condition after cisplatin exposure. Clin. Investig. Med. 2016, S100–S105. [Google Scholar] [CrossRef]
- Oyama, Y.; Ueha, T.; Hayashi, A.; Chikahisa, L.; Noda, K. Flow cytometric estimation of the effect of Ginkgo biloba extract on the content of hydrogen peroxide in dissociated mammalian brain neurons. Jpn. J. Pharmacol. 1992, 60, 385–388. [Google Scholar] [CrossRef][Green Version]
- Oyama, Y.; Chikahisa, L.; Ueha, T.; Kanemaru, K.; Noda, K. Ginkgo biloba extract protects brain neurons against oxidative stress induced by hydrogen peroxide. Brain Res. 1996, 712, 349–352. [Google Scholar] [CrossRef]
- Abdel-Kader, R.; Hauptmann, S.; Keil, U.; Scherping, I.; Leuner, K.; Eckert, A.; Müller, W.E. Stabilization of mitochondrial function by Ginkgo biloba extract (EGb 761). Pharmacol. Res. 2007, 56, 493–502. [Google Scholar] [CrossRef] [PubMed]
- Zhang, C.-Y.; Chen, R.; Wang, F.; Ren, C.; Zhang, P.; Li, Q.; Li, H.-H.; Guo, K.-T.; Geng, D.-Q.; Liu, C.-F. EGb-761 attenuates the anti-proliferative activity of fluoride via DDK1 in PC-12 cells. Neurochem. Res. 2017, 42, 606–614. [Google Scholar] [CrossRef] [PubMed]
- Wu, C.; Zhao, X.; Zhang, X.; Liu, S.; Zhao, H.; Chen, Y. Effect of Ginkgo biloba extract on apoptosis of brain tissues in rats with acute cerebral infarction and related gene expression. Genet. Mol. Res 2015, 14, 6387–6394. [Google Scholar] [CrossRef]
- Song, W.; Zhao, J.; Yan, X.-S.; Fang, X.; Huo, D.-S.; Wang, H.; Jia, J.-X.; Yang, Z.-J. Mechanisms Associated with Protective Effects of Ginkgo Biloba Leaf Extracton in Rat Cerebral Ischemia Reperfusion Injury. J. Toxicol. Environ. Health Part A 2019, 82, 1045–1051. [Google Scholar] [CrossRef]
- Kandeil, M.A.; Mahmoud, M.O.; Abdel-Razik, A.-R.H.; Gomaa, S.B. Thymoquinone and geraniol alleviate cisplatin-induced neurotoxicity in rats through downregulating the p38 MAPK/STAT-1 pathway and oxidative stress. Life Sci. 2019, 228, 145–151. [Google Scholar] [CrossRef]
- Zaki, H.F.; Shafey, G.M.; Amin, N.; Attia, A.S.; El-Ghazaly, M.A. Neuroprotective effects of ginkgo biloba extract on brain damage induced by γ-radiation and lead acetate. Int. J. Sci. Res. Publ. 2015, 5, 2250–3153. [Google Scholar]
- Dias, M.C.; Furtado, K.S.; Rodrigues, M.A.M.; Barbisan, L.F. Effects of Ginkgo biloba on chemically-induced mammary tumors in rats receiving tamoxifen. Bmc Complement. Altern. Med. 2013, 13, 93. [Google Scholar] [CrossRef]
- Kovarik, Z.; Radić, Z.; Berman, H.A.; Simeon-Rudolf, V.; Reiner, E.; Taylor, P. Acetylcholinesterase active centre and gorge conformations analysed by combinatorial mutations and enantiomeric phosphonates. Biochem. J. 2003, 373, 33–40. [Google Scholar] [CrossRef] [PubMed]
- Persijn, J.; Van der Slik, W. A new method for the determination of γ-glutamyltransferase in serum. Clin. Chem. Lab. Med. 1976, 14, 421–428. [Google Scholar] [CrossRef]
- Beutler, E. Improved method for the determination of blood glutathione. J. Lab. Clin. Med. 1963, 61, 882–888. [Google Scholar]
- Nishikimi, M.; Rao, N.A.; Yagi, K. The occurrence of superoxide anion in the reaction of reduced phenazine methosulfate and molecular oxygen. Biochem. Biophys. Res. Commun. 1972, 46, 849–854. [Google Scholar] [CrossRef]
- Koracevic, D.; Koracevic, G.; Djordjevic, V.; Andrejevic, S.; Cosic, V. Method for the measurement of antioxidant activity in human fluids. J. Clin. Pathol. 2001, 54, 356–361. [Google Scholar] [CrossRef] [PubMed]
- Buege, J.A.; Aust, S.D. [30] Microsomal lipid peroxidation. In Methods in Enzymology; Elsevier: Amsterdam, The Netherlands, 1978; Volume 52, pp. 302–310. [Google Scholar]
- Marks, H.M. The Progress of Experiment: Science and Therapeutic Reform in the United States, 1900–1990; Cambridge University Press: Cambridge, UK, 2000. [Google Scholar]
- Wang, J.; Edeen, K.; Manzer, R.; Chang, Y.; Wang, S.; Chen, X.; Funk, C.J.; Cosgrove, G.P.; Fang, X.; Mason, R.J. Differentiated human alveolar epithelial cells and reversibility of their phenotype in vitro. Am. J. Respir. Cell Mol. Biol. 2007, 36, 661–668. [Google Scholar] [CrossRef] [PubMed]
- Livak, K.J.; Schmittgen, T.D. Analysis of relative gene expression data using real-time quantitative PCR and the 2− ΔΔCT method. Methods 2001, 25, 402–408. [Google Scholar] [CrossRef] [PubMed]
- Burton, K. A study of the conditions and mechanism of the diphenylamine reaction for the colorimetric estimation of deoxyribonucleic acid. Biochem. J. 1956, 62, 315. [Google Scholar] [CrossRef]
- Dietrich, J.; Han, R.; Yang, Y.; Mayer-Pröschel, M.; Noble, M. CNS progenitor cells and oligodendrocytes are targets of chemotherapeutic agents in vitro and in vivo. J. Biol. 2006, 5, 22. [Google Scholar] [CrossRef]
- Chen, Y.; Jungsuwadee, P.; Vore, M.; Butterfield, D.A.; St Clair, D.K. Collateral damage in cancer chemotherapy: Oxidative stress in nontargeted tissues. Mol. Interv. 2007, 7, 147. [Google Scholar] [CrossRef]
- Khadrawy, Y.A.; El-Gizawy, M.M.; Sorour, S.M.; Sawie, H.G.; Hosny, E.N. Effect of curcumin nanoparticles on the cisplatin-induced neurotoxicity in rat. Drug Chem. Toxicol. 2019, 42, 194–202. [Google Scholar] [CrossRef]
- Owoeye, O.; Adedara, I.A.; Farombi, E.O. Pretreatment with taurine prevented brain injury and exploratory behaviour associated with administration of anticancer drug cisplatin in rats. Biomed. Pharmacother. 2018, 102, 375–384. [Google Scholar] [CrossRef]
- Lee, D.-H.; Blomhoff, R.; Jacobs, D.R. Review is serum gamma glutamyltransferase a marker of oxidative stress? Free Radic. Res. 2004, 38, 535–539. [Google Scholar] [CrossRef] [PubMed]
- Paolicchi, A.; Emdin, M.; Passino, C.; Lorenzini, E.; Titta, F.; Marchi, S.; Malvaldi, G.; Pompella, A. β-Lipoprotein-and LDL-associated serum γ-glutamyltransferase in patients with coronary atherosclerosis. Atherosclerosis 2006, 186, 80–85. [Google Scholar] [CrossRef] [PubMed]
- Worek, F.; Reiter, G.; Eyer, P.; Szinicz, L. Reactivation kinetics of acetylcholinesterase from different species inhibited by highly toxic organophosphates. Arch. Toxicol. 2002, 76, 523–529. [Google Scholar] [PubMed]
- Caloni, F.; Cortinovis, C.; Rivolta, M.; Davanzo, F. Suspected poisoning of domestic animals by pesticides. Sci. Total Environ. 2016, 539, 331–336. [Google Scholar] [CrossRef] [PubMed]
- Oz, M.; Petroianu, G.; Lorke, D.E. α7-nicotinic acetylcholine receptors: New therapeutic avenues in Alzheimer’s disease. In Nicotinic Acetylcholine Receptor Technologies; Springer: Cham, Switzerland, 2016; pp. 149–169. [Google Scholar]
- Huang, X.; Whitworth, C.A.; Rybak, L.P. Ginkgo biloba extract (EGb 761) protects against cisplatin-induced ototoxicity in rats. Otol. Neurotol. 2007, 28, 828–833. [Google Scholar] [CrossRef]
- Deponte, M. Glutathione catalysis and the reaction mechanisms of glutathione-dependent enzymes. Biochim. Biophys. Acta (Bba)-Gen. Subj. 2013, 1830, 3217–3266. [Google Scholar] [CrossRef]
- Turan, M.; Cayir, A.; Cetin, N.; Suleyman, H.; Turan, I.S.; Tan, H. An investigation of the effect of thiamine pyrophosphate on cisplatin-induced oxidative stress and DNA damage in rat brain tissue compared with thiamine: Thiamine and thiamine pyrophosphate effects on cisplatin neurotoxicity. Hum. Exp. Toxicol. 2014, 33, 14–21. [Google Scholar] [CrossRef]
- Pabla, N.; Dong, G.; Jiang, M.; Huang, S.; Kumar, M.V.; Messing, R.O.; Dong, Z. Inhibition of PKCδ reduces cisplatin-induced nephrotoxicity without blocking chemotherapeutic efficacy in mouse models of cancer. J. Clin. Investig. 2011, 121, 2709–2722. [Google Scholar] [CrossRef]
- Eckert, A. Mitochondrial effects of Ginkgo biloba extract. Int. Psychogeriatr. 2012, 24, S18–S20. [Google Scholar] [CrossRef]
- Li, W.Z.; Wu, W.Y.; Huang, H.; Wu, Y.Y.; Yin, Y.Y. Protective effect of bilobalide on learning and memory impairment in rats with vascular dementia. Mol. Med. Rep. 2013, 8, 935–941. [Google Scholar] [CrossRef]
- Laukeviciene, A.; Cecen, S.; Masteikova, R.; Civinskiene, G.; Zelbiene, E.; Burkauskienė, A.; Velziene, S.; Bernatoniene, J. Reduction of small arteries contractility with improving the relaxation properties by Ginkgo biloba extract. J. Med. Plants Res. 2012, 6, 4785–4789. [Google Scholar] [CrossRef]
- Smith, J.; Luo, Y. Studies on molecular mechanisms of Ginkgo biloba extract. Appl. Microbiol. Biotechnol. 2004, 64, 465–472. [Google Scholar]
- Xia, T.; Kovochich, M.; Liong, M.; Madler, L.; Gilbert, B.; Shi, H.; Yeh, J.I.; Zink, J.I.; Nel, A.E. Comparison of the mechanism of toxicity of zinc oxide and cerium oxide nanoparticles based on dissolution and oxidative stress properties. Acs Nano 2008, 2, 2121–2134. [Google Scholar] [CrossRef] [PubMed]
- Winocur, G.; Wojtowicz, J.M.; Tannock, I.F. Memory loss in chemotherapy-treated rats is exacerbated in high-interference conditions and related to suppression of hippocampal neurogenesis. Behav. Brain Res. 2015, 281, 239–244. [Google Scholar] [CrossRef] [PubMed]
- Reddy, P.H.; Manczak, M.; Mao, P.; Calkins, M.J.; Reddy, A.P.; Shirendeb, U. Amyloid-β and mitochondria in aging and Alzheimer’s disease: Implications for synaptic damage and cognitive decline. J. Alzheimer’s Dis. 2010, 20, S499–S512. [Google Scholar] [CrossRef]
- Karran, E.; Mercken, M.; De Strooper, B. The amyloid cascade hypothesis for Alzheimer’s disease: An appraisal for the development of therapeutics. Nat. Rev. Drug Discov. 2011, 10, 698. [Google Scholar] [CrossRef]
- Barnham, K.J.; Masters, C.L.; Bush, A.I. Neurodegenerative diseases and oxidative stress. Nat. Rev. Drug Discov. 2004, 3, 205. [Google Scholar] [CrossRef]
- Ankarcrona, M.; Winblad, B. Biomarkers for apoptosis in Alzheimer’s disease. Int. J. Geriatr. Psychiatry A J. Psychiatry Late Life Allied Sci. 2005, 20, 101–105. [Google Scholar] [CrossRef]
- Uribe, V.; Wong, B.K.; Graham, R.K.; Cusack, C.L.; Skotte, N.H.; Pouladi, M.A.; Xie, Y.; Feinberg, K.; Ou, Y.; Ouyang, Y. Rescue from excitotoxicity and axonal degeneration accompanied by age-dependent behavioral and neuroanatomical alterations in caspase-6-deficient mice. Hum. Mol. Genet. 2012, 21, 1954–1967. [Google Scholar] [CrossRef]
- Makoto, T.; Hidetoshi, T.S.; Kazuhide, I. P2X4R and P2X7R in neuropathic pain. Wiley Interdiscip. Rev. Membr. Transp. Signal. 2012, 1, 513–521. [Google Scholar] [CrossRef]
- Carmo, M.R.; Menezes, A.P.F.; Nunes, A.C.L.; Pliássova, A.; Rolo, A.P.; Palmeira, C.M.; Cunha, R.A.; Canas, P.M.; Andrade, G.M. The P2X7 receptor antagonist Brilliant Blue G attenuates contralateral rotations in a rat model of Parkinsonism through a combined control of synaptotoxicity, neurotoxicity and gliosis. Neuropharmacology 2014, 81, 142–152. [Google Scholar] [CrossRef]
- Lee, H.G.; Won, S.M.; Gwag, B.J.; Lee, Y.B. Microglial P2X 7 receptor expression is accompanied by neuronal damage in the cerebral cortex of the APP swe/PS1dE9 mouse model of Alzheimer’s disease. Exp. Mol. Med. 2011, 43, 7. [Google Scholar] [CrossRef] [PubMed]
- Skaper, S.D. Ion channels on microglia: Therapeutic targets for neuroprotection. Cns Neurol. Disord. Drug Targets (Former. Curr. Drug Targets-Cns Neurol. Disord.) 2011, 10, 44–56. [Google Scholar] [CrossRef] [PubMed]
- Inoue, K. Purinergic systems in microglia. Cell. Mol. Life Sci. 2008, 65, 3074–3080. [Google Scholar] [CrossRef] [PubMed]
- Choi, D.K.; Koppula, S.; Suk, K. Inhibitors of microglial neurotoxicity: Focus on natural products. Molecules 2011, 16, 1021–1043. [Google Scholar] [CrossRef] [PubMed]
- Hu, X.; Leak, R.K.; Shi, Y.; Suenaga, J.; Gao, Y.; Zheng, P.; Chen, J. Microglial and macrophage polarization—new prospects for brain repair. Nat. Rev. Neurol. 2015, 11, 56. [Google Scholar] [CrossRef] [PubMed]
- Su, B.-C.; Mo, F.-E. CCN1 enables Fas ligand-induced apoptosis in cardiomyoblast H9c2 cells by disrupting caspase inhibitor XIAP. Cell. Signal. 2014, 26, 1326–1334. [Google Scholar] [CrossRef] [PubMed]
- Li, Q.; Li, H.; Roughton, K.; Wang, X.; Kroemer, G.; Blomgren, K.; Zhu, C. Lithium reduces apoptosis and autophagy after neonatal hypoxia–ischemia. Cell Death Dis. 2010, 1, e56. [Google Scholar] [CrossRef]
- Kairisalo, M.; Korhonen, L.; Sepp, M.; Pruunsild, P.; Kukkonen, J.P.; Kivinen, J.; Timmusk, T.; Blomgren, K.; Lindholm, D. NF-κB-dependent regulation of brain-derived neurotrophic factor in hippocampal neurons by X-linked inhibitor of apoptosis protein. Eur. J. Neurosci. 2009, 30, 958–966. [Google Scholar] [CrossRef]
- Peng, S.; Garzon, D.J.; Marchese, M.; Klein, W.; Ginsberg, S.D.; Francis, B.M.; Mount, H.T.; Mufson, E.J.; Salehi, A.; Fahnestock, M. Decreased brain-derived neurotrophic factor depends on amyloid aggregation state in transgenic mouse models of Alzheimer’s disease. J. Neurosci. 2009, 29, 9321–9329. [Google Scholar] [CrossRef]
- Green, D.R.; Llambi, F. Cell death signaling. Cold Spring Harb. Perspect. Biol. 2015, 7, a006080. [Google Scholar] [CrossRef] [PubMed]
- Martinez, E.; Navarro, A.; Ordónez, C.; del Valle, E.; Tolivia, J. Oxidative stress induces apolipoprotein D overexpression in hippocampus during aging and Alzheimer’s disease. J. Alzheimer’s Dis. 2013, 36, 129–144. [Google Scholar] [CrossRef] [PubMed]
- Bate, C.; Tayebi, M.; Williams, A. Ginkgolides protect against amyloid-β 1–42-mediated synapse damage in vitro. Mol. Neurodegener. 2008, 3, 1. [Google Scholar] [CrossRef] [PubMed]
- Luo, Y.; Smith, J.V.; Paramasivam, V.; Burdick, A.; Curry, K.J.; Buford, J.P.; Khan, I.; Netzer, W.J.; Xu, H.; Butko, P. Inhibition of amyloid-β aggregation and caspase-3 activation by the Ginkgo biloba extract EGb761. Proc. Natl. Acad. Sci. USA 2002, 99, 12197–12202. [Google Scholar] [CrossRef] [PubMed]
- Mahadevan, S.; Park, Y. Multifaceted therapeutic benefits of Ginkgo biloba L.: Chemistry, efficacy, safety, and uses. J. Food Sci. 2008, 73, R14–R19. [Google Scholar] [CrossRef]
- Huang, W.-L.; Ma, Y.-X.; Fan, Y.-B.; Lai, S.-M.; Liu, H.-Q.; Liu, J.; Luo, L.; Li, G.-Y.; Tian, S.-M. Extract of Ginkgo biloba promotes neuronal regeneration in the hippocampus after exposure to acrylamide. Neural Regen. Res. 2017, 12, 1287. [Google Scholar]
- Wu, C.L.; Hwang, C.S.; Chen, S.D.; Yin, J.H.; Yang, D.I. Neuroprotective mechanisms of brain-derived neurotrophic factor against 3-nitropropionic acid toxicity: Therapeutic implications for Huntington’s disease. Ann. N. Y. Acad. Sci. 2010, 1201, 8–12. [Google Scholar] [CrossRef]
- Han, B.H.; D’Costa, A.; Back, S.A.; Parsadanian, M.; Patel, S.; Shah, A.R.; Gidday, J.M.; Srinivasan, A.; Deshmukh, M.; Holtzman, D.M. BDNF blocks caspase-3 activation in neonatal hypoxia–ischemia. Neurobiol. Dis. 2000, 7, 38–53. [Google Scholar] [CrossRef]







| Primer Sequence | ||
|---|---|---|
| BDNF | Forward: 5′-AGTGATGACCATCCTTTTCCTTAC3′ Reverse: 5′-CCTCAAATGTGTCATCCAAGGA-3′ | Gene ID: 24225 Accession number of chromosome: NC_005102.4 | 
| P2Y12R | Forward primer: 5-CCAGTGCATCCCTAAATATTCC-3 Reverse primer: 5-CCAGCGTTCCCATATACCAG-3 | Gene ID: 6803 Accession number on chromosome: NC_005101.4 | 
| P2X7R | Forward primer: GAACCTCGAGTGAGCCACAACCAGAACACT Reverse primer: GACAAGATCTATGGCCCAAGGAGCTCGGT-3 | Gene ID: 29665 Accession number of chromosome: NC_005111.4 | 
| Beta actin | Forward: 5′-GCACCCAGCACAATGAAGATCAAG-3′ Reverse: 5′-TCATACTCCTGCTTGCTGATCCAC-3 | Gene ID: 11461 Accession number of chromosome: NC_000071.6 | 
© 2020 by the authors. Licensee MDPI, Basel, Switzerland. This article is an open access article distributed under the terms and conditions of the Creative Commons Attribution (CC BY) license (http://creativecommons.org/licenses/by/4.0/).
Share and Cite
H. Gomaa, D.; G. Hozayen, W.; Al-shafeey, H.; M. Hussein Elkelawy, A.M.; S. Hashem, K. Ginkgo biloba Alleviates Cisplatin-Mediated Neurotoxicity in Rats via Modulating APP/Aβ/P2X7R/P2Y12R and XIAP/BDNF-Dependent Caspase-3 Apoptotic Pathway. Appl. Sci. 2020, 10, 4786. https://doi.org/10.3390/app10144786
H. Gomaa D, G. Hozayen W, Al-shafeey H, M. Hussein Elkelawy AM, S. Hashem K. Ginkgo biloba Alleviates Cisplatin-Mediated Neurotoxicity in Rats via Modulating APP/Aβ/P2X7R/P2Y12R and XIAP/BDNF-Dependent Caspase-3 Apoptotic Pathway. Applied Sciences. 2020; 10(14):4786. https://doi.org/10.3390/app10144786
Chicago/Turabian StyleH. Gomaa, Dina, Walaa G. Hozayen, Haidy Al-shafeey, Asmaa Mohammed M. Hussein Elkelawy, and Khalid S. Hashem. 2020. "Ginkgo biloba Alleviates Cisplatin-Mediated Neurotoxicity in Rats via Modulating APP/Aβ/P2X7R/P2Y12R and XIAP/BDNF-Dependent Caspase-3 Apoptotic Pathway" Applied Sciences 10, no. 14: 4786. https://doi.org/10.3390/app10144786
APA StyleH. Gomaa, D., G. Hozayen, W., Al-shafeey, H., M. Hussein Elkelawy, A. M., & S. Hashem, K. (2020). Ginkgo biloba Alleviates Cisplatin-Mediated Neurotoxicity in Rats via Modulating APP/Aβ/P2X7R/P2Y12R and XIAP/BDNF-Dependent Caspase-3 Apoptotic Pathway. Applied Sciences, 10(14), 4786. https://doi.org/10.3390/app10144786
 
        

 
       