Next Article in Journal
Soil Nitrogen Fractions, Nitrogen Use Efficiency and Yield of Zea mays L. Grown on a Tropical Acid Soil Treated with Composts and Clinoptilolite Zeolite
Next Article in Special Issue
Intensification of Dihydroxybenzenes Degradation over Immobilized TiO2 Based Photocatalysts under Simulated Solar Light
Previous Article in Journal
Eight Weeks Later—The Unprecedented Rise of 3D Printing during the COVID-19 Pandemic—A Case Study, Lessons Learned, and Implications on the Future of Global Decentralized Manufacturing
 
 
Font Type:
Arial Georgia Verdana
Font Size:
Aa Aa Aa
Line Spacing:
Column Width:
Background:
Article

A Rapid Experimental Procedure to Assess Environmental Compatibility of Conditioning Mixtures Used in TBM-EPB Technology

1
Department of Chemical Engineering Materials Environment of Sapienza, University of Rome, 00184 Rome, Italy
2
Geotechnical and Environmental Engineering Group-Startup of Sapienza, University of Rome, 00184 Rome, Italy
3
Department of Structural and Geotechnical Engineering of Sapienza, University of Rome, 00184 Rome, Italy
*
Author to whom correspondence should be addressed.
Appl. Sci. 2020, 10(12), 4138; https://doi.org/10.3390/app10124138
Submission received: 27 March 2020 / Revised: 8 June 2020 / Accepted: 14 June 2020 / Published: 16 June 2020

Abstract

Earth Pressure Balance (EPB) Tunnel Boring Machines (TBM) are currently the most widely used machines to perform tunnel excavation, particularly in urban areas. This technology involves the injection of chemicals as conditioning mixtures, which commonly raises concerns limiting the reuse of soils after excavation. This study deals with the prospect of a simplified, rapid and replicable methodology for the evaluation of the biodegradability of these conditioning mixtures. For this purpose, the biodegradation of three commercial conditioning mixtures was investigated in closed bottle tests by investigating the effect of different mixtures dosages and two different inocula (soil humus and Bacillus Clausii). While using soil humus as inoculum, a comparative study of biodegradation of the three investigated mixtures was successfully carried out; in the case of Bacillus Clausii, it was not possible to make a comparison between the different formulations in a short time. The adoption of soil humus satisfied only the criteria of rapid test, while the Bacillus Clausii, as specific inoculum, can meet the criteria of replicable results. For this reason, in the second part of this experimental study, a rapid and replicable procedure was proposed and validated. A kinetic study of organic carbon removal was also carried out.

1. Introduction

In recent decades, technological evolution in tunneling engineering has provided machines able to perform excavation, to install final lining elements and to move excavated soil (geotechnical engineering meaning/definition) in a continuous, automatized and controlled process [1]. These machines, commonly known as Tunnel Boring Machines (TBM), represent nowadays a reference standard often associated with excavation technology called Earth Pressure Balance (EPB), which requires the continuous injection of chemicals in a process defined soil conditioning.
Soil conditioning is required primarily to modify the properties of the excavated soil and to keep a correct distribution of the pressure applied to the front face to reduce settlement effects on pre-existing buildings. This allows a proper outflow of the same soil from the front of the excavation chamber through the screw conveyor, towards the conveyor belt, to reduce, in cases of coarse-grained soils, the abrasion of the surfaces of the metallic excavation tools [2] and to reduce, in cases of fine-grained soils, the tendency of the soil to adhere to the metal surfaces of the excavation tools, reducing torque and decreasing the risk of the excavation head block (clogging effect) [3].
The injected chemicals, named conditioning agents or conditioning mixtures, are generally composed of a water solvent phase (>50%), surfactants (10–40%) and additives (0.1–5.0%). The surfactants (generally anionic) represent the main chemical component of the mixture and consist of a negatively charged head (in water, they release a cation, usually sodium) with a high polarity and a non-polar carbonic tale. Their main role is to vary the water surface tension by incorporating the external air into spherical-like shaped structures, forming bubbles of different sizes and, as a consequence, foam [4]. The durability of the foam is therefore a function of the stability of the protective film constituted by surfactant molecules and water and is influenced by the viscosity of the liquid phase, by the mechanical resistance of the film and by other factors [5].
Regarding additives, such compounds can be organic and inorganic (mainly salts to modify the viscosity, the colligative properties, the density of the mixture or to maintain the pH in a specific range), which mainly have different properties such as antifreeze, antimicrobial and stabilizers [6,7].
The most common anionic surfactant used in commercial conditioning mixtures is the anionic surfactant sodium lauryl ether sulphate (SLES), whose persistence in the environment and biodegradability has been widely discussed as of a single compound [8,9,10,11,12]. However, in commercial formulations, additional chemicals (stabilizing agents, preservatives, anti-freezing and anti-redeposition agents) are included to increase the quality of the commercial product. The impact of such chemicals is studied by considering the in silico approach and ecotoxicology assays [13]. Therefore, a study of the biodegradation of the whole conditioning mixtures is necessary. The closed bottle method, according to the Organisation for Economic Co-operation and Development (OECD) guideline 301 D [14,15], is recommended as a simple test for the evaluation of the biodegradation of organic compounds [16]. Such tests involve the determination of the Biochemical Oxygen Demand (BOD) at selected time intervals up to 28 days. When biodegradation occurs, microorganisms consume oxygen until the complete removal of organic substances is achieved. First, surfactant biodegradation is involved, while the ultimate biodegradation (BODu) occurs when all surfactant molecules are mineralized [17]. In the presence of only biodegradable substrates, Chemical Oxygen Demand (COD) represents a measure of the total oxygen required for the stabilization of the organic compounds and can provide an estimation of the BODu [18].
For organic compounds, biodegradation is also measured as Total Organic Carbon (TOC) removal, though oxygen consumption can be attributed also to the biological oxidation of non-carbonaceous compounds, such as ammonia nitrification [19]. It is well known that biodegradation rate is dependent on the type of bacterial strain/consortium adopted and different organic removal rates can be obtained: for instance, the degradation of SLES was 11% with Serratia odorifera and a complete biodegradation can be reached if Serratia is coupled with Acinetobacter [20].
The use of a specific inoculum has proved to be crucial in defining a reproducible procedure and to compare results obtained by similar tests on different chemical mixtures [21].
The Bacillus Clausii is an inoculum source commercially available and its use does not require particular precautions. It was demonstrated that this kind of probiotic, used to prevent and treat human and animal diseases, is resistant to pharmaceutical compounds especially antibiotics [22]. Basing on such assumptions, it is a good candidate to be used for the study of biodegradability even on complex matrices such as excavation conditioning mixtures.
In a previous work [23], the biodegradability of three commercial polymeric foams, adopted during TBM-EPB excavation technology, has been studied by considering the procedure of closed bottle tests up to 28 days and with two different bacterial sources: Bacillus Clausii and soil humus. The methodology is based on the determination of the BOD, COD and TOC of the conditioning mixture over the time. The adoption of a mixed consortium (soil) proved to be suitable to establish the high biodegradation behavior of polymeric foams after 10 days of closed bottle tests, while the adoption of a specific inoculum (Bacillus Clausii), despite 28 days of investigation to observe the development of the biodegradation process, guarantees the achievement of repeatable and reproducible results, a crucial aspect in a comparative study.
The present study was aimed at developing a short-time and reproducible procedure that, on the basis of the execution of simple laboratory Accelerated Biodegradation Tests (ABT), allowed the evaluation of the biodegradability of conditioning mixtures under different operative conditions, such as dosage and type of inoculum. First, the study involved the execution of closed bottle tests (OECD guideline 301 D) for the evaluation of the BOD value after five days (BOD5) to compare two different inocula (Bacillus Clausii and soil humus) in the assessment of the mixtures’ biodegradation. In a second series of tests, a rapid and replicable procedure (ABT) was proposed and tested, using Bacillus Clausii as the inoculum. In the view of optimization of such a procedure, the effects of temperature and pH on the biodegradation process were evaluated. All the results have been elaborated through a non-linear data fitting using kinetic models known in the literature to obtain quantitative parameters for literature data comparisons.

2. Materials and Methods

Three of the most commonly employed conditioning mixtures in EPB-TBM tunneling activities, indicated as A, B and C, were used as mixture models for the present study. The information of each mixture reported in the safety data sheets includes the concentration of SLES and the co-presence of 1,2-Benzisothiazol-3(2H)-one in B and hexylene glycol in C, as additives, as shown in Table 1, where the Total Organic Carbon (TOC) and Chemical Oxygen Demand (COD) are also reported.
For each conditioning mixture, three solutions were prepared by dissolving A, B and C in demineralized water. Three different dilution ratios were used: 1:500, 1:750 and 1:1000 (v/v) corresponding to 0.20, 0.13 and 0.10% vol., respectively. Biodegradability tests were performed according to the closed bottles procedure to assess the biodegradability of the investigated mixtures at different dosage (0.20 and 0.10%), and to evaluate the effect of the inoculum selected on the biodegradation rate. Bacillus Clausii was compared to a mixed inoculum obtained by dissolving in water commercial soil humus (Altea Natural Humus; Composition of the dry product: Nitrogen (N) content 2 wt% and Organic (C) content 26 wt%).
After a vigorous mixing, the suspension was separated by sedimentation for 30 min and the supernatant was then kept under continuous aeration [24].
For the closed bottle procedure, different mineral stock solutions were prepared according to the OECD method, in particular:
-
Solution 1 [8.50 g/L of KH2PO4, 21.75 g/L of K2HPO4, 33.40 g/L of Na2HPO4∙2H2O and 0.50 g/L of NH4Cl];
-
Solution 2 [27.50 g/L of CaCl2];
-
Solution 3 [22.50 g/L of MgSO4∙7H2O];
-
Solution 4 [0.25 g/L of FeCl3∙6H2O].
A diluting water solution was prepared by dissolving the mineral stock solutions (1 mL for each mineral) to 1.0 L of demineralized water. This solution was kept in vigorous aeration for 20 min and the foam agent was then added. The bottles were filled with 250 mL of the prepared foam agent solution and 2.0 mL of bacteria inoculum were added. Each bottle is provided by a cup with a digital display that allowed the online monitoring of the BOD value as oxygen consumption.
Neutral pH condition and room temperature (25 °C) were maintained during the closed bottle tests. TOC (determined by a TOC-L analyzer Shimadzu) and COD (determined through colorimetric method [25]) were measured to define a general description of the process by using two indexes: the BOD(t)/COD(t = 0) and COD(t)/TOC(t) ratios. The first parameter (also known as the biodegradation index [26]) defines the rate of oxidable compounds removal, while the second one could highlight the presence of reducing species different from organics.
The mineralization of organic compounds into CO2 and H2O was evaluated by TOC removal %, calculated by the following equation:
TOC (%) = [TOC (t = 0) − TOC (t)]/[TOC (t = 0)] × 100
where TOC [mg/L] was measured at the beginning of the tests (t = 0) and at a selected time t. In the adopted conditions, the mean values of the TOC (t = 0) were 152.08, 210.77 and 316.16 mg/L (for the conditioning mixture (A); 70.03, 99.70 and 149.56 mg/L (for the conditioning mixture (B); 72.24, 115.21 and 172.67 mg/L (for the conditioning mixture (C), at 0.10, 0.13 and 0.20%, respectively.
In the ABT 1.5 L of the solution, prepared according to the procedure previously reported, was maintained under a vigorous aeration (~1 L/min) to provide the oxygen necessary to the microorganism source during biological oxidation. The same BOD closed bottle operative conditions have been adopted in ABT. In the latter case, the effect of an intermediate dosage (0.13%), pH and temperature were investigated. H2SO4 (1.0 M) and NaOH (2.0 M) were used to reach acid (pH = 3) and alkaline (pH = 8) pH conditions, respectively, while 20, 30 and 40 °C were chosen as the operative temperatures. A pH meter (Crison 421) and a thermometer were adopted during the monitoring of the tests.
All results have been reported as the mean value of at least three repetitions for each test: a standard deviation below 10% was calculated in all tests.
The fitting of the experimental results, in term of organic carbon concentration (c) and time (t), collected over the ABT were performed by considering three kinetic models Monod (Equation (2)) [27], Blackman (Equation (3)) [28] and Tessier (Equation (4)) [29], whose reaction rate expressions are reported below:
dc/dt = −[µM c]/[Ks + c)]
dc/dt = −[µM c]/[2Ks ]
dc/dt = −µM [1 − exp (−c/Ks)]
where the microorganism growth rate µM [mg/l h] and the substrate saturation constant Ks [mg/L] can be calculated through the Runge–Kutta iterative method (Equation (5)) with a step-size h = 0.5 h [30].
c(t) = c0 + h f(c, µM, Ks)
The choice of the best representative model of the process was carried out by evaluating the error function expressed as the difference between the experimental (cexp) data and the calculated (ccalc) one with the model (ε) for all the values (n), as reported in the Equation (6):
Φ = [   i = 1 n   | ( c e x p c c a l c ) i | ] / n

3. Results and Discussion

In a previous investigation, BOD curves up to 28 days for the mixtures A, B and C (0.20%) were reported and a significative enhancement on biodegradation was observed by adopting soil bacterial inoculum [23]. The high activity of the microorganisms was highlighted already after 10 days of test, when, from the comparison of the TOC, COD and BOD data, a comparison between the different biodegradability of the foaming agents was possible to be made [23].
This type of investigation is required in the case of an a priori evaluation on the choice of the foaming agent to be used during the excavation activities’ joint geotechnical assessments. In case of an on-line monitoring, a short methodology may be useful especially when, for example, adverse conditions on TBM operations, and a dosage change of foam is required. In this case, time is a crucial parameter for establishing the effects of a change in dosages.
For this reason, five days of closed bottle tests as short tests were performed at different polymer concentration (0.20 and 0.10%) and two different inocula (Bacillus Clausii and soil). In Figure 1, the results of the biodegradation tests of the mixtures A, B and C dosed at 0.20% are presented.
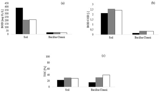
The results obtained after five days showed that the presence of a mixed consortium (soil bacterial inoculum) resulted in an enhancement of substrate biodegradation compared to Bacillus Clausii (Figure 1a), thus suggesting that the investigated conditioning mixtures exhibited a high response to biodegradation especially for B (BOD/COD = 0.92) and C (BOD/COD = 0.93).
For sample A, the low value of BOD/COD index (Figure 1b) at the same dosage is due to the high TOC initial value of this foaming agent, compared to B and C. To support this observation, the results of organic mineralization in term of TOC are reported in Figure 1c. Only a slight TOC removal was observed both when soil humus supernatant and Bacillus Clausii were used as inoculum in BOD tests. This result is not in accordance with the measured BOD: when Bacillus Clausii was used, the reached BOD value after five days (15.9 mg O2/L) was lower than 86% compared to the BOD reached when the soil humus supernatant was employed. This result can be ascribed to the higher respiration activity of a mixed consortium such as soil humus supernatant with respect to a single bacterial strain [31]. This last aspect is extremely important for a reproducible and representative test of the process: the use of a specific inoculum guarantees the collection of more reliable and reproducible data.
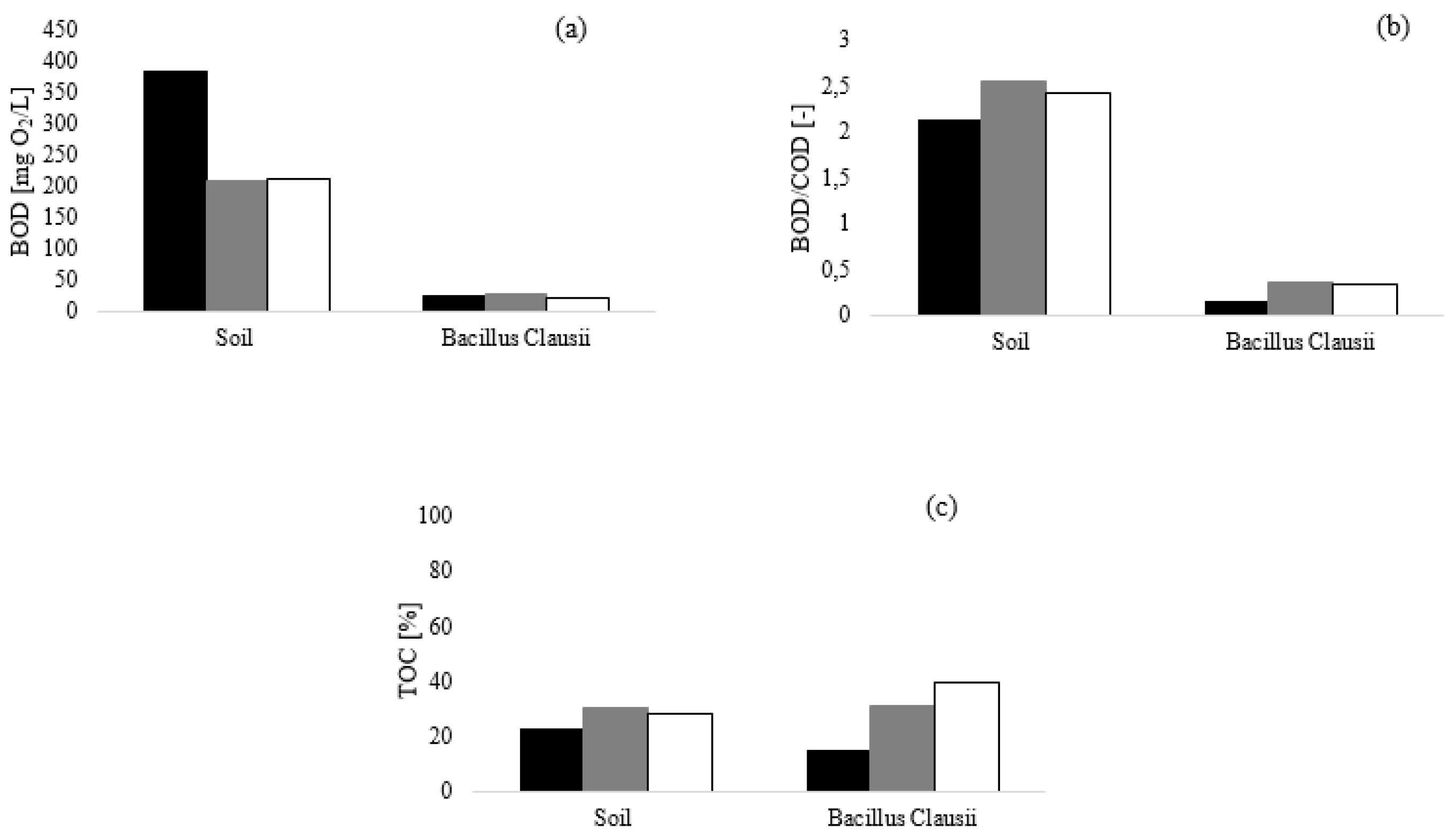
Figure 2 shows the results obtained at a dosage of 0.10%, where the inhibition due to the high concentration of conditioning agent did not occur.
Dilution of the conditioning mixtures resulted in an enhancement of biodegradation. As already observed, the BOD values (Figure 2a) strongly depended on the used inoculum. The BOD values measured after five days were 383.5, 210.1 and 211.3 mgO2/L, respectively, for the conditioning mixtures A, B and C, when soil humus was used as the inoculum, thus suggesting a higher biodegradation rate for the 0.10% mixtures with respect to the 0.20% mixtures. Conversely, when the Bacillus Clausii was used as inoculum, a substantial increase in BOD values was not observed (23.54, 28.07 and 20.36 mgO2/L for A, B and C, respectively). Such remarkable difference in BOD values between the two used inocula was due to the different respiration activity, as previously discussed.
Additionally, at 0.20% dosage, a notable enhancement of the biodegradation process was observed when mixed bacterial culture was used, as highlighted by the BOD/COD indexes reported in Figure 2b. Comparing the results obtained with the two inocula, a strong difference in terms of biodegradation index between soil humus and Bacillus Clausii was observed. In the tests performed with Bacillus Clausii, lower biodegradation indexes were calculated with respect to those of soil humus. In the latter case, after only five days of test, BOD5 exceeded the correspondent initial COD0 value, thus suggesting the presence of other species not chemically oxidable but biodegradable, such as some Nitrogen Organic Compounds (NOCs).
This effect could be explained by the possible development of the nitrification process during the BOD closed bottle tests, due to the possible presence of nitrifying microorganism in a mixed consortium such as soil humus [32]. This last consideration supports the conclusion that using a single species inoculum helps ensure reproducible data.
Meanwhile, as showed in Figure 2c, no substantial differences in TOC removals were calculated and this highlights that the adopted bacterial strain inoculated in the BOD test had the same ability to remove the organic compounds of foaming agents.
The simplicity of the study and the possibility of obtaining results in a short time make this approach applicable during excavation activities, as a support to the evaluation of biodegradation processes of conditioned soils.
Until now, the use of a specific inoculum in closed bottle tests at five days did not allow obtaining exhaustive information about the biodegradation of the products or to make comparisons with other products. Clearly, according to OECD guidelines and regulations, the use of a specific inoculum such as Bacillus Clausii is not required. However, from a scientific and practical point of view, the development of a rapid and easy test that yields reproducible and reliable results might allow selection of the most proper (most biodegradable) foaming agent, once the geotechnical requirements have been established, without the necessity of performing BOD28 tests.
For this reason, biodegradation tests were developed maintaining the system under a continuous air supply and in the presence of Bacillus Clausii as a bacterial inoculum. These tests were termed accelerated because they required less time to develop than the 5, 10 and 28 days required by the closed bottle technique. The ABT tests were performed by considering an additional dosage (0.13%) helpful for the kinetic study.
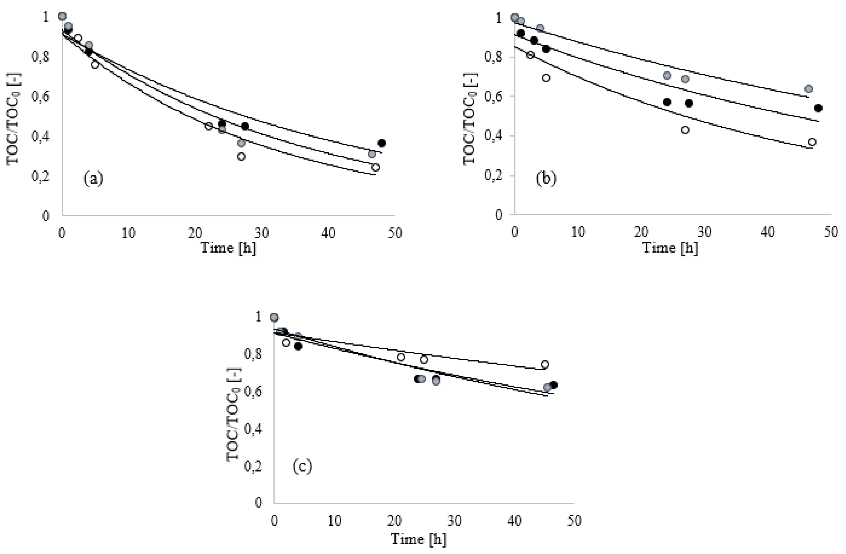
In Figure 3, the results of ABT of the three foaming agents (A, B and C) at three dosages (0.20, 0.13 and 0.10%) at 30 °C and neutral pH condition (pH = 6) are reported.
In Figure 3, it is possible to observe that the concentration had a significant effect in the first hours for mixture B (Figure 3b). In fact, the removal rate increased with increasing organic carbon content, with a removal of about 60% after 47 h of treatment when B was used at the higher dosage (0.20%). With the decrease in the initial TOC (0.13 and 0.10%), the process showed slowing down as a consequence of the low availability of organic compounds to be consumed during the biological process.
A similar trend was observed when mixture A (Figure 3a) was used at different concentrations, confirming that in the adopted range, the use of such mixtures did not compromise the development of a bioremediation process and did not affect the removal. Tests conducted on mixtures A and B have not indicated an inhibition for a high substrate concentration; conversely, such interference was clearly evident in the case of the third foaming agent (C), where the concentration of the additives was decidedly higher than A and B (Table 1).
In Figure 3c, the inhibition due to the high organic carbon content was highlighted when the concentration was 0.2% with a slowing of the TOC removal process. From the fitting of the experimental data using the models previously described, it was defined that a first order kinetic model, and specifically, the Blackman model, better described the experimental data, showing the lowest objective function values (Table 2). In Table 2 are reported all the objective functions (Equation (6)), confirming that the lower values calculated with the Blackman model compared to the Monod and Tessier models, define Blackman as a better representation of the experimental data.
Based on the objective functions calculated, Blackman can be considered a suitable model that adequately describes the results of TOC trend in all the investigated concentrations. By considering the Blackman model process (Equation (3)), the mass balance can be defined from integration of Equation (7) with boundary conditions of the initial time and a generic time (t):
∫dc/dt = −∫K c
c(t) = c0 exp(−K t)
Defining K (h−1) as:
K = µM/2 Ks
The first values of μM and Ks for the iterative cycles have been set on the basis of data available in the literature [33,34,35].
Table 3 shows the values of the kinetic constants and the estimated reaction time to achieve a 20 or a 50% removal of the initial TOC of the mixtures.
Results show that the tested mixtures showed a different behavior. Mixture A, at any dosage tested in this work, showed a fast organics removal with respect to the other mixtures. In particular, though the removal followed the same initial trend at any tested concentration, at the higher dosage (0.20%), a shorter time was required (about 17.33 h) to achieve a 50% reduction of the initial amount of organics. This behavior could be attributed to the typical first kinetic order reaction that is promoted by the high value of c0 (Equation (8)).
The trend of TOC removal in tests with mixture C was quite different: although a positive effect of the increasing TOC initial value was detected up to 0.13% dosage, a further increase caused a remarkable slowing down of the biodegradation process.
When considering the safety data sheets of mixture C, it resulted, in fact, composed of volatile compounds (mono-C10-16-alkyl esters) which are quickly removed (stripping) from the solution through the action of bubbling air into the system. To confirm this evidence, analogous tests without the addition of the inoculum were performed with a foam dosage of 0.20%. In such condition, a TOC decrease was observed, as a consequence of the stripping of volatile substances from the mixture. In particular, after only 1 h of aeration, a TOC removal of 10% was observed for the C mixture, while a negligible TOC removal (~2%) was measured for the other mixtures, suggesting the limited concentration of volatile compounds on both formulations. After 1 h, a stabilization of the foam was observed and no variation in TOC trends was measured.
For this reason, a different trend in TOC removal was observed (Figure 3c) before the first 20 h treatment and, after this time, a plateau was reached for all the concentrations investigated. The presence of volatile compounds justifies the addition in C formulation of stabilizers with high viscosity and low volatility (hexylene glycol) necessary to maintain such volatile compounds in the liquid phase. Due to the presence of these compounds, biological treatment is less effective for C, especially when the solution is more concentrated (0.20%) [36].
When mixture B was used at the lower dosages (0.10 and 0.13%) and for all the solutions prepared with mixture C, a TOC removal of 50% was not achieved during the 50 h tests, as a consequence of the limitations previously discussed about the presence of the additives (Figure 3).
To evaluate any possible interference of the biodegradation process due to the presence of additives, further investigations, similar to those previously discussed, were performed on solutions with different concentrations of the mixtures A and B at the same initial TOC value, corresponding to the TOC measured for mixture A at 0.20% dosage (Figure 4).
From Figure 4, it is possible to observe the effect of the additives present in B, as reported in Table 1. Mixture A showed a greater predisposition to biodegradation compared to B: in particular, after 72 h of treatment, the TOC removal efficiency values were 80 and 64% for A and B, respectively (first cycle). No further removal over time was observed after that point. To verify if this arrest on biodegradation could be correlated to the low availability of an active inoculum, after 72 h of treatment, 2.0 mL of fresh Bacillus Clausii were added to both solutions and the TOC was monitored. In this second cycle, an additional TOC removal was observed for mixture A (up to 90%), while the persistence of the plateau for mixture B was observed. This result confirmed that B was in range of optimal concentrations for its biodegradation. When this dosage reaches levels where the presence of additives affects the biodegradation process (0.37%), the inhibition effect starts to occur.
With this type of test, in less than five days, it was possible to make considerations in line with what reported in our previous work using the same conditioning mixture [23], but they were not appreciable with closed bottle tests performed in five days.
Since the temperature and the pH of the solutions can influence the biodegradation process, additional tests were conducted considering two temperature values equal to 20 and 40 °C (Figure 5) and pH equal to 4 and 8 (Figure 6).
According to the results displayed in Figure 5 and the values of the kinetic parameters reported in Table 4, it is possible to observe that, in the investigated range, temperature did not significantly influence the biodegradation process of mixtures A and B, whilst a remarkable influence was observed for mixture C.
The temperature was not effective for the biodegradation of mixture A, and the TOC removal of 50% was reached in similar times. When mixture C was tested, a remarkable difference in the estimated time required for a 20% removal of TOC was observed, and, to achieve a removal of the 50%, a substantial difference in the estimated time values was determined for both the conditioning mixtures B and C. This result suggests that the high temperature (40 °C) combined with the high additives dosages (Table 1) could cause a loss of microorganism viability [34].
Similar considerations were also conducted by evaluating the effect of pH. Variations of this parameter were more significant than those observed for temperature.
By the analysis of the TOC removal trends reported in Figure 6, a reduction in biodegradation rate under acidic pH condition (pH = 4) was observed in the treatment of mixture A (Figure 6a), while a slight significative effect was detected in the treatment of mixtures B and C (Figure 6b,c). This limiting effect of the acid pH is not remarkable in tests conducted with mixtures B and C, as there is already slower biodegradation shown at high pH (pH = 8) compared to that obtained in the test with mixture A due to the presence of additives, an aspect previously discussed. Overall, the results confirmed that the performance of the bacterial inoculum adopted were optimized at pH = 6.

4. Conclusions

The biodegradation of conditioning mixtures injected into the soil during TBM-EPB tunneling was studied by performing laboratory tests on three conditioning mixtures containing SLES as surfactant agent (10–50%, 10–20% and 5–10% in mixtures A, B and C, respectively) and a limited dosage of additives. Results showed that the biodegradation of the selected mixtures strongly depended on the inoculum used as a bacterial source in BOD tests. According to the closed bottle tests (as laid down in the OECD guidelines), only in the presence of soil humus, it was possible to establish a comparison of the three formulations within five days.
In order to propose a rapid and reproducible methodology for the comparison of biodegradation trends exhibited by different formulation of SLES and additives, a procedure involving ABT was proposed using the Bacillus Clausii as the inoculum.
The results obtained in the ABT tests were in line with those obtained using the standard procedure. In cases of mixtures rich in additives, an inhibition effect due to the high organic concentration was detected (mixture C), while in cases of high SLES concentration (mixtures A and B), this inhibition was limited because of easily biodegradable compounds. In such conditions, the estimated times required to achieve the TOC removal of about 50% were 19.25, 22.36 and 17.33 h for mixture A at dosages of 0.10, 0.13 and 0.2%, respectively. For B, the estimated times required were 49.51, 31.50 and 21.00 h and for C were 43.32, 46.21 and 63.01 h at a concentration of 0.10, 0.13 and 0.20%, respectively.
In all conditions adopted, the Blackman first order kinetic model well described the experimental results.

Author Contributions

Conceptualization, I.B. and G.V.; validation, G.V., D.S. and A.D.G.; investigation, M.D.F. and A.D.B.; data curation, I.B. and M.D.F.; writing—original draft preparation, I.B., G.V., D.S.; writing—review and editing, L.D.P.; supervision, L.D.P. and S.M. All authors have read and agreed to the published version of the manuscript.

Funding

This research received no external funding.

Conflicts of Interest

The authors declare no conflict of interest.

References

  1. Langmaack, L. Advanced technology of soil conditioning in EPB shield tunnelling. Proc. N. Am. Tunn. 2000, 2000, 525–542. [Google Scholar]
  2. Sebastiani, D.; Passeri, D.; Belardi, G. and Miliziano, S. Experimental study of coarse soil properties influencing soil abrasivity. Procedia Eng. 2016, 158, 9–14. [Google Scholar] [CrossRef][Green Version]
  3. Thewes, M.; Budach, C. Soil conditioning with foam during EPB tunnelling/Konditionierung von Lockergesteinen bei Erddruckschilden. Geomech. Tunn. 2010, 3, 256–267. [Google Scholar] [CrossRef]
  4. Rosen, M.J. Surfactants and Interfacial Phenomena, 3rd ed.; John Wiley & Sons: Hoboken, NJ, USA, 2004. [Google Scholar]
  5. Maestro, A.; Rio, E.; Drenckhan, W.; Langevin, D.; Salonen, A. Foams stabilized by mixtures of nanoparticles and oppositely charged surfactants: Relationship between bubble shrinkage and foam coarsening. Soft Matter 2014, 10, 6975–6983. [Google Scholar] [CrossRef]
  6. Gonzenbach, U.T.; Studart, A.R.; Tervoort, E.; Gauckler, L.J. Stabilization of foams with inorganic colloidal particles. Langmuir 2006, 22, 10983–10988. [Google Scholar] [CrossRef]
  7. Myers, D. Surfactant Science and Technology; John Wiley & Sons: Hoboken, NJ, USA, 2005. [Google Scholar]
  8. Barra Caracciolo, A.; Cardoni, M.; Pescatore, T.; Patrolecco, L. Characteristics and environmental fate of the anionic surfactant sodium lauryl ether sulphate (SLES) used as the main component in foaming agents for mechanized tunnelling. Environ. Pollut. 2017, 226, 94–103. [Google Scholar] [CrossRef]
  9. Barra Caracciolo, A.; Ademollo, N.; Cardoni, M.; Di Giulio, A.; Grenni, P.; Pescatore, T.; Rauseo, J.; Patrolecco, L. Assessment of biodegradation of the anionic surfactant sodium lauryl ether sulphate used in two foaming agents for mechanized tunnelling excavation. J. Hazard. Mater. 2019, 365, 538–545. [Google Scholar] [CrossRef]
  10. Aloui, F.; Kchaou, S.; Sayadi, S. Physicochemical treatments of anionic surfactants wastewater: Effect on aerobic biodegradability. J. Hazard. Mater. 2009, 164, 353–359. [Google Scholar] [CrossRef]
  11. Dhouib, A.; Hamad, N.; Hassaïri, I.; Sayadi, S. Degradation of anionic surfactants by Citrobacter braakii. Process Biochem. 2003, 38, 1245–1250. [Google Scholar] [CrossRef]
  12. Dhouib, A.; Hdiji, N.; Hassaïri, I.; Sayadi, S. Large scale application of membrane bioreactor technology for the treatment and reuse of an anionic surfactant wastewater. Process Biochem. 2005, 40, 2715–2720. [Google Scholar] [CrossRef]
  13. Baderna, D.; Lomazzi, E.; Passoni, A.; Pogliaghi, A.; Petoumenou, M.I.; Bagnati, R.; Lodi, M.; Viarengo, A.; Sforzini, S.; Benfenati, E.; et al. Chemical characterization and ecotoxicity of three soil foaming agents used in mechanized tunneling. J. Hazard. Mater. 2015, 296, 210–220. [Google Scholar] [CrossRef] [PubMed]
  14. OECD. Ready Biodegradability, OECD Guideline for Testing of Chemicals; OECD: Paris, France, 1992; no. 301. [Google Scholar]
  15. Wen, Q.; Chen, J.-X.; Tang, Y.-L.; Wang, J.; Yang, Z. Assessing the toxicity and biodegradability of deep eutectic solvents. Chemosphere 2015, 132, 63–69. [Google Scholar] [CrossRef] [PubMed]
  16. Alexy, R.; Kümpel, T.; Kümmerer, K. Assessment of degradation of 18 antibiotics in the Closed Bottle Test. Chemosphere 2004, 57, 505–512. [Google Scholar] [CrossRef] [PubMed]
  17. Scott, M.J. and Jones, M.N. The biodegradation of surfactants in the environment. Biochim. et Biophys. Acta-Biomembr. 2000, 1508, 235–251. [Google Scholar] [CrossRef]
  18. Hales, S.G.; Philpotts, C.J.; Gillard, C. A respirometer with improved sensitivity for ready biodegradation testing. Chemosphere 1996, 33, 1247–1259. [Google Scholar] [CrossRef]
  19. Zhang, C.; Valsaraj, K.T.; Constant, W.D.; Roy, D. Nutrient and surfactant enhancement for the biodegradation of chlorinated hydrocarbons in the wastewater from a Louisiana Superfund site. J. Hazard. Mater. 1998, 62, 41–58. [Google Scholar] [CrossRef]
  20. Khleifat, K.M. Biodegradation of sodium lauryl ether sulfate (SLES) by two different bacterial consortia. Curr. Microbiol. 2006, 53, 444–448. [Google Scholar] [CrossRef]
  21. Kowalczyk, A.; Martin, T.J.; Price, O.R.; Snape, J.R.; van Egmond, R.A.; Finnegan, C.J.; Schäfer, H.; Davenport, R.J.; Bending, G.D. Refinement of biodegradation tests methodologies and the proposed utility of new microbial ecology techniques. Ecotoxicol. Environ. Saf. 2015, 111, 9–22. [Google Scholar] [CrossRef]
  22. Kong, X.-X.; Jiang, J.-L.; Qiao, B.; Liu, H.; Cheng, J.-S.; Yuan, Y.-J. The biodegradation of cefuroxime, cefotaxime and cefpirome by the synthetic consortium with probiotic Bacillus clausii and investigation of their potential biodegradation pathways. Sci. Total Environ. 2019, 651, 271–280. [Google Scholar] [CrossRef]
  23. Vilardi, G.; Bavasso, I.; Sebastiani, D.; Miliziano, S.; Di Palma, L.; Pirone, M.; Carriero, F.; Sorge, R. Influence of bacteria inoculum and organic concentration on the biodegradation of soil conditioning agents in aqueous solutions. In Proceedings of the WTC 2019 ITA-AITES World Tunnel Congress-Tunnels and Underground Cities: Engineering and Innovation Meet Archaeology, Architecture and Art, Naples, Italy, 3–9 May 2019; pp. 551–556. [Google Scholar]
  24. IRSA (CNR). Analytical Methods for Water; Polygraphic Institute of the Italian Government: Roma, Italy, 1994; p. 100. [Google Scholar]
  25. American Public Health Association. American Public Health Association. American Water Works Association, Water Environmental Federation. In Standard Methods for the Examination of Water and Wastewater, 21th ed.; American Public Health Association: Washington, DC, USA, 2005. [Google Scholar]
  26. Al-Momani, F.; Touraud, E.; Degorce-Dumas, J.R.; Roussy, J.; Thomas, O. Biodegradability enhancement of textile dyes and textile wastewater by VUV photolysis. J. Photochem. Photobiol. A Chem. 2002, 153, 191–197. [Google Scholar] [CrossRef]
  27. Shuler, M. and Kargi, F. Bioprocess Engineering: Basic Concepts, 2nd ed.; Prentice Hall: Upper Saddle River, NJ, USA, 2002. [Google Scholar]
  28. Zacharof, M.P.; Lovitt, R.W. Modelling and simulation of cell growth dynamics, substrate consumption, and lactic acid production kinetics of Lactococcuslactis. Biotechnol. Bioprocess Eng. 2013, 18, 52–64. [Google Scholar] [CrossRef]
  29. Jafary, T.; Ghoreyshi, A.A.; Najafpour, G.D.; Fatemi, S.; Rahimnejad, M. Investigation on performance of microbial fuel cells based on carbon sources and kinetic models. Int. J. Energy Res. 2013, 37, 1539–1549. [Google Scholar] [CrossRef]
  30. Bavasso, I.; Montanaro, D.; Petrucci, E.; Di Palma, L. Shortcut Biological Nitrogen Removal (SBNR) in an MFC anode chamber under microaerobic conditions: The effect of C/N ratio and kinetic study. Sustainability 2018, 10, 1062. [Google Scholar] [CrossRef]
  31. González-Pinzón, R.; Haggerty, R.; Myrold, D.D. Measuring aerobic respiration in stream ecosystems using the resazurin-resorufin system. J. Geophys. Res. Biogeosci. 2012, 117, G00N06. [Google Scholar] [CrossRef]
  32. Siddiqi, R.H.; Speece, R.E.; Engelbrecht, R.S.; Schmidt, J.W. Elimination of Nitrification in the BOD determination with 0.10 M ammonia nitrogen. Water Pollut. Control Fed. 1967, 39, 579–589. [Google Scholar]
  33. Mahanta, D.J.; Borah, M.; Saikia, P. A Study on Kinetic Models for Analysing the Bacterial Growth Rate. Am. Int. J. Res. Sci. Technol. Eng. Math. 2014, 8, 2328–3491. [Google Scholar]
  34. Debasmita, N.; Rajasimman, M. Optimization and kinetics studies on biodegradation of atrazine using mixed microorganisms. Alex. Eng. J. 2013, 52, 499–505. [Google Scholar] [CrossRef]
  35. Nyholm, N.; Ingerslev, F.; Berg, U.T.; Pedersen, J.P.; Frimer-Larsen, H. Estimation of kinetic rate constants for biodegradation of chemicals in activated sludge wastewater treatment plants using short term batch experiments and μg/L range spiked concentrations. Chemosphere 1996, 33, 851–864. [Google Scholar] [CrossRef]
  36. Król, B.; Prochaska, K.; Chrzanowski, Ł. Biodegradability of Firefighting Foams. Fire Technol. 2012, 48, 173–181. [Google Scholar] [CrossRef]
Figure 1. BOD (a), biodegradation index (b) and TOC removal (c) after five days in closed bottle tests. Conditions: 2.0 mL of Bacillus Clausii or inoculum from soil humus (soil) and 0.20% as concentration of the conditioning mixtures A (black), B (gray) and C (white) in demineralized water solutions.
Figure 1. BOD (a), biodegradation index (b) and TOC removal (c) after five days in closed bottle tests. Conditions: 2.0 mL of Bacillus Clausii or inoculum from soil humus (soil) and 0.20% as concentration of the conditioning mixtures A (black), B (gray) and C (white) in demineralized water solutions.
Applsci 10 04138 g001
Figure 2. BOD (a), biodegradation index (b) and TOC removal (c) after five days in closed bottle tests. Conditions: 2.0 mL of Bacillus Clausii or inoculum from soil humus (soil) and 0.10% as concentration of the conditioning mixtures A (black), B (gray) and C (white) in demineralized water solutions.
Figure 2. BOD (a), biodegradation index (b) and TOC removal (c) after five days in closed bottle tests. Conditions: 2.0 mL of Bacillus Clausii or inoculum from soil humus (soil) and 0.10% as concentration of the conditioning mixtures A (black), B (gray) and C (white) in demineralized water solutions.
Applsci 10 04138 g002
Figure 3. TOC removal trends (Blackman equation) during accelerated biodegradation tests of the conditioning mixture A (a), B (b) and C (c) with 2.0 mL of Bacillus Clausii at different dosages as 0.10% (gray), 0.13% (black) and 0.20% (white). Conditions: pH = 6 and 30 °C.
Figure 3. TOC removal trends (Blackman equation) during accelerated biodegradation tests of the conditioning mixture A (a), B (b) and C (c) with 2.0 mL of Bacillus Clausii at different dosages as 0.10% (gray), 0.13% (black) and 0.20% (white). Conditions: pH = 6 and 30 °C.
Applsci 10 04138 g003
Figure 4. TOC removal % during accelerated biodegradation tests of conditioning mixture A (circle) and B (triangle) with 2.0 mL of Bacillus Clausii. First cycle of treatment (full symbols) and second cycle (empty symbols).
Figure 4. TOC removal % during accelerated biodegradation tests of conditioning mixture A (circle) and B (triangle) with 2.0 mL of Bacillus Clausii. First cycle of treatment (full symbols) and second cycle (empty symbols).
Applsci 10 04138 g004
Figure 5. TOC removal trends (Blackman equation) during accelerated biodegradation tests of conditioning mixture A (a), B (b) and C (c) with 2.0 mL of Bacillus Clausii at different operative temperature as 20 °C (□), 30 °C (○) and 40 °C (●). Conditions: pH = 6 and 0.10% as conditioning mixture dosage.
Figure 5. TOC removal trends (Blackman equation) during accelerated biodegradation tests of conditioning mixture A (a), B (b) and C (c) with 2.0 mL of Bacillus Clausii at different operative temperature as 20 °C (□), 30 °C (○) and 40 °C (●). Conditions: pH = 6 and 0.10% as conditioning mixture dosage.
Applsci 10 04138 g005
Figure 6. TOC removal trends (Blackman equation) during accelerated biodegradation tests of conditioning mixture A (a), B (b) and C (c) with 2.0 mL of Bacillus Clausii at different operative temperature as 4 (□), 6 (○) and 8 (●). Conditions: T = 30 °C and 0.10% as conditioning mixture dosage.
Figure 6. TOC removal trends (Blackman equation) during accelerated biodegradation tests of conditioning mixture A (a), B (b) and C (c) with 2.0 mL of Bacillus Clausii at different operative temperature as 4 (□), 6 (○) and 8 (●). Conditions: T = 30 °C and 0.10% as conditioning mixture dosage.
Applsci 10 04138 g006
Table 1. Characteristics of the conditioning mixtures used in the experiments.
Table 1. Characteristics of the conditioning mixtures used in the experiments.
Conditioning MixtureTOC [g/L]COD [g/L]SLES [wt%]Additives [wt%]
A154.3154.910–50-
B67.186.210–200.005–0.01
C74.875.65–105–10
Table 2. Objective function value TOC data fitting by the Monod, Blackman and Tessier models at different conditioning mixture concentrations (0.10, 0.13 and 0.20%).
Table 2. Objective function value TOC data fitting by the Monod, Blackman and Tessier models at different conditioning mixture concentrations (0.10, 0.13 and 0.20%).
Conditioning MixturesConcentration %vol.ΦMonodΦBlackmanΦTessier
A0.1012.7855.67413.097
0.1312.6534.98613.001
0.2013.0005.23413.825
B0.1013.5223.34413.727
0.1312.9093.68413.776
0.2012.5523.81013.758
C0.108.6532.9578.833
0.138.4812.4818.209
0.207.9992.2808.011
Table 3. Blackman overall first order kinetic constant (K) and estimated time (t*) required to achieve the 20 and 50% of TOC0 (t*20% and t*50%). Conditions: T = 30 °C and pH = 6.
Table 3. Blackman overall first order kinetic constant (K) and estimated time (t*) required to achieve the 20 and 50% of TOC0 (t*20% and t*50%). Conditions: T = 30 °C and pH = 6.
Conditioning MixturesConcentration [%vol.]K [1/h]t*20% [h]t*50% [h]
A0.100.0366.2019.25
0.130.0317.1922.36
0.200.0405.5817.33
B0.100.01415.9449.51
0.130.02210.1431.50
0.200.0336.7621.00
C0.100.01613.9443.32
0.130.01514.8746.21
0.200.01120.2863.01
Table 4. Blackman overall first order kinetic constant (K) and estimated time (t*) required to achieve the 20 and 50% of TOC0 (t*20% and t*50%) at different temperature values (mixture concentration = 0.10% and pH = 6) and at different pH values (mixture concentration = 0.10% and T = 30 °C).
Table 4. Blackman overall first order kinetic constant (K) and estimated time (t*) required to achieve the 20 and 50% of TOC0 (t*20% and t*50%) at different temperature values (mixture concentration = 0.10% and pH = 6) and at different pH values (mixture concentration = 0.10% and T = 30 °C).
Conditioning MixturesTemperature [°C]K [1/h]t*20% [h]t*50% [h]pHK [1/h]t*20% [h]t*50% [h]
A200.0376.0318.7340.01911.7436.48
400.0356.3719.8080.0376.0318.73
B200.01713.1240.7740.01120.2863.01
400.01514.8746.2180.01317.1653.32
C200.01613.9443.3240.01218.5957.76
400.00924.7977.0180.01514.8746.21

Share and Cite

MDPI and ACS Style

Bavasso, I.; Vilardi, G.; Sebastiani, D.; Di Giulio, A.; Di Felice, M.; Di Biase, A.; Miliziano, S.; Di Palma, L. A Rapid Experimental Procedure to Assess Environmental Compatibility of Conditioning Mixtures Used in TBM-EPB Technology. Appl. Sci. 2020, 10, 4138. https://doi.org/10.3390/app10124138

AMA Style

Bavasso I, Vilardi G, Sebastiani D, Di Giulio A, Di Felice M, Di Biase A, Miliziano S, Di Palma L. A Rapid Experimental Procedure to Assess Environmental Compatibility of Conditioning Mixtures Used in TBM-EPB Technology. Applied Sciences. 2020; 10(12):4138. https://doi.org/10.3390/app10124138

Chicago/Turabian Style

Bavasso, Irene, Giorgio Vilardi, Diego Sebastiani, Anita Di Giulio, Marta Di Felice, Andrea Di Biase, Salvatore Miliziano, and Luca Di Palma. 2020. "A Rapid Experimental Procedure to Assess Environmental Compatibility of Conditioning Mixtures Used in TBM-EPB Technology" Applied Sciences 10, no. 12: 4138. https://doi.org/10.3390/app10124138

APA Style

Bavasso, I., Vilardi, G., Sebastiani, D., Di Giulio, A., Di Felice, M., Di Biase, A., Miliziano, S., & Di Palma, L. (2020). A Rapid Experimental Procedure to Assess Environmental Compatibility of Conditioning Mixtures Used in TBM-EPB Technology. Applied Sciences, 10(12), 4138. https://doi.org/10.3390/app10124138

Note that from the first issue of 2016, this journal uses article numbers instead of page numbers. See further details here.

Article Metrics

Back to TopTop