Development of Classification Algorithms for the Detection of Postures Using Non-Marker-Based Motion Capture Systems
Abstract
1. Introduction
2. Materials and Methods
2.1. Participants
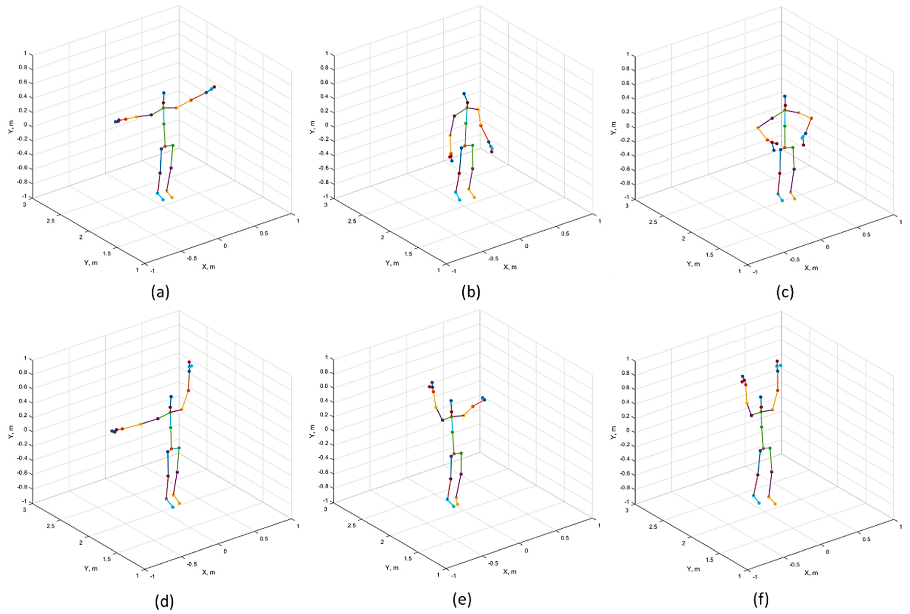
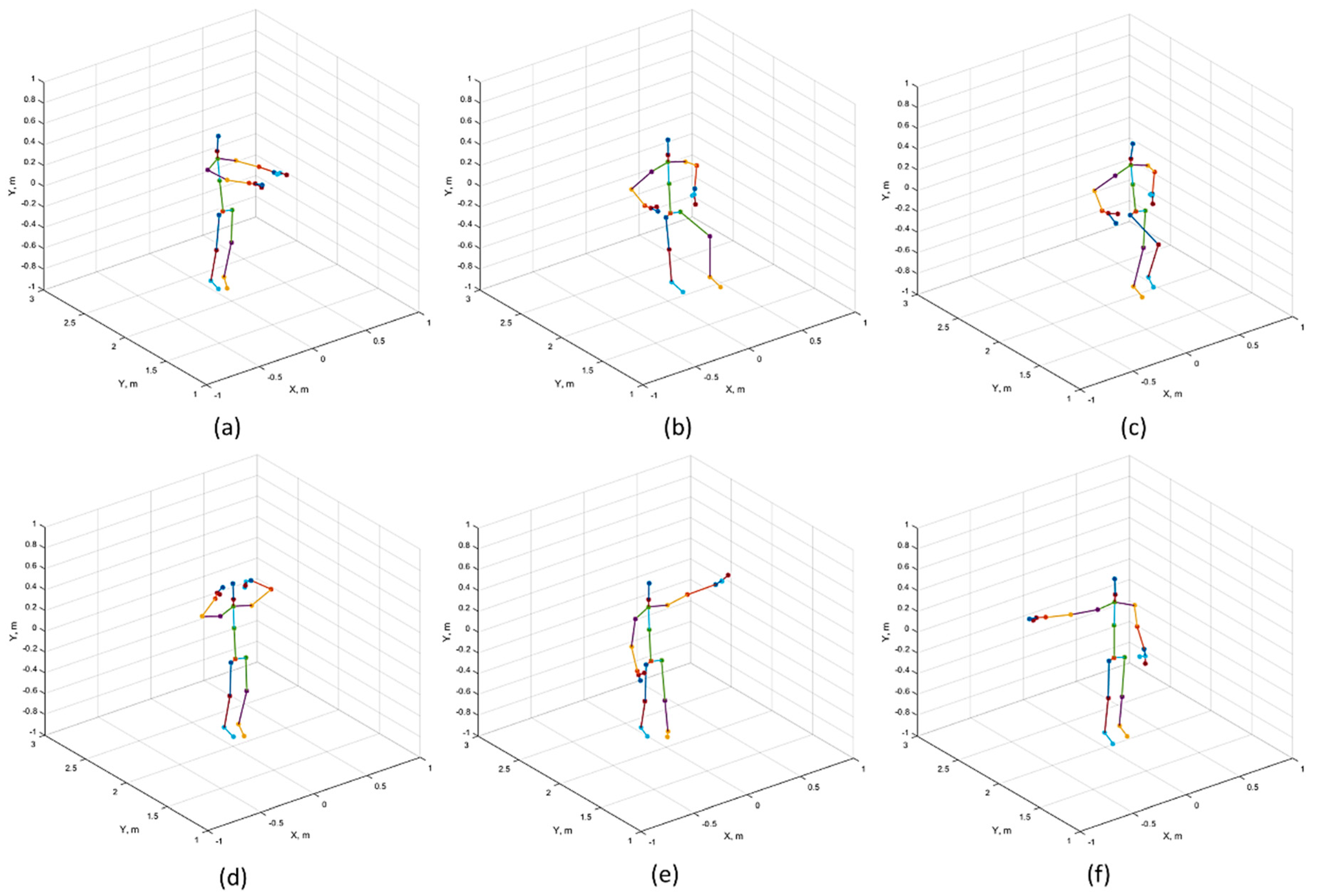
2.2. Posture Description
2.3. Experemental Protocol
2.4. Accuracy Evaluation of Postures and Movement Exercises
- Algorithm 1: vector length error (A1)
- Algorithm 2: angle error (A2)
- Algorithm 3: multiplication of angle errors by vector errors (A3)
3. Results
3.1. Classification Algorithms
3.2. Number of Exercises Performed by Participants
4. Discussion
- Limited tested sample size and reference database for healthy subjects.
- Healthy and young subjects were recruited without any disabilities.
- Different races, nationalities and type of disability may influence the results, as well as affect anthropometric data.
- Kinect sensors are not consistent in data collection for different environments, and different types of clothing can significantly change the accuracy of the detection of joints, as was noticed in our study.
5. Conclusions
Author Contributions
Funding
Acknowledgments
Conflicts of Interest
References
- Eleni, K.; Srinivas, A.; Judith, J. The aging population: Demographics and the biology of aging. Periodontol. 2000 2016, 72, 13–18. [Google Scholar] [CrossRef]
- Goulding, M.R.; Rodgers, M.E. Trends in aging—United states and worldwide. MMWR Morb. Mortal. Wkly. Rep. 2003, 52, 101–104. [Google Scholar]
- Kirk-Sanchez, N.J.; McGough, E.L. Physical exercise and cognitive performance in the elderly: Current perspectives. Clin. Interv. Aging 2014, 9, 51–62. [Google Scholar] [CrossRef] [PubMed]
- Zhou, Z.; Hou, Y.; Lin, J.; Wang, K.; Liu, Q. Patients’ views toward knee osteoarthritis exercise therapy and factors influencing adherence—A survey in china. Physician Sportsmed. 2018, 46, 221–227. [Google Scholar] [CrossRef] [PubMed]
- Lawford, B.J.; Delany, C.; Bennell, K.L.; Hinman, R.S. “I was really sceptical...But it worked really well”: A qualitative study of patient perceptions of telephone-delivered exercise therapy by physiotherapists for people with knee osteoarthritis. Osteoarthr. Cartil. 2018, 26, 741–750. [Google Scholar] [CrossRef] [PubMed]
- Tao, G.; Archambault, P.S.; Levin, M.F. Evaluation of kinect skeletal tracking in a virtual reality rehabilitation system for upper limb hemiparesis. In Proceedings of the 2013 International Conference on Virtual Rehabilitation (ICVR), Philadelphia, PA, USA, 26–29 August 2013; pp. 164–165. [Google Scholar] [CrossRef]
- Su, C.-J.; Chiang, C.-Y.; Huang, J.-Y. Kinect-enabled home-based rehabilitation system using dynamic time warping and fuzzy logic. Appl. Soft Comput. 2014, 22, 652–666. [Google Scholar] [CrossRef]
- Fern’ndez-Baena, A.; Susín, A.; Lligadas, X. Biomechanical validation of upper-body and lower-body joint movements of kinect motion capture data for rehabilitation treatments. In Proceedings of the 2012 Fourth International Conference on Intelligent Networking and Collaborative Systems, Bucharest, Romania, 19–21 September 2012; pp. 656–661. [Google Scholar] [CrossRef]
- Lin, T.; Hsieh, C.; Lee, J. A kinect-based system for physical rehabilitation: Utilizing tai chi exercises to improve movement disorders in patients with balance ability. In Proceedings of the 2013 7th Asia Modelling Symposium, Hong Kong, China, 23–25 July 2013; pp. 149–153. [Google Scholar] [CrossRef]
- Lange, B.; Koenig, S.; McConnell, E.; Chang, C.; Juang, R.; Suma, E.; Bolas, M.; Rizzo, A. Interactive game-based rehabilitation using the microsoft Kinect. In Proceedings of the 2012 IEEE Virtual Reality Workshops (VRW), Costa Mesa, CA, USA, 4–8 March 2012; pp. 171–172. [Google Scholar] [CrossRef]
- Antón, D.; Goñi, A.; Illarramendi, A.; Torres-Unda, J.J.; Seco, J. Kires: A kinect-based telerehabilitation system. In Proceedings of the 2013 IEEE 15th International Conference on e-Health Networking, Applications and Services (Healthcom 2013), Lisbon, Portugal, 9–12 October 2013; pp. 444–448. [Google Scholar] [CrossRef]
- Clark, R.A.; Vernon, S.; Mentiplay, B.F.; Miller, K.J.; McGinley, J.L.; Pua, Y.H.; Paterson, K.; Bower, K.J. Instrumenting gait assessment using the kinect in people living with stroke: Reliability and association with balance tests. J. Neuroeng. Rehabil. 2015, 12, 15. [Google Scholar] [CrossRef]
- Webster, D.; Celik, O. Systematic review of kinect applications in elderly care and stroke rehabilitation. J. Neuroeng. Rehabil. 2014, 11, 108. [Google Scholar] [CrossRef]
- Pastor, I.; Hayes, H.A.; Bamberg, S.J.M. A feasibility study of an upper limb rehabilitation system using kinect and computer games. In Proceedings of the 2012 Annual International Conference of the IEEE Engineering in Medicine and Biology Society, San Diego, CA, USA, 28 August–1 September 2012; pp. 1286–1289. [Google Scholar] [CrossRef]
- Saini, S.; Rambli, D.R.A.; Sulaiman, S.; Zakaria, M.N.; Shukri, S.R.M. A low-cost game framework for a home-based stroke rehabilitation system. In Proceedings of the 2012 International Conference on Computer & Information Science (ICCIS), Kuala Lumpur, Malaysia, 12–14 June 2012; pp. 55–60. [Google Scholar] [CrossRef]
- Shin, J.-H.; Ryu, H.; Jang, S.H. A task-specific interactive game-based virtual reality rehabilitation system for patients with stroke: A usability test and two clinical experiments. J. Neuroeng. Rehabil. 2014, 11, 32. [Google Scholar] [CrossRef]
- González-Ortega, D.; Díaz-Pernas, F.J.; Martínez-Zarzuela, M.; Antón-Rodríguez, M. A kinect-based system for cognitive rehabilitation exercises monitoring. Comput. Methods Programs Biomed. 2014, 113, 620–631. [Google Scholar] [CrossRef] [PubMed]
- Chang, Y.J.; Han, W.Y.; Tsai, Y.C. A kinect-based upper limb rehabilitation system to assist people with cerebral palsy. Res. Dev. Disabil. 2013, 34, 3654–3659. [Google Scholar] [CrossRef] [PubMed]
- Lozano-Quilis, J.-A.; Gil-Gómez, H.; Gil-Gómez, J.-A.; Albiol-Pérez, S.; Palacios-Navarro, G.; Fardoun, H.M.; Mashat, A.S. Virtual rehabilitation for multiple sclerosis using a kinect-based system: Randomized controlled trial. JMIR Serious Games 2014, 2, e12. [Google Scholar] [CrossRef] [PubMed]
- Venugopalan, J.; Cheng, C.; Stokes, T.H.; Wang, M.D. Kinect-based rehabilitation system for patients with traumatic brain injury. In Proceedings of the 2013 35th Annual International Conference of the IEEE Engineering in Medicine and Biology Society (EMBC), Osaka, Japan, 3–7 July 2013; pp. 4625–4628. [Google Scholar] [CrossRef]
- Anton, D.; Goni, A.; Illarramendi, A. Exercise recognition for kinect-based telerehabilitation. Methods Inf. Med. 2015, 54, 145–155. [Google Scholar] [CrossRef] [PubMed]
- Roh, J.; Park, H.-J.; Lee, K.J.; Hyeong, J.; Kim, S.; Lee, B. Sitting Posture Monitoring System Based on a Low-Cost Load Cell Using Machine Learning. Sensors 2018, 18, 208. [Google Scholar] [CrossRef] [PubMed]
- Kim, Y.M.; Son, Y.; Kim, W.; Jin, B.; Yun, M.H. Classification of Children’s Sitting Postures Using Machine Learning Algorithms. Appl. Sci. 2018, 8, 1280. [Google Scholar] [CrossRef]
- Giacomozzi, C.; D’Ambrogi, E.; Uccioli, L.; Macellari, V. Does the thickening of achilles tendon and plantar fascia contribute to the alteration of diabetic foot loading? Clin. Biomech. 2005, 20, 532–539. [Google Scholar] [CrossRef]
- Baratloo, A.; Hosseini, M.; Negida, A.; El Ashal, G. Part 1: Simple Definition and Calculation of Accuracy, Sensitivity and Specificity. Emergency (Tehran, Iran) 2015, 3, 48–49. [Google Scholar]
- Mousavi Hondori, H.; Khademi, M. A review on technical and clinical impact of microsoft kinect on physical therapy and rehabilitation. J. Med. Eng. 2014, 2014, 846514. [Google Scholar] [CrossRef]
- Burdea, G.C. Virtual rehabilitation—Benefits and challenges. Methods Inf. Med. 2003, 42, 519–523. [Google Scholar]
- Mealin, S.; Dom’ınguez, I.X.; Roberts, D.L. Semi-supervised classification of static canine postures using the microsoft Kinect. In Proceedings of the Third International Conference on Animal-Computer Interaction, Milton Keynes, UK, 15–17 November 2016; ACM: New York, NY, USA, 2016; p. 16. [Google Scholar]
- Pons, P.; Jaen, J.; Catala, A. Assessing machine learning classifiers for the detection of animals behavior using depth-based tracking. Expert Syst. Appl. 2017, 86, 235–246. [Google Scholar] [CrossRef]
- Barnard, S.; Calderara, S.; Pistocchi, S.; Cucchiara, R.; Podaliri-Vulpiani, M.; Messori, S.; Ferri, N. Quick, accurate, smart: 3d computer vision technology helps assessing confined animals behaviour. PLoS ONE 2016, 11, e0158748. [Google Scholar] [CrossRef] [PubMed]
- Psota, E.T.; Mittek, M.; Pérez, L.C.; Schmidt, T.; Mote, B. Multi-Pig Part Detection and Association with a Fully-Convolutional Network. Sensors 2019, 19, 852. [Google Scholar] [CrossRef] [PubMed]
- Feng, Y.; Max, L. Accuracy and precision of a custom camera-based system for 2d and 3d motion tracking during speech and nonspeech motor tasks. J. Speech Lang. Hear. Res. JSLHR 2014, 57, 426–438. [Google Scholar] [CrossRef] [PubMed]
- Vieira, E.R.; Palmer, R.C.; Chaves, P.H.M. Prevention of falls in older people living in the community. BMJ 2016, 353, i1419. [Google Scholar] [CrossRef] [PubMed]
- Prankel, S.; Corbett, M.; Bevins, J.; Davies, J. Biomechanical analysis in veterinary practice. Practice 2016, 38, 176–187. [Google Scholar] [CrossRef]
- Farrell, B.J.; Prilutsky, B.I.; Kistenberg, R.S.; Dalton, J.F.T.; Pitkin, M. An animal model to evaluate skin-implant-bone integration and gait with a prosthesis directly attached to the residual limb. Clin. Biomech. 2014, 29, 336–349. [Google Scholar] [CrossRef]
- Druen, S.; Boddeker, J.; Meyer-Lindenberg, A.; Fehr, M.; Nolte, I.; Wefstaedt, P. Computer-based gait analysis of dogs: Evaluation of kinetic and kinematic parameters after cemented and cementless total hip replacement. Vet. Comp. Orthop. Traumatol. VCOT 2012, 25, 375–384. [Google Scholar] [CrossRef]
- Arney, D. What is animal welfare and how is it assessed? In Sustainable Agriculture; Baltic University Press: Uppsala, Sweden, 2012; pp. 311–315. [Google Scholar]










| No. | Vector Length | No. | Vector Length | No. | Vector Length |
|---|---|---|---|---|---|
| 1 | 2-1 | 7 | 2-8 | 13 | 2-14 |
| 2 | 2-3 | 8 | 2-9 | 14 | 2-15 |
| 3 | 2-4 | 9 | 2-10 | 15 | 2-17 |
| 4 | 2-5 | 10 | 2-11 | 16 | 2-18 |
| 5 | 2-6 | 11 | 2-12 | 17 | 2-19 |
| 6 | 2-7 | 12 | 2-13 |
| No. | Angle | Vector Directions by Points |
|---|---|---|
| 1 | Neck tilt | [4 3] [21 3] |
| 2 | Right elbow | [9 10] [11 10] |
| 3 | Left elbow | [5 6] [7 6] |
| 4 | Right shoulder | [2 21] [10 9] |
| 5 | Left shoulder | [2 21] [6 5] |
| 6 | Right thigh | [1 2] [18 17] |
| 7 | Left thigh | [1 2] [14 13] |
| 8 | Right knee | [17 18] [19 18] |
| 9 | Left knee | [13 14] [16 14] |
| 10 | Inclination of the back to the right thigh | [2 1] [17 1] |
| 11 | Inclination of the back to the left thigh | [2 1] [13 1] |
| Posture | |
|---|---|
| 1 | Hand outstretched |
| 2 | Hands down (neutral posture) |
| 3 | Hands on waist |
| 4 | Right hand up |
| 5 | Left hand up |
| 6 | Both hands up |
| 7 | Hands forward |
| 8 | Right knee up (hands on waist) |
| 9 | Left knee up (hands on waist) |
| 10 | Both hands to the head |
| 11 | Right hand to the side |
| 12 | Left hand to the side |
| No. | Posture Exercises (Initial Posture-Final Posture) |
|---|---|
| 1 | Hands down–hands outstretched |
| 2 | Hands down–hands up |
| 3 | Hands at the sides–right hand up |
| 4 | Hands at the sides–left hand up |
| 5 | Hands at the sides–hands to the head |
| 6 | Hands on the belt–right knee up |
| 7 | Hands on the belt–left knee up |
| 8 | Hands at the sides–hands forward |
| 9 | Hands down–hands forward |
| 10 | Hands up–hands forward |
| 11 | Hands forward–right hand to the side |
| 12 | Hands forward–left hand to the side |
| 13 | Hands down–hands forward–hands up–hands outstretched |
| Algorithm | Mean Sensitivity, % | Intersection of Sensitivity and Specificity, % | Mean Accuracy, % | Area under the ROC Curve |
|---|---|---|---|---|
| Total vector error (A1) | 92.5 | 75.7 | 76.6 | 0.862 |
| Total angle error (A2) | 98.95 | 94.1 | 94.9 | 0.986 |
| Multiplication of vector errors by angle errors (A3) | 96.5 | 87.7 | 89.3 | 0.966 |
| Participants | No. | Exercise Number | Total | ||||||||||||
|---|---|---|---|---|---|---|---|---|---|---|---|---|---|---|---|
| 1 | 2 | 3 | 4 | 5 | 6 | 7 | 8 | 9 | 10 | 11 | 12 | 13 | |||
| 1 | 25 | 25 | 35 | 35 | 25 | 40 | 40 | 25 | 25 | 25 | 35 | 35 | 40 | 410 | |
| 2 | 35 | 25 | 25 | 25 | 25 | 40 | 40 | 25 | 35 | 25 | 35 | 35 | 40 | 410 | |
| 3 | 25 | 25 | 25 | 25 | 25 | 40 | 40 | 25 | 25 | 25 | 35 | 35 | 40 | 390 | |
| 4 | 35 | 25 | 25 | 25 | 25 | 40 | 40 | 35 | 25 | 35 | 35 | 35 | 40 | 420 | |
| 5 | 25 | 25 | 25 | 25 | 25 | 40 | 40 | 25 | 25 | 25 | 35 | 35 | 40 | 390 | |
| 6 | 25 | 25 | 25 | 25 | 25 | 40 | 40 | 25 | 25 | 25 | 35 | 35 | 40 | 390 | |
| 7 | 25 | 25 | 35 | 35 | 25 | 40 | 40 | 25 | 25 | 35 | 35 | 35 | 40 | 420 | |
| 8 | 40 | 25 | 35 | 35 | 25 | 40 | 40 | 25 | 25 | 25 | 35 | 35 | 40 | 425 | |
| 9 | 25 | 25 | 35 | 35 | 25 | 40 | 40 | 40 | 25 | 25 | 35 | 35 | 40 | 425 | |
| 10 | 25 | 35 | 25 | 25 | 25 | 35 | 35 | 25 | 25 | 40 | 35 | 35 | 40 | 405 | |
© 2020 by the authors. Licensee MDPI, Basel, Switzerland. This article is an open access article distributed under the terms and conditions of the Creative Commons Attribution (CC BY) license (http://creativecommons.org/licenses/by/4.0/).
Share and Cite
Klishkovskaia, T.; Aksenov, A.; Sinitca, A.; Zamansky, A.; Markelov, O.A.; Kaplun, D. Development of Classification Algorithms for the Detection of Postures Using Non-Marker-Based Motion Capture Systems. Appl. Sci. 2020, 10, 4028. https://doi.org/10.3390/app10114028
Klishkovskaia T, Aksenov A, Sinitca A, Zamansky A, Markelov OA, Kaplun D. Development of Classification Algorithms for the Detection of Postures Using Non-Marker-Based Motion Capture Systems. Applied Sciences. 2020; 10(11):4028. https://doi.org/10.3390/app10114028
Chicago/Turabian StyleKlishkovskaia, Tatiana, Andrey Aksenov, Aleksandr Sinitca, Anna Zamansky, Oleg A. Markelov, and Dmitry Kaplun. 2020. "Development of Classification Algorithms for the Detection of Postures Using Non-Marker-Based Motion Capture Systems" Applied Sciences 10, no. 11: 4028. https://doi.org/10.3390/app10114028
APA StyleKlishkovskaia, T., Aksenov, A., Sinitca, A., Zamansky, A., Markelov, O. A., & Kaplun, D. (2020). Development of Classification Algorithms for the Detection of Postures Using Non-Marker-Based Motion Capture Systems. Applied Sciences, 10(11), 4028. https://doi.org/10.3390/app10114028

