Application of Computational Fluid Dynamics in Chlorine-Dynamics Modeling of In-Situ Chlorination Systems for Cooling Systems
Abstract
1. Introduction
2. Materials and Methods
2.1. Chlorine Kinetic Model
2.2. Experimental Set-Up
2.2.1. Batch Kinetic Tests
2.2.2. Pilot-Scale In-Situ Electro-Chlorination
2.3. Analytical Methods
2.4. Simulation Set-Up
3. Results and Discussion
3.1. Model Application
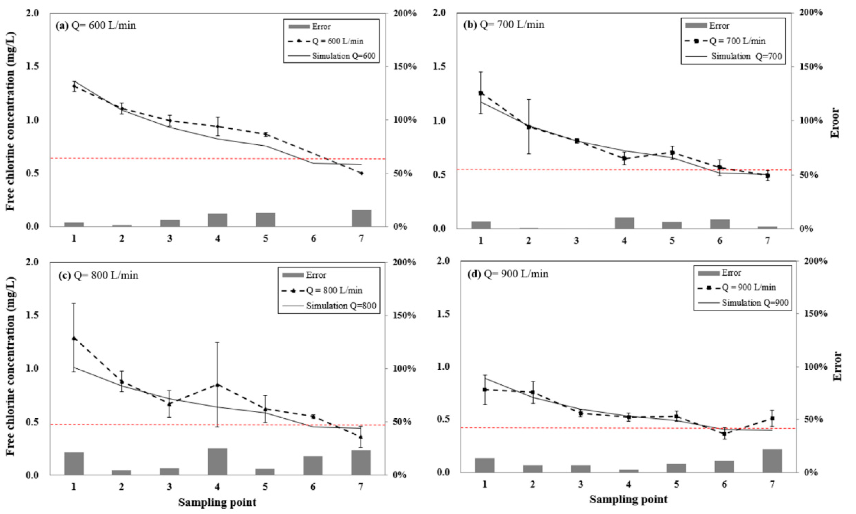
3.2. In-Situ Electro-Chlorination Experiment with CFD Simulation
3.3. Estimated Chlorine Profile of the Full-Scale Cooling System Installed with In-Situ Electro-Chlorine Generator
- A straight cooling-water pipeline with a 2 m diameter and 1 km length (no elevation).
- The residual concentration of chlorine was set to 0.5 mg L−1 in the pipeline.
- The chlorine decay kinetics was applied in both cases.
4. Conclusions
Supplementary Materials
Author Contributions
Funding
Conflicts of Interest
References
- Macknick, J.; Newmark, R.; Heath, G.; Hallett, K.C. Operational water consumption and withdrawal factors for electricity generating technologies: A review of existing literature. Environ. Res. Lett. 2012, 7, 045802. [Google Scholar] [CrossRef]
- Pan, S.-Y.; Snyder, S.W.; Packman, A.I.; Lin, Y.J.; Chiang, P.-C. Cooling water use in thermoelectric power generation and its associated challenges for addressing water-energy nexus. Water-Energy Nexus 2018, 1, 26–41. [Google Scholar] [CrossRef]
- Feeley, T.J., III; Skone, T.J.; Stiegel, G.J., Jr.; McNemar, A.; Nemeth, M.; Schimmoller, B.; Murphy, J.T.; Manfredo, L. Water: A critical resource in the thermoelectric power industry. Energy 2008, 33, 1–11. [Google Scholar] [CrossRef]
- World Nuclear Association. World Nuclear Performance Report 2016; World Nuclear Association: London, UK, 2016. [Google Scholar]
- Pugh, S.; Hewitt, G.; Müller-Steinhagen, H. Fouling during the use of seawater as coolant—The development of a user guide. Heat Transf. Eng. 2005, 26, 35–43. [Google Scholar] [CrossRef]
- Satpathy, K.K.; Mohanty, A.K.; Sahu, G.; Biswas, S.; Prasad, M.; Slvanayagam, M. Biofouling and its control in seawater cooled power plant cooling water system—A review. Nucl. Power 2010, 17, 191–242. [Google Scholar]
- Cristiani, P.; Perboni, G. Antifouling strategies and corrosion control in cooling circuits. Bioelectrochemistry 2014, 97, 120–126. [Google Scholar] [CrossRef] [PubMed]
- Walker, M.E.; Safari, I.; Theregowda, R.B.; Hsieh, M.-K.; Abbasian, J.; Arastoopour, H.; Dzombak, D.A.; Miller, D.C. Economic impact of condenser fouling in existing thermoelectric power plants. Energy 2012, 44, 429–437. [Google Scholar] [CrossRef]
- Yi, J.; Ahn, Y.; Hong, M.; Kim, G.-H.; Shabnam, N.; Jeon, B.; Sang, B.-I.; Kim, H. Comparison between OCl−-Injection and In Situ Electrochlorination in the Formation of Chlorate and Perchlorate in Seawater. Appl. Sci. 2019, 9, 229. [Google Scholar] [CrossRef]
- Xue, Y.; Zhao, J.; Qiu, R.; Zheng, J.; Lin, C.; Ma, B.; Wang, P. In Situ glass antifouling using Pt nanoparticle coating for periodic electrolysis of seawater. Appl. Surf. Sci. 2015, 357, 60–68. [Google Scholar] [CrossRef]
- Mahfouz, A.B.; Atilhan, S.; Batchelor, B.; Linke, P.; Abdel-Wahab, A.; El-Halwagi, M.M. Optimal scheduling of biocide dosing for seawater-cooled power and desalination plants. Clean Technol. Environ. Policy 2011, 13, 783–796. [Google Scholar] [CrossRef]
- Rubio, D.; López-Galindo, C.; Casanueva, J.F.; Nebot, E. Monitoring and assessment of an industrial antifouling treatment. Seasonal effects and influence of water velocity in an open once-through seawater cooling system. Appl. Therm. Eng. 2014, 67, 378–387. [Google Scholar] [CrossRef]
- European Integrated Pollution Prevention and Control (IPPC) Bureau, European Commission. Reference Document on the Application of Best Available Techniques to Industrial Cooling Systems December 2001; European Commission, Tech. Rep.: Brussels, Belgium, 2001. [Google Scholar]
- Venkatesan, R.; Murthy P., S. Macrofouling Control in Power Plants. In Springer Series on Biofilms; Springer: Berlin/Heidelberg, Germany, 2008. [Google Scholar]
- Kastl, G.; Fisher, I.; Jegatheesan, V. Evaluation of chlorine decay kinetics expressions for drinking water distribution systems modelling. J. Water Supply Res. Technol. AQUA 1999, 48, 219–226. [Google Scholar] [CrossRef]
- Fisher, I.; Kastl, G.; Sathasivan, A.; Cook, D.; Seneverathne, L. General model of chlorine decay in blends of surface waters, desalinated water, and groundwaters. J. Environ. Eng. 2015, 141, 04015039. [Google Scholar] [CrossRef]
- Fisher, I.; Kastl, G.; Sathasivan, A.; Jegatheesan, V. Suitability of chlorine bulk decay models for planning and management of water distribution systems. Crit. Rev. Environ. Sci. Technol. 2011, 41, 1843–1882. [Google Scholar] [CrossRef]
- Fisher, I.; Kastl, G.; Sathasivan, A. Evaluation of suitable chlorine bulk-decay models for water distribution systems. Water Res. 2011, 45, 4896–4908. [Google Scholar] [CrossRef] [PubMed]
- Haas, C.N.; Karra, S. Kinetics of wastewater chlorine demand exertion. J. (Water Pollut. Control Fed.) 1984, 56, 170–173. [Google Scholar]
- Zeng, J.; Jiang, Z.; Chen, Q.; Zheng, P.; Huang, Y. The decay kinetics of residual chlorine in cooling seawater simulation experiments. Acta Oceanol. Sin. 2009, 28, 54–59. [Google Scholar]
- Saeed, S.; Prakash, S.; Deb, N.; Campbell, R.; Kolluru, V.; Febbo, E.; Dupont, J. Development of a site-specific kinetic model for chlorine decay and the formation of chlorination by-products in seawater. J. Mar. Sci. Eng. 2015, 3, 772–792. [Google Scholar] [CrossRef]
- Al Heboos, S.; Licskó, I. Application and comparison of two chlorine decay models for predicting bulk chlorine residuals. Period. Polytech. Civ. Eng. 2017, 61, 7–13. [Google Scholar] [CrossRef]
- Shadloo, M.S.; Oger, G.; Le Touzé, D. Smoothed particle hydrodynamics method for fluid flows, towards industrial applications: Motivations, current state, and challenges. Comput. Fluids 2016, 136, 11–34. [Google Scholar] [CrossRef]
- Wols, B.; Hofman, J.; Uijttewaal, W.; Rietveld, L.; Van Dijk, J. Evaluation of different disinfection calculation methods using CFD. Environ. Model. Softw. 2010, 25, 573–582. [Google Scholar] [CrossRef]
- Angeloudis, A.; Stoesser, T.; Falconer, R.A. Predicting the disinfection efficiency range in chlorine contact tanks through a CFD-based approach. Water Res. 2014, 60, 118–129. [Google Scholar] [CrossRef] [PubMed]
- Zhang, J.; Tejada-Martínez, A.E.; Zhang, Q. Developments in computational fluid dynamics-based modeling for disinfection technologies over the last two decades: A review. Environ. Model. Softw. 2014, 58, 71–85. [Google Scholar] [CrossRef]
- Lim, Y.H.; Deering, D.D. Modeling Chlorine Residual in a Ground Water Supply Tank for a Small Community in Cold Conditions, World Environmental and Water Resources Congress 2017; American Society of Civil Engineers: Reston, VA, USA, 2017; pp. 124–138. [Google Scholar]
- Hernández-Cervantes, D.; Delgado-Galván, X.; Nava, J.L.; López-Jiménez, P.A.; Rosales, M.; Mora Rodríguez, J. Validation of a computational fluid dynamics model for a novel residence time distribution analysis in mixing at cross-junctions. Water 2018, 10, 733. [Google Scholar] [CrossRef]
- Hua, F.; West, J.; Barker, R.; Forster, C. Modelling of chlorine decay in municipal water supplies. Water Res. 1999, 33, 2735–2746. [Google Scholar] [CrossRef]
- Jonkergouw, P.M.; Khu, S.-T.; Savic, D.A.; Zhong, D.; Hou, X.Q.; Zhao, H.-B. A variable rate coefficient chlorine decay model. Environ. Sci. Technol. 2009, 43, 408–414. [Google Scholar] [CrossRef]
- Nejjari, F.; Puig, V.; Pérez, R.; Quevedo, J.; Cugueró, M.; Sanz, G.; Mirats, J. Chlorine decay model calibration and comparison: Application to a real water network. Procedia Eng. 2014, 70, 1221–1230. [Google Scholar] [CrossRef][Green Version]
- Kohpaei, A.J.; Sathasivan, A.; Aboutalebi, H. Effectiveness of parallel second order model over second and first order models. Desalin. Water Treat. 2011, 32, 107–114. [Google Scholar] [CrossRef]
- Powell, J.C.; Hallam, N.B.; West, J.R.; Forster, C.F.; Simms, J. Factors which control bulk chlorine decay rates. Water Res. 2000, 34, 117–126. [Google Scholar] [CrossRef]
- Clark, R.M.; Sivaganesan, M. Predicting chlorine residuals in drinking water: Second order model. J. Water Resour. Plan. Manag. 2002, 128, 152–161. [Google Scholar] [CrossRef]
- Li, X.; Li, C.; Bayier, M.; Zhao, T.; Zhang, T.; Chen, X.; Mao, X. Desalinated seawater into pilot-scale drinking water distribution system: Chlorine decay and trihalomethanes formation. Desalin. Water Treat. 2016, 57, 19149–19159. [Google Scholar] [CrossRef]
- United States Environmental Protection Agency (EPA). Chlorine, Total Residual (Spectrophotometric, DPD); EPA-NERL: 330.5; EPA: Cincinnati, OH, USA, 1978.
- Polman, H.; Verhaart, F.; Bruijs, M. Impact of biofouling in intake pipes on the hydraulics and efficiency of pumping capacity. Desalin. Water Treat. 2013, 51, 997–1003. [Google Scholar] [CrossRef]
- Rajagopal, S.; Van der Velde, G.; Van der Gaag, M.; Jenner, H.A. How effective is intermittent chlorination to control adult mussel fouling in cooling water systems? Water Res. 2003, 37, 329–338. [Google Scholar] [CrossRef]
- Bruijs, M.C.; Venhuis, L.P.; Daal, L. Global Experiences in Optimizing Biofouling Control through Pulse-Chlorination®. 2017. Available online: https://www.researchgate.net/publication/318561645_Global_Experiences_in_Optimizing_Biofouling_Control_through_Pulse-ChlorinationR (accessed on 1 May 2020).
- Kim, H.; Hao, O.J.; McAvoy, T.J. Comparison between model-and pH/ORP-based process control for an AAA system. Tamkang J. Sci. Eng. 2000, 3, 165–172. [Google Scholar]
- Brdys, M.; Chang, T.; Duzinkiewicz, K. Intelligent Model Predictive Control of Chlorine Residuals in Water Distribution Systems, Bridging the Gap: Meeting the World’s Water and Environmental Resources Challenges. In Proceedings of the ASCE Water Resource Engineering and Water Resources Planning and Management, Minneapolis, MN, USA, 30 July–2 August 2000; pp. 1–11. [Google Scholar]









| Sample | TOC Concentration (mg L−1) | Initial Chlorine Dose (mg L−1) | Estimated Constants | R2 | RMSE | ||
|---|---|---|---|---|---|---|---|
| ks (h−1) | kf (h−1) | z | |||||
| Artificial seawater | 1.0 | 1.2 | 1.029 | 65.83 | 0.362 | 0.776 | 0.190 | 
| 1.8 | 1.027 | 65.78 | 0.379 | 0.880 | 0.134 | ||
| 2.4 | 1.026 | 65.74 | 0.391 | 0.924 | 0.138 | ||
| 2.0 | 1.2 | 1.050 | 128.7 | 0.338 | 0.910 | 0.057 | |
| 1.8 | 1.048 | 128.6 | 0.353 | 0.944 | 0.120 | ||
| 2.4 | 1.047 | 128.5 | 0.365 | 0.943 | 0.090 | ||
| 3.0 | 1.2 | 1.071 | 251.4 | 0.325 | 0.603 | 0.064 | |
| 1.8 | 1.069 | 251.2 | 0.339 | 0.853 | 0.110 | ||
| 2.4 | 1.068 | 251.1 | 0.350 | 0.809 | 0.154 | ||
| West Sea seawater | 1.3 | 1.2 | 1.036 | 80.49 | 0.353 | 0.885 | 0.109 | 
| 1.8 | 1.034 | 80.43 | 0.369 | 0.941 | 0.194 | ||
| 2.4 | 1.032 | 80.38 | 0.381 | 0.905 | 0.143 | ||
| Flow Rate | Chlorine Concentration (mg L−1) | Sampling Ports | Avg. | ||||||
|---|---|---|---|---|---|---|---|---|---|
| 1 | 2 | 3 | 4 | 5 | 6 | 7 | |||
| 600 L min−1 | Experiment | 1.32 | 1.11 | 0.99 | 0.94 | 0.86 | No data | 0.50 | |
| Simulation with decay kinetics | 1.37 | 1.09 | 0.93 | 0.83 | 0.75 | 0.60 | 0.58 | ||
| Simulation without decay kinetics | 1.37 | 1.10 | 0.94 | 0.84 | 0.77 | 0.63 | 0.63 | ||
| Error with decay kinetics (%) | 4 | 1 | 6 | 12 | 13 | - | 16 | 9 | |
| Error without decay kinetics (%) | 4 | 0 | 5 | 11 | 11 | - | 26 | 9 | |
| 700 L min−1 | Experiment | 1.26 | 0.94 | 0.82 | 0.65 | 0.71 | 0.57 | 0.49 | |
| Simulation with decay kinetics | 1.17 | 0.95 | 0.81 | 0.72 | 0.66 | 0.52 | 0.50 | ||
| Simulation without decay kinetics | 1.18 | 0.96 | 0.82 | 0.73 | 0.67 | 0.54 | 0.54 | ||
| Error with decay kinetics (%) | 7 | 1 | 0 | 11 | 7 | 9 | 2 | 5 | |
| Error without decay kinetics (%) | 6 | 2 | 1 | 13 | 5 | 4 | 10 | 6 | |
| 800 L min−1 | Experiment | 1.29 | 0.88 | 0.67 | 0.85 | 0.62 | 0.55 | 0.36 | |
| Simulation with decay kinetics | 1.01 | 0.84 | 0.72 | 0.64 | 0.58 | 0.45 | 0.44 | ||
| Simulation without decay kinetics | 1.02 | 0.85 | 0.72 | 0.65 | 0.59 | 0.47 | 0.47 | ||
| Error with decay kinetics (%) | 21 | 5 | 7 | 25 | 6 | 18 | 23 | 15 | |
| Error without decay kinetics (%) | 21 | 4 | 8 | 24 | 5 | 14 | 31 | 15 | |
| 900 L min−1 | Experiment | 0.78 | 0.76 | 0.56 | 0.52 | 0.53 | 0.37 | 0.51 | |
| Simulation with decay kinetics | 0.89 | 0.71 | 0.60 | 0.53 | 0.49 | 0.41 | 0.40 | ||
| Simulation without decay kinetics | 0.89 | 0.71 | 0.60 | 0.54 | 0.50 | 0.42 | 0.42 | ||
| Error with decay kinetics (%) | 13 | 7 | 7 | 2 | 8 | 11 | 22 | 10 | |
| Error without decay kinetics (%) | 14 | 6 | 8 | 4 | 7 | 15 | 17 | 10 | |
© 2020 by the authors. Licensee MDPI, Basel, Switzerland. This article is an open access article distributed under the terms and conditions of the Creative Commons Attribution (CC BY) license (http://creativecommons.org/licenses/by/4.0/).
Share and Cite
Yi, J.; Lee, J.; Fikri, M.A.; Sang, B.-I.; Kim, H. Application of Computational Fluid Dynamics in Chlorine-Dynamics Modeling of In-Situ Chlorination Systems for Cooling Systems. Appl. Sci. 2020, 10, 4455. https://doi.org/10.3390/app10134455
Yi J, Lee J, Fikri MA, Sang B-I, Kim H. Application of Computational Fluid Dynamics in Chlorine-Dynamics Modeling of In-Situ Chlorination Systems for Cooling Systems. Applied Sciences. 2020; 10(13):4455. https://doi.org/10.3390/app10134455
Chicago/Turabian StyleYi, Jongchan, Jonghun Lee, Mohd Amiruddin Fikri, Byoung-In Sang, and Hyunook Kim. 2020. "Application of Computational Fluid Dynamics in Chlorine-Dynamics Modeling of In-Situ Chlorination Systems for Cooling Systems" Applied Sciences 10, no. 13: 4455. https://doi.org/10.3390/app10134455
APA StyleYi, J., Lee, J., Fikri, M. A., Sang, B.-I., & Kim, H. (2020). Application of Computational Fluid Dynamics in Chlorine-Dynamics Modeling of In-Situ Chlorination Systems for Cooling Systems. Applied Sciences, 10(13), 4455. https://doi.org/10.3390/app10134455
 
        



 
       