Phenolic Profile Characterization of ‘Galega Vulgar’ and ‘Cobrançosa’ Portuguese Olive Cultivars along the Ripening Stages
Abstract
1. Introduction
2. Materials and Methods
2.1. Chemicals and Reagents
2.2. Olive Orchard Characterization
2.3. Olive Sample Collection
2.4. Basic Physical Characterizations on Olive Fruit Samples
2.5. Hydrophilic Phenolic Extraction
2.6. HPLC Analyses
2.7. Statistical Analysis
3. Results
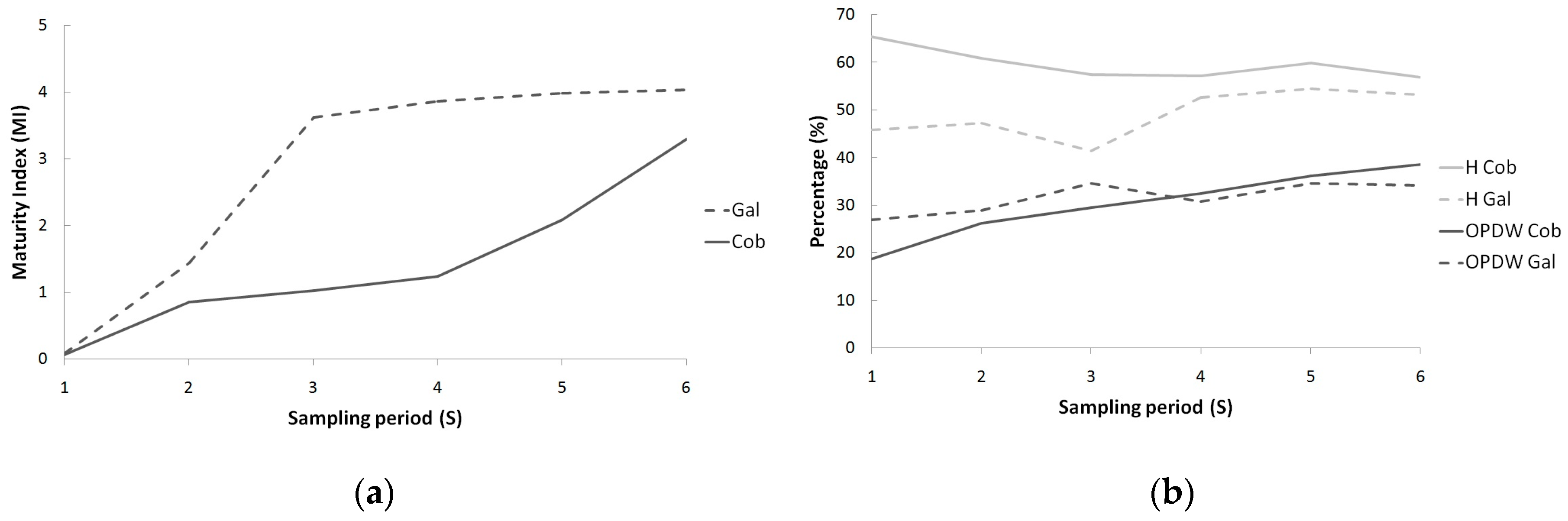
3.1. Basic Sample Characterization
3.2. Phenolic Compounds Identification in Olive Fruit
3.3. Phenolic Profile Evolution over Ripening
4. Discussion
Author Contributions
Funding
Acknowledgments
Conflicts of Interest
References
- Obied, H.K.; Prenzler, P.D.; Ryan, D.; Servili, M.; Taticchi, A.; Esposto, S.; Robards, K. Biosynthesis and biotransformations of phenol-conjugated oleosidic secoiridoids from Olea europaea L. Nat. Prod. Rep. 2008, 25, 1167–1179. [Google Scholar] [CrossRef] [PubMed]
- Omar, S.H. Oleuropein in olive and its pharmacological effects. Sci. Pharm. 2010, 78, 133–154. [Google Scholar] [CrossRef] [PubMed]
- Soler-Rivas, C.; Espiń, J.C.; Wichers, H.J. Oleuropein and related compounds. J. Sci. Food Agric. 2000, 80, 1013–1023. [Google Scholar] [CrossRef]
- Naczk, M.; Shahidi, F. Phenolics in Food and Nutraceuticals; CRC Press: Boca Raton, FL, USA, 2003. [Google Scholar]
- Benavente-García, O.; Castillo, J.; Lorente, J.; Ortuño, A.; Del Rio, J.A. Antioxidant activity of phenolics extracted from Olea europaea L. leaves. Food Chem. 2000, 68, 457–462. [Google Scholar] [CrossRef]
- Visioli, F.; Poli, A.; Galli, C. Antioxidant and other biological activities of phenols from olives and olive oil. Med. Res. Rev. 2002, 22, 65–75. [Google Scholar] [CrossRef] [PubMed]
- Coni, E.; Di Benedetto, R.; Di Pasquale, M.; Masella, R.; Modesti, D.; Mattei, R.; Carlini, E.A. Protective effect of oleuropein, an olive oil biophenol, on low density lipoprotein oxidizability in rabbits. Lipids 2000, 35, 45–54. [Google Scholar] [CrossRef] [PubMed]
- Visioli, F.; Bellomo, G.; Galli, C. Free radical-scavenging properties of olive oil polyphenols. Biochem. Biophys. Res. Commun. 1998, 247, 60–64. [Google Scholar] [CrossRef]
- Aruoma, O.I.; Deiana, M.; Jenner, A.; Halliwell, B.; Kaur, H.; Banni, S.; Corongiu, F.P.; Dessí, M.A.; Aeschbach, R. Effect of Hydroxytyrosol Found in Extra Virgin Olive Oil on Oxidative DNA Damage and on Low-Density Lipoprotein Oxidation. J. Agric. Food Chem. 1998, 46, 5181–5187. [Google Scholar] [CrossRef]
- Covas, M.I.; De La Torre, K.; Farré-Albaladejo, M.; Kaikkonen, J.; Fitó, M.; López-Sabater, C.; Pujadas-Bastardes, M.A.; Joglar, J.; Weinbrenner, T.; Lamuela-Raventós, R.M.; et al. Postprandial LDL phenolic content and LDL oxidation are modulated by olive oil phenolic compounds in humans. Free Radic. Biol. Med. 2006, 40, 608–616. [Google Scholar] [CrossRef]
- Velázquez-Palmero, D.; Romero-Segura, C.; García-Rodríguez, R.; Hernández, M.L.; Vaistij, F.E.; Graham, I.A.; Pérez, A.G.; Martínez-Rivas, J.M. An oleuropein β-glucosidase from olive fruit is involved in determining the phenolic composition of virgin olive oil. Front. Plant Sci. 2017, 8, 1–12. [Google Scholar] [CrossRef]
- Koudounas, K.; Banilas, G.; Michaelidis, C.; Demoliou, C.; Rigas, S.; Hatzopoulos, P. A defence-related Olea europaea β-glucosidase hydrolyses and activates oleuropein into a potent protein cross-linking agent. J. Exp. Bot. 2015, 66, 2093–2106. [Google Scholar] [CrossRef] [PubMed]
- Hu, T.; He, X.W.; Jiang, J.G.; Xu, X.L. Hydroxytyrosol and its potential therapeutic effects. J. Agric. Food Chem. 2014, 62, 1449–1455. [Google Scholar] [CrossRef] [PubMed]
- Tuck, K.L.; Hayball, P.J. Major phenolic compounds in olive oil: Metabolism and health effects. J. Nutr. Biochem. 2002, 13, 636–644. [Google Scholar] [CrossRef]
- Romero, C.; Brenes, M. Analysis of total contents of hydroxytyrosol and tyrosol in olive oils. J. Agric. Food Chem. 2012, 60, 9017–9022. [Google Scholar] [CrossRef] [PubMed]
- Baldioli, M.; Servili, M.; Perretti, G.; Montedoro, G.F. Antioxidant activity of tocopherols and phenolic compounds of virgin olive oil. J. Am. Oil Chem. Soc. 1996, 73, 1589–1593. [Google Scholar] [CrossRef]
- Esti, M.; Cinquanta, L.; La Notte, E. Phenolic Compounds in Different Olive Varieties. J. Agric. Food Chem. 1998, 46, 32–35. [Google Scholar] [CrossRef]
- Brenes, M.; García, A.; García, P.; Rios, J.J.; Garrido, A. Phenolic compounds in Spanish olive oils. J. Agric. Food Chem. 1999, 47, 3535–3540. [Google Scholar] [CrossRef]
- Caponio, F.; Gomes, T.; Pasqualone, A. Phenolic compounds in virgin olive oils: Influence of the degree of olive ripeness on organoleptic characteristics and shelf-life. Eur. Food Res. Technol. 2001, 212, 329–333. [Google Scholar] [CrossRef]
- Conde, C.; Delrot, S.; Gerós, H. Physiological, biochemical and molecular changes occurring during olive development and ripening. J. Plant Physiol. 2008, 165, 1545–1562. [Google Scholar] [CrossRef]
- García, J.M.; Seller, S.; Pérez-Camino, M.C. Influence of Fruit Ripening on Olive Oil Quality. J. Agric. Food Chem. 1996, 44, 3516–3520. [Google Scholar] [CrossRef]
- García, J.M.; Mancha, M. Evolución de la biosíntesis de lípidos durante la maduración de las variedades de aceituna “Picual” y “Gordal”. Grasas y Aceites 1992, 43, 277–280. [Google Scholar] [CrossRef]
- Sousa, C.; Gouvinhas, I.; Barreira, D.; Carvalho, M.T.; Vilela, A.; Lopes, J.; Martins-Lopes, P.; Barros, A.I. “Cobrançosa” olive oil and drupe: Chemical composition at two ripening stages. J. Am. Oil Chem. Soc. 2014, 91, 599–611. [Google Scholar] [CrossRef]
- Gouvinhas, I.; Domínguez-Perles, R.; Gironés-Vilaplana, A.; Carvalho, T.; MacHado, N.; Barros, A. Kinetics of the Polyphenolic Content and Radical Scavenging Capacity in Olives through On-Tree Ripening. J. Chem. 2017, 2017, 5197613. [Google Scholar] [CrossRef]
- International Olive Oil Council. Guide for the Determination of the Characteristics of Oil-Olives. 2011. Available online: https://www.internationaloliveoil.org/wp-content/uploads/2019/11/COI-OH-Doc.-1-2011-Eng.pdf (accessed on 15 May 2020).
- Lee, C.; Polari, J.J.; Kramer, K.E.; Wang, S.C. Near-Infrared (NIR) Spectrometry as a Fast and Reliable Tool for Fat and Moisture Analyses in Olives. ACS Omega 2018, 3, 16081–16088. [Google Scholar] [CrossRef] [PubMed]
- Ferro, M.; Santos, S.; Silvestre, A.; Duarte, M.; Ferro, M.D.; Santos, S.A.O.; Silvestre, A.J.D.; Duarte, M.F. Chromatographic Separation of Phenolic Compounds from Extra Virgin Olive Oil: Development and Validation of a New Method Based on a Biphenyl HPLC Column. Int. J. Mol. Sci. 2019, 20, 201. [Google Scholar] [CrossRef] [PubMed]
- Bouaziz, M.; Chamkha, M.; Sayadi, S. Comparative study on phenolic content and antioxidant activity during maturation of the olive cultivar Chemlali from Tunisia. J. Agric. Food Chem. 2004, 52, 5476–5481. [Google Scholar] [CrossRef]
- Peres, F.; Martins, L.L.; Mourato, M.; Vitorino, C.; Antunes, P.; Ferreira-Dias, S. Phenolic compounds of “Galega Vulgar” and “Cobrançosa” olive oils along early ripening stages. Food Chem. 2016, 211, 51–58. [Google Scholar] [CrossRef]
- Peres, F.; Martins, L.L.; Mourato, M.; Vitorino, C.; Ferreira-Dias, S. Bioactive Compounds of Portuguese Virgin Olive Oils Discriminate Cultivar and Ripening Stage. J. Am. Oil Chem. Soc. 2016, 93, 1137–1147. [Google Scholar] [CrossRef]
- Trapani, S.; Migliorini, M.; Cherubini, C.; Cecchi, L.; Canuti, V.; Fia, G.; Zanoni, B. Direct quantitative indices for ripening of olive oil fruits to predict harvest time. Eur. J. Lipid Sci. Technol. 2016, 118, 1202–1212. [Google Scholar] [CrossRef]
- Gouvinhas, I.; Martins-Lopes, P.; Carvalho, T.; Barros, A.; Gomes, S. Impact of colletotrichum acutatum pathogen on olive phenylpropanoid metabolism. Agriculture 2019, 9, 173. [Google Scholar] [CrossRef]
- Loureiro, A.; Talhinhas, P.; Oliveira, H. A gafa da oliveira é causada por fungos de diversas espécies, com distinta distribuição geográfica, virulência e preferência pela cultivar. Rev. Ciências Agrárias 2018, 41, 141–150. [Google Scholar] [CrossRef]
- Kubo, I.; Matsumoto, A.; Takase, I. A multichemical defense mechanism of bitter olive Olea europaea (oleaceae)—Is oleuropein a phytoalexin precursor? J. Chem. Ecol. 1985, 11, 251–263. [Google Scholar] [CrossRef] [PubMed]
- Iannotta, N.; Noce, M.E.; Ripa, V.; Scalercio, S.; Vizzarri, V. Assessment of susceptibility of olive cultivars to the Bactrocera oleae (Gmelin, 1790) and Camarosporium dalmaticum (Thüm.) Zachos & Tzav.-Klon. attacks in Calabria (Southern Italy). J. Environ. Sci. Health Part B Pestic. Food Contam. Agric. Wastes 2007, 42, 789–793. [Google Scholar] [CrossRef]
- Mazzuca, S.; Spadafora, A.; Innocenti, A.M. Cell and tissue localization of β-glucosidase during the ripening of olive fruit (Olea europaea) by in situ activity assay. Plant. Sci. 2006, 171, 726–733. [Google Scholar] [CrossRef]
- Spadafora, A.; Mazzuca, S.; Chiappetta, F.F.; Parise, A.; Perri, E.; Innocenti, A.M. Oleuropein-Specific-β-Glucosidase Activity Marks the Early Response of Olive Fruits (Olea europaea) to Mimed Insect Attack. Agric. Sci. China 2008, 7, 703–712. [Google Scholar] [CrossRef]
- Ryan, D.; Prenzler, P.D.; Lavee, S.; Antolovich, M.; Robards, K. Quantitative changes in phenolic content during physiological development of the olive (Olea europaea) cultivar Hardy’s Mammoth. J. Agric. Food Chem. 2003, 51, 2532–2538. [Google Scholar] [CrossRef] [PubMed]
- Markakis, E.A.; Tjamos, S.E.; Antoniou, P.P.; Roussos, P.A.; Paplomatas, E.J.; Tjamos, E.C. Phenolic responses of resistant and susceptible olive cultivars induced by defoliating and nondefoliating Verticillium dahliae pathotypes. Plant. Dis. 2010, 94, 1156–1162. [Google Scholar] [CrossRef] [PubMed]
- Arslan, D.; Özcan, M.M. Phenolic profile and antioxidant activity of olive fruits of the Turkish variety “Sariulak” from different locations. Grasas y Aceites 2011, 62, 453–461. [Google Scholar] [CrossRef]
- Dagdelen, A.; Tümen, G.; Özcan, M.M.; Dündar, E. Phenolics profiles of olive fruits (Olea europaea L.) and oils from Ayvalik, Domat and Gemlik varieties at different ripening stages. Food Chem. 2013, 136, 41–45. [Google Scholar] [CrossRef]
- García-Rodríguez, R.; Romero-Segura, C.; Sanz, C.; Sánchez-Ortiz, A.; Pérez, A.G. Role of polyphenol oxidase and peroxidase in shaping the phenolic profile of virgin olive oil. Food Res. Int. 2011, 44, 629–635. [Google Scholar] [CrossRef]
- Hachicha Hbaieb, R.; Kotti, F.; García-Rodríguez, R.; Gargouri, M.; Sanz, C.; Pérez, A.G. Monitoring endogenous enzymes during olive fruit ripening and storage: Correlation with virgin olive oil phenolic profiles. Food Chem. 2015, 174, 240–247. [Google Scholar] [CrossRef] [PubMed]





| Sampling Reference | Date | Cultivar |
|---|---|---|
| S1 | 12-09-2019 | Gal + Cob |
| S2 | 26-09-2019 | Gal + Cob |
| S3 | 10-10-2019 | Gal + Cob |
| S4 | 24-10-2019 | Gal + Cob |
| S5 | 07-11-2019 | Gal + Cob |
| S6 | 20-11-2019 | Gal (harvesting day) |
| S6 | 04-12-2019 | Cob (harvesting day) |
| Cultivar | Ripening Stage | C (g) | OPDW (%) | H (%) | MI |
|---|---|---|---|---|---|
| ‘Cobrançosa’ | S1 | 2.96 ± 0.90 a | 18.74 ± 0.18 a | 60.75 ± 0.64 a,b | 0.070 ± 0.030 a |
| S2 | 3.2± 1.0 a,b | 26.20 ± 0.54 b | 61.04 ± 0.29 b | 0.88 ± 0.02 b | |
| S3 | 3.41 ± 0.69 b | 29.56 ± 0.26 c | 57.44 ± 0.22 c | 1.03 ± 0.07 c | |
| S4 | 3.2 ± 1.2 a,b | 32.45 ± 0.11 d | 57.215 ± 0.035 c | 1.24 ± 0.11 d | |
| S5 | 4.3 ± 1.1 c | 36.27 ± 0.66 e | 59.99 ± 0.33 a | 2.16 ± 0.23 e | |
| S6 | 3.8 ± 1.0 d | 38.65 ± 0.72 f | 56.91 ± 0.31 c | 3.16 ± 0.17 f | |
| ‘Galega Vulgar’ | S1 | 0.99 ± 0.33 A,C | 26.920 ± 0.042 A | 45.855 ± 0.049 A | 0.090 ± 0.030 A |
| S2 | 1.10 ± 0.23 B | 28.83 ± 0.20 B | 47.28 ± 0.12 B | 1.50 ± 0.20 B | |
| S3 | 1.00 ± 0.22 C | 34.59 ± 0.25 C | 41.53 ± 0.23 C | 3.670 ± 0.070 C | |
| S4 | 1.68 ± 0.34 D | 30.86 ± 0.86 D | 52.68 ± 0.39 D | 3.900 ± 0.030 D | |
| S5 | 2.05 ± 0.35 E | 34.69 ± 0.81 C | 54.55 ± 0.33 E | 3.990 ± 0.010 E | |
| S6 | 2.04 ± 0.35 E | 34.28 ± 0.63 C | 53.27 ± 0.20 D | 4.040 ± 0.030 F |
| Cultivar | Sampling Reference | HT | VERB | OLE |
|---|---|---|---|---|
| Cobrançosa | S1 | 105 ± 24 a | 4514 ± 712 a | 1236 ± 684 a |
| S2 | 108 ± 11 a | 3604 ± 421 b | 1689 ± 880 a,c | |
| S3 | 118 ± 23 a,b | 3394 ± 481 b | 1619 ± 527 a,c | |
| S4 | 130 ± 35 a,b,c | 3179 ± 458 b | 1790 ± 1084 a,c | |
| S5 | 157 ± 46 c,d | 2979 ± 473 b | 1387 ± 652 a | |
| S6 | 156 ± 46 b,d | 2886 ± 618 b | 3268 ± 2731 b,c | |
| Galega Vulgar | S1 | 98 ± 30 A | 3043 ± 645 A | 16,763 ± 15,173 A,B |
| S2 | 93 ± 22 A | 3210 ± 494 A,B | 7976 ± 1867 B | |
| S3 | 71 ± 28 B | 4247 ± 361 B | 26,304 ± 10,930 A | |
| S4 | 61 ± 30 B | 2454 ± 379 A | 4141 ± 1338 C | |
| S5 | 82 ± 28 A,B | 2559 ± 202 A | 1582 ± 115 D | |
| S6 | 126 ± 31 C | 2448 ± 112 A | 1908 ± 468 E |
© 2020 by the authors. Licensee MDPI, Basel, Switzerland. This article is an open access article distributed under the terms and conditions of the Creative Commons Attribution (CC BY) license (http://creativecommons.org/licenses/by/4.0/).
Share and Cite
Ferro, M.D.; Lopes, E.; Afonso, M.; Peixe, A.; Rodrigues, F.M.; Duarte, M.F. Phenolic Profile Characterization of ‘Galega Vulgar’ and ‘Cobrançosa’ Portuguese Olive Cultivars along the Ripening Stages. Appl. Sci. 2020, 10, 3930. https://doi.org/10.3390/app10113930
Ferro MD, Lopes E, Afonso M, Peixe A, Rodrigues FM, Duarte MF. Phenolic Profile Characterization of ‘Galega Vulgar’ and ‘Cobrançosa’ Portuguese Olive Cultivars along the Ripening Stages. Applied Sciences. 2020; 10(11):3930. https://doi.org/10.3390/app10113930
Chicago/Turabian StyleFerro, Miguel D., Elsa Lopes, Marta Afonso, Augusto Peixe, Francisco M. Rodrigues, and Maria F. Duarte. 2020. "Phenolic Profile Characterization of ‘Galega Vulgar’ and ‘Cobrançosa’ Portuguese Olive Cultivars along the Ripening Stages" Applied Sciences 10, no. 11: 3930. https://doi.org/10.3390/app10113930
APA StyleFerro, M. D., Lopes, E., Afonso, M., Peixe, A., Rodrigues, F. M., & Duarte, M. F. (2020). Phenolic Profile Characterization of ‘Galega Vulgar’ and ‘Cobrançosa’ Portuguese Olive Cultivars along the Ripening Stages. Applied Sciences, 10(11), 3930. https://doi.org/10.3390/app10113930

