Robust Control for Active Suspension of Hub-Driven Electric Vehicles Subject to in-Wheel Motor Magnetic Force Oscillation
Abstract
Featured Application
Abstract
1. Introduction
2. System Modelling and Problem Formulation
2.1. Hub-Driven Electric Vehicle Modelling
2.1.1. Unbalanced Electromagnetic Force Model
2.1.2. PMBDC Motor Model
2.1.3. Driving Model
2.1.4. Vertical Vibration Model
2.2. Characteristics of UEF and Its Influence on the Vehicle Performance
2.3. Active Suspension System Modelling
3. Reliable Robust Hꝏ Controller Design
4. Results and Discussion
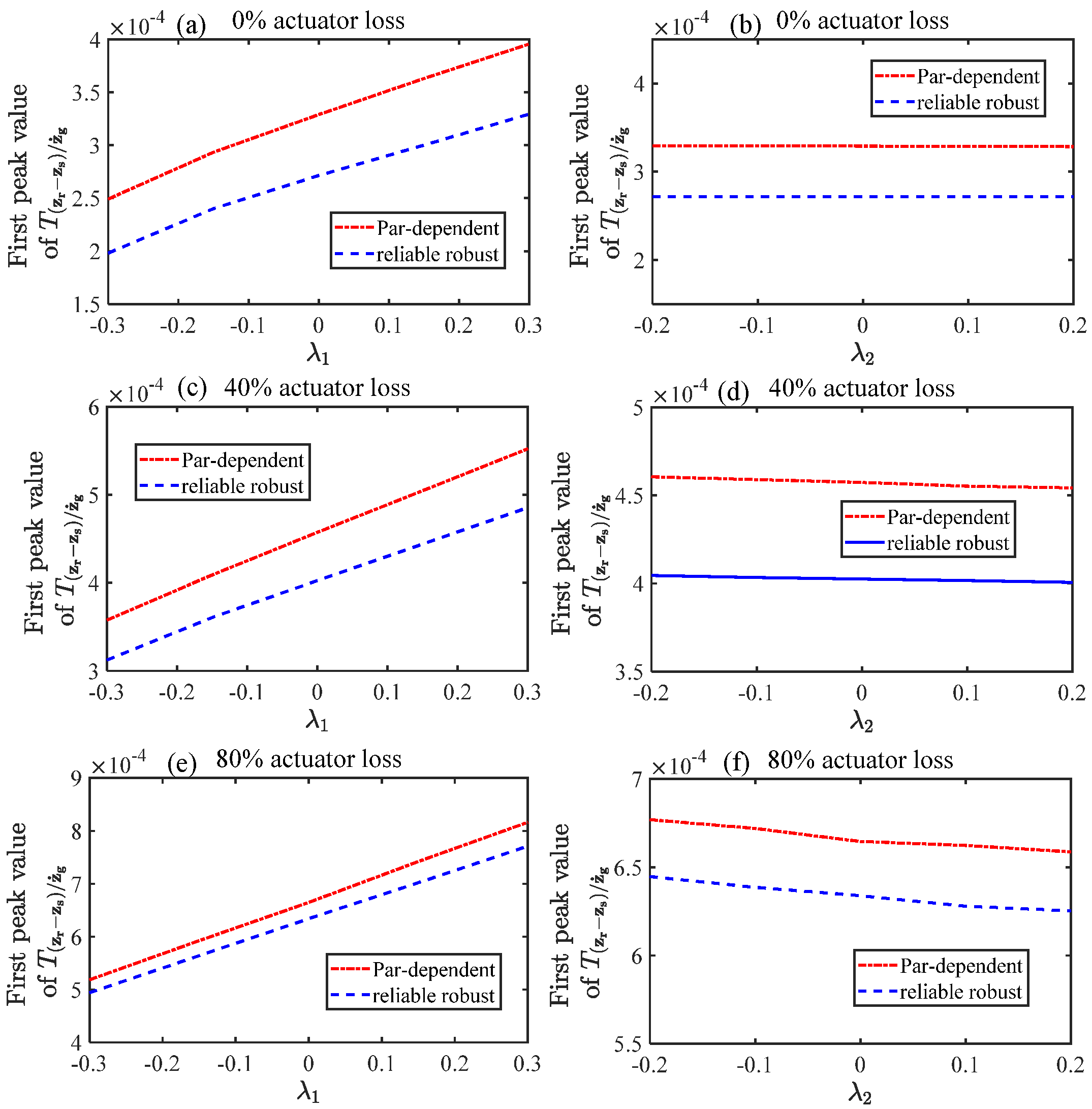
4.1. Bump Road Excitation
4.2. Random Road Excitation
5. Conclusions
Author Contributions
Funding
Acknowledgments
Conflicts of Interest
Appendix A
| EV Symbol | Value | Unit | Expression |
|---|---|---|---|
| The parameter values of the hub-driven electric vehicle | |||
| Rs | 0.028 | ohm | Stator resistances |
| J | 1.2 | kg⋅m2 | Rotor rotational inertia |
| Ls | 0.00187 | H | Inductance of phase |
| mr | 65 | kg | Motor rotor mass |
| ms | 37.5 | kg | Motor stator mass |
| mb | 337.5 | kg | Sprung mass |
| kt | 250,000 | N/m | Stiffness of tire |
| ks | 23500 | N/m | Stiffness of suspension |
| km | 8,000,000 | N/m | Stiffness of motor bearing |
| cs | 1450 | N⋅s/m | Damp of suspension |
| ct | 375 | N⋅s/m | Damp of tire |
| Parameters of a 27-slot/24-pole surface PMBDC motor | |||
| 2p | 24 | - | Pole number |
| QS | 27 | - | Slot number |
| Rr | 169.8 | mm | Rotor surface radius |
| Rm | 163.8 | mm | Magnet surface radius |
| Rs | 163 | mm | Stator surface radius |
| αp | 0.8 | - | Ratio of magnet arc to pole pitch |
| L | 42 | mm | Stack length |
| lm | 6 | mm | Radial thickness of magnet |
| δ | 0.8 | mm | Length of air gap |
| Ns | 20 | - | Number of turns of winding |
| b0 | 2 | mm | Stator slot opening |
| Br | 1.29 | T | Magnet remanence |
| ur | 1.07 | - | Relative recoil permeability |
References
- Wang, Z.; Qu, C.; Zhang, L.; Xue, X.; Wu, J. Optimal component sizing of a four-wheel independently-actuated electric vehicle with a real-time torque distribution strategy. IEEE Access 2018, 6, 49523–49536. [Google Scholar] [CrossRef]
- Long, G.; Ding, F.; Zhang, N.; Zhang, J.; Qin, A. Regenerative active suspension system with residual energy for in-wheel motor driven electric vehicle. Appl. Energy 2020, 260, 114180. [Google Scholar] [CrossRef]
- Mingchun, L.; Feihong, G.; Yuanzhi, Z. Ride Comfort Optimization of In-Wheel-Motor Electric Vehicles with In-Wheel Vibration Absorbers. Energies 2017, 10, 1647–1668. [Google Scholar]
- Teixeira, A.C.; Sodré, J.R. Impacts of replacement of engine powered vehicles by electric vehicles on energy consumption and CO 2 emissions. Transp. Res. Part D-Transp. Environ. 2018, 59, 375–384. [Google Scholar] [CrossRef]
- Zhao, W.; Wang, Y.; Wang, C. Multidisciplinary optimization of electric-wheel vehicle integrated chassis system based on steady endurance performance. J. Clean Prod. 2018, 186, 640–651. [Google Scholar] [CrossRef]
- Xu, B.; Xiang, C.; Qin, Y.; Ding, P.; Dong, M. Semi-active vibration control for in-wheel switched reluctance motor driven electric vehicle with dynamic vibration absorbing structures: Concept and validation. IEEE Access 2018, 6, 60274–60285. [Google Scholar] [CrossRef]
- Song, C.X.; Xiao, F.; Song, S.X.; Peng, S.L.; Fan, S.Q. Stability Control of 4WD Electric Vehicle with In-Wheel Motors Based on Integrated Control of Electro-Mechanical Braking System. Appl. Mech. Mater. 2015, 740, 206–210. [Google Scholar] [CrossRef]
- Zhai, L.; Sun, T.; Wang, J. Electronic Stability Control Based on Motor Driving and Braking Torque Distribution for a Four In-Wheel Motor Drive Electric Vehicle. IEEE Trans. Veh. Technol. 2016, 65, 4726–4739. [Google Scholar] [CrossRef]
- Sun, W.; Li, Y.; Huang, J.; Zhang, N. Vibration effect and control of In-Wheel Switched Reluctance Motor for electric vehicle. J. Sound Vibr. 2015, 338, 105–120. [Google Scholar] [CrossRef]
- Qin, Y.; He, C.; Shao, X.; Du, H.; Xiang, C.; Dong, M. Vibration mitigation for in-wheel switched reluctance motor driven electric vehicle with dynamic vibration absorbing structures. J. Sound Vibr. 2018, 419, 249–267. [Google Scholar] [CrossRef]
- Tan, D.; Wang, H.; Wang, Q. Study on the Rollover Characteristic of In-Wheel-Motor-Driven Electric Vehicles Considering Road and Electromagnetic Excitation. Shock Vib. 2016, 2016, 13. [Google Scholar] [CrossRef]
- Luo, Y.; Tan, D. Study on the dynamics of the In-Wheel Motor System. IEEE Trans. Veh. Technol. 2012, 61, 3510–3518. [Google Scholar]
- Zhao, Y.E.; Zhang, J.W.; Han, X. Design and study on the dynamic damper mechanism for an in-wheel motor individual drive electric vehicle. Mech. Sci. Technol. Aerosp. Eng. 2008, 27, 395–398. [Google Scholar]
- Li, Z.; Zheng, L.; Ren, Y.; Li, Y.; Xiong, Z. Multi-objective optimization of active suspension system in electric vehicle with In-Wheel-Motor against the negative electromechanical coupling effects. Mech. Syst. Signal Proc. 2019, 116, 545–565. [Google Scholar] [CrossRef]
- Shao, X.; Naghdy, F.; Du, H.; Qin, Y. Coupling effect between road excitation and an in-wheel switched reluctance motor on vehicle ride comfort and active suspension control. J. Sound Vibr. 2019, 443, 683–702. [Google Scholar] [CrossRef]
- Wang, R.; Jing, H.; Yan, F.; Karimi, H.R.; Chen, N. Optimization and finite-frequency H∞ control of active suspensions in in-wheel motor driven electric ground vehicles. J. Frankl. Inst. 2015, 352, 468–484. [Google Scholar] [CrossRef]
- Qin, Y.; He, C.; Ding, P.; Dong, M.; Huang, Y. Suspension hybrid control for in-wheel motor driven electric vehicle with dynamic vibration absorbing structures. IFAC-PapersOnLine 2018, 51, 973–978. [Google Scholar] [CrossRef]
- Shao, X.; Naghdy, F.; Du, H.; Li, H. Output feedback H∞ control for active suspension of in-wheel motor driven electric vehicle with control faults and input delay. ISA Trans. 2019, 92, 94–108. [Google Scholar] [CrossRef]
- Jing, H.; Wang, R.; Li, C.; Wang, J.; Chen, N. Fault-tolerant control of active suspensions in in-wheel motor driven electric vehicles. Int. J. Veh. Des. 2015, 68, 22–36. [Google Scholar] [CrossRef]
- R, J.; Choi, S.B. A novel semi-active control strategy based on the quantitative feedback theory for a vehicle suspension system with magneto-rheological damper saturation. Mechatronics 2018, 54, 36–51. [Google Scholar]
- Liu, B.; Saif, M.; Fan, H. Adaptive fault tolerant control of a half-car active suspension systems subject to random actuator failures. IEEE-Asme Trans. Mechatron. 2016, 21, 2847–2857. [Google Scholar] [CrossRef]
- Yetendje, A.; Seron, M.; De Dona, J. Diagnosis and Actuator Fault Tolerant Control in Vehicle Active Suspension. In Proceedings of the 2007 Third International Conference on Information and Automation for Sustainability, Melbourne, VIC, Australia, 4–6 December 2007; pp. 153–158. [Google Scholar]
- Cao, F.; Sun, H.; Li, Y.; Tong, S. Fuzzy Adaptive Fault-Tolerant Control for a Class of Active Suspension Systems with Time Delay. Int. J. Fuzzy Syst. 2019, 21, 2054–2065. [Google Scholar] [CrossRef]
- Jing, H.; Wang, R.; Karimi, H.R.; Chadli, M.; Hu, C.; Yan, F. Robust output-feedback based fault-tolerant control of active suspension with finite-frequency constraint. IFAC-Pap. 2015, 48, 1173–1179. [Google Scholar] [CrossRef]
- Liu, S.; Zhou, H.; Luo, X.; Xiao, J. Adaptive sliding fault tolerant control for nonlinear uncertain active suspension systems. J. Frankl. Inst. 2016, 353, 180–199. [Google Scholar] [CrossRef]
- Ma, M.; Chen, H.; Liu, X. Robust H-infinity control for constrained uncertain systems and its application to active suspension. J. Control Theory Appl. 2012, 10, 470–476. [Google Scholar] [CrossRef]
- Sun, W.; Pan, H.; Yu, J.; Gao, H. Reliability control for uncertain half-car active suspension systems with possible actuator faults. IET Contr. Theory Appl. 2014, 8, 746–754. [Google Scholar] [CrossRef]
- Haiping, D.; Zhang, N. Fuzzy control for nonlinear uncertain electrohydraulic active suspensions with input constraint. IEEE Trans. Fuzzy Syst. 2008, 17, 343–356. [Google Scholar] [CrossRef]
- Zhang, Y.; Zhang, G.; Yu, F. Modeling and μ Synthesis Control of Vehicle Active Suspension with Motor Actuator. WSEAS Trans. Syst. 2012, 11, 173–186. [Google Scholar]
- Pang, H.; Liu, F.; Xu, Z. Variable universe fuzzy control for vehicle semi-active suspension system with MR damper combining fuzzy neural network and particle swarm optimization. Neurocomputing 2018, 3, 130–140. [Google Scholar] [CrossRef]
- Akay, H.; Türkay, S. Influence of tire damping on mixed H2/H∞ synthesis of half-car active suspensions. J. Sound Vib. 2009, 322, 15–28. [Google Scholar] [CrossRef]
- Pusadkar, U.S.; Chaudhari, S.D.; Shendge, P.D.; Phadke, S.B. Linear disturbance observer based sliding mode control for active suspension systems with non-ideal actuator. J. Sound Vib. 2019, 442, 428–444. [Google Scholar] [CrossRef]
- Chen, S.L.; Chen, S.H.; Yan, S.T. Stabilization of a Current-Controlled Three-Pole Magnetic Rotor-Bearing System by Integral Aliding Mode Control. In Proceedings of the IEEE International Conference on Networking, Sensing and Control, Taipei, Taiwan, 21–23 March 2004. [Google Scholar]
- Wu, H.; Wu, J.; Sun, Q.; Wang, H.; Zhang, L. A Novel Sliding Mode Observer-Based Sensorless PMSM Control. In Proceedings of the 2019 22nd International Conference on Electrical Machines and Systems (ICEMS), Harbin, China, 11–14 August 2019; pp. 1–5. [Google Scholar]
- Mystkowski, A. Lyapunov sliding-mode observers with application for active magnetic bearing operated with zero-bias flux. J. Dyn. Syst. Meas. Control 2019, 141, 041006. [Google Scholar] [CrossRef]
- Hezzi, A.; Bensalem, Y.; Elghali, S.B.; Abdelkrim, M.N. Sliding Mode Observer Based Sensorless Control of Five Phase PMSM in Electric Vehicle. In Proceedings of the 2019 19th International Conference on Sciences and Techniques of Automatic Control and Computer Engineering (STA), Sousse, Tunisia, 24–26 March 2019. [Google Scholar]
- Pang, H.; Zhang, X.; Xu, Z. Adaptive backstepping-based tracking control design for nonlinear active suspension system with parameter uncertainties and safety constraints. ISA Trans. 2019, 88, 23–36. [Google Scholar] [CrossRef] [PubMed]
- Sun, L.; Wang, X. Nonlinear Control for Semi-active Suspension with Input Constraints. IFAC-Pap. 2018, 51, 131–135. [Google Scholar] [CrossRef]
- Mystkowski, A.; Pawluszewicz, E. Nonlinear Position-Flux Zero-Bias Control for AMB System with Disturbance. Appl. Comput. Electromagn. Soc. J. 2017, 32, 650–656. [Google Scholar]
- Salameh, M.; Yaman, S.; Jiang, Y.; Krishnamurthy, M. Analytical Approach for Calculating Magnetic Field Distribution in Surface Mount PM Motor Including Stator Slot Effect. In Proceedings of the 2019 IEEE Transportation Electrification Conference and Expo (ITEC), Dearborn, MI, USA, 19–21 June 2019; pp. 1–6. [Google Scholar]
- Ying, M. Configuration Analysis and Structural Research of In-Wheel Motor. Ph.D. Thesis, Chongqing University, Chongqing, China, 2014. [Google Scholar]
- Zhu, Z.Q.; Howe, D. Instantaneous Magnetic Field Distribution in Brushless Permanent Magnet dc Motors Part 11, Armature-Reaction Field. IEEE Trans. Magn. 1993, 29, 124–135. [Google Scholar] [CrossRef]
- Zhu, Z.Q.; Ishak, D.; Howe, D.; Chen, J. Unbalanced Magnetic Forces in Permanent-Magnet Brushless Machines with Diametrically Asymmetric Phase Windings. IEEE Trans. Ind. Appl. 2007, 43, 1544–1553. [Google Scholar] [CrossRef]
- Zhu, Z.Q.; Xia, Z.P.; Wu, L.J.; Jewell, G.W. Analytical Modeling and Finite-Element Computation of Radial Vibration Force in Fractional-Slot Permanent-Magnet Brushless Machines. IEEE Trans. Ind. Appl. 2010, 46, 1908–1918. [Google Scholar] [CrossRef]
- Zarko, D.; Ban, D.; Lipo, T.A. Analytical calculation of magnetic field distribution in the slotted air gap of a surface permanent-magnet motor using complex relative air-gap permeance. IEEE Trans. Magn. 2006, 42, 1828–1837. [Google Scholar] [CrossRef]
- Jie, M.; Tao, R.; Lee, X. Analytical calculation of no-load magnetic field distribution in the slotted airgap of a permanent magnet synchronous motor. IFAC Proc. Vol. 2013, 46, 184–189. [Google Scholar] [CrossRef]
- Kim, D.; Noh, M.D.; Park, Y.W. Unbalanced magnetic forces due to rotor eccentricity in a toroidally wound BLDC motor. IEEE Trans. Magn. 2016, 52, 1–4. [Google Scholar] [CrossRef]
- Teymoori, S.; Rahideh, A.; Moayed-Jahromi, H.; Mardaneh, M. 2-D analytical magnetic field prediction for consequent-pole permanent magnet synchronous machines. IEEE Trans. Magn. 2016, 52, 1–14. [Google Scholar] [CrossRef]
- Lu, H.; Zhang, L.; Qu, W. A New Torque Control Method for Torque Ripple Minimization of BLDC Motors with Un-Ideal Back EMF. IEEE Trans. Power Electron. 2008, 23, 950–958. [Google Scholar] [CrossRef]
- Cabrera, J.A.; Castillo, J.J.; Pérez, J.; Velasco, J.M.; Guerra, A.J.; Hernández, P. A procedure for determining tire-road friction characteristics using a modification of the magic formula based on experimental results. Sensors 2018, 18, 896. [Google Scholar] [CrossRef]
- Chao, Y. Optimal Design and Energy-Regenerative Research of Electromagnetic Active Suspension Linear Actuator. Ph.D. Thesis, Chongqing University, Chongqing, China, 2018. [Google Scholar]
- Li, Y.; Zheng, L.; Liang, Y.; Yu, Y. Adaptive compensation control of an electromagnetic active suspension system based on nonlinear characteristics of the linear motor. J. Vib. Control 2020, 42, 386. [Google Scholar] [CrossRef]


















| Dynamics Response | Passive | Active Suspension | |
|---|---|---|---|
| Kc | KP | ||
| Sprung mass acceleration (m/s2) | 0.92 | 0.70 | 0.67 |
| Deflection of suspension (m) | 0.0046 | 0.0043 | 0.0045 |
| Dynamic force of tire (N) | 647.7 | 787 | 819 |
| Eccentricity (m) | 6.1 × 10−5 | 6.4 × 10−5 | 6.5 × 10−5 |
| UEF (N) | 164.4 | 174.5 | 176 |
| Control force (N) | -- | 90.97 | 103.3 |
| Suspension Types | Body Accele-Ration (m/s2) | Suspension Deflection (m) | Tire Dynamic Force (N) | Control Force (N) | Eccentricity (m) | UEF (N) |
|---|---|---|---|---|---|---|
| Passive | 0.92 | 0.0046 | 647.7 | -- | 6.1 × 10−5 | 164.4 |
| Pra-dependent 0% | 0.67 | 0.0045 | 819 | 103.3 | 6.5 × 10−5 | 176 |
| Reliable robust 0% | 0.61 | 0.0047 | 893.9 | 136.5 | 6.9 × 10−5 | 187.5 |
| Pra-dependent 40% | 0.77 | 0.0043 | 732.4 | 58.9 | 6.1 × 10−5 | 166.1 |
| Reliable robust 40% | 0.72 | 0.0043 | 761.4 | 74.6 | 6.1 × 10−5 | 169.2 |
| Pra-dependent 80% | 0.86 | 0.0044 | 671.1 | 19.5 | 5.9 × 10−5 | 160.9 |
| Reliable robust 80% | 0.85 | 0.0044 | 677.7 | 24.3 | 5.9 × 10−5 | 161.0 |
© 2020 by the authors. Licensee MDPI, Basel, Switzerland. This article is an open access article distributed under the terms and conditions of the Creative Commons Attribution (CC BY) license (http://creativecommons.org/licenses/by/4.0/).
Share and Cite
Wu, H.; Zheng, L.; Li, Y.; Zhang, Z.; Yu, Y. Robust Control for Active Suspension of Hub-Driven Electric Vehicles Subject to in-Wheel Motor Magnetic Force Oscillation. Appl. Sci. 2020, 10, 3929. https://doi.org/10.3390/app10113929
Wu H, Zheng L, Li Y, Zhang Z, Yu Y. Robust Control for Active Suspension of Hub-Driven Electric Vehicles Subject to in-Wheel Motor Magnetic Force Oscillation. Applied Sciences. 2020; 10(11):3929. https://doi.org/10.3390/app10113929
Chicago/Turabian StyleWu, Hang, Ling Zheng, Yinong Li, Zhida Zhang, and Yinghong Yu. 2020. "Robust Control for Active Suspension of Hub-Driven Electric Vehicles Subject to in-Wheel Motor Magnetic Force Oscillation" Applied Sciences 10, no. 11: 3929. https://doi.org/10.3390/app10113929
APA StyleWu, H., Zheng, L., Li, Y., Zhang, Z., & Yu, Y. (2020). Robust Control for Active Suspension of Hub-Driven Electric Vehicles Subject to in-Wheel Motor Magnetic Force Oscillation. Applied Sciences, 10(11), 3929. https://doi.org/10.3390/app10113929

