Abstract
The phenolic composition of olive fruits represents a vast and unique source of health beneficial molecules due to the presence of specific phenolic compounds (PCs), such as verbascoside (VERB), oleuropein (OLE) and its derivative molecules. Despite of being some of the most critical compounds regarding olive oil quality, these PCs are mostly abundant in olive fruits and leafs due to their hydrophilic nature. In olives, the phenolic profile suffers a deep and constant change along fruit ripening being the phenolic alcohols, such as hydroxytyrosol (HT), mainly formed by OLE, and/or OLE aglycone molecules degradation. The present work aims to study the maturation evolution of olive fruits from two major traditional Portuguese cultivars, ‘Galega Vulgar’ and ‘Cobrançosa’, in regard to their specific phenolic profile, as well as caliber (C), moisture (H), fat content in dry matter (OPDW) and maturity index (MI). Results show that both cultivars present distinct phenolic profiles along their ripening, with ‘Galega Vulgar’ reaching a high MI and OPDW at a much earlier ripening stage (S3), in agreement with the moment when a maximum OLE accumulation was registered. On the other hand, ‘Cobrançosa’ cultivar reached its higher MI and OPDW at S6 (harvest period), coinciding also with high OLE concentrations. MI may be used as a prediction tool for ’Galega Vulgar’ optimal harvesting time evaluation, associated with higher OLE and VERB concentrations, which will confer an additional protection towards diseases, that normally affect olive orchards.
1. Introduction
Oleuropein (OLE) represents the major phenolic compound (PC) found in olive fruit, ranging from a wide spectrum of concentrations. Belonging to the secoiridoids class, a group of monoterpenoids typical of the Oleaceae family [1], this class of compounds is, in general, glycosidically bound and their biosynthesis occurs from the secondary metabolism of terpenes as precursors of various indole alkaloids [2]. In Oleaceae, secoiridoids usually derive from the oleoside type of glucosides, which are characterized by the combination of elenolic acid and a glucosidic residue. In particular, OLE is an ester of hydroxytyrosol (HT) with the oleosidic skeleton that is common and specific to the secoiridoid glucosides of Oleaceae [3]. Besides OLE, verbascoside (VERB) is also a common phenolic glucoside found in considerably high amounts and almost exclusively in the Oleaceae family [3]. This phenolic compound is the main hydroxycinnamic derivative of the olive fruit, and is structurally composed by a heterosidic ester of caffeic acid and HT [4]. The presence of these specific and unique phenolic compounds (PC) in olive fruit, as well as their degradation derivatives, has been widely studied and their strong antioxidant activity reported [5,6], showing to possess great health benefits upon its regular ingestion, such as the prevention of atherosclerosis by inhibiting the oxidation of low density lipoproteins and by scavenging several reactive oxygen species in the vascular wall [7,8,9,10].
Virgin olive oil (VOO) phenolic profile is mainly derived from the amount of phenolic glycosides originally found in olive fruit, as well as the activity of specific oxidative and hydrolytic enzymes during VOO processing [11], such as the highly specific β-glucosidases. These enzymes work in the OLE degradation pathway as a physiological function of a defensive mechanism, which specifically generates OLE-derived compounds with established antimicrobial activities, such as OLE aglycones and, to an extent, HT and tyrosol [12]. HT is undoubtedly one of the most relevant PCs naturally present in VOO [13,14,15]. Exhibiting a key role in the oxidative stability of VOOs, HT is responsible for helping to maintain both organoleptic singularity and nutritional value of a specific VOO during its shelf time [16].
The specific presence and abundance of olive fruits PCs has been proved to be cultivar specific [11,17,18], as well as dependent from other factors, such as the ripening stage [19,20]. During the maturation process, three main stages may be usually distinguished in olive fruit: a growth stage, where main accumulation of OLE occurs; a green maturation stage, where fruit develops to its final size and a reduction in OLE concentrations may start to be observed; and a black maturation stage, which is characterized by the appearance of anthocyanins and where OLE levels continue to decrease [2,21]. Lipid biosynthesis and accumulation in olive fruit mainly occurs during the growth stage and is generally concluded with the beginning of ripening [22]. For different olive cultivars also differences in lipid accumulation may be observed, as García et al. [22] confirmed for two Spanish cultivars, the lipidic biosynthesis of ‘Gordal’ cultivar was interrupted 2 weeks earlier when compared with ‘Picual’. Therefore, harvesting at an early ripening stage does not directly imply a loss of oil yield. To date, the optimal harvesting period for VOO production has been mainly selected by traditional ideologies rather than scientific criteria.
Regarding traditional Portuguese olive cultivars, not much information is available in terms of the phenolic profile evolution along the ripening stages. Sousa et al. [23] evaluated the phenolic profile of ‘Cobrançosa’ cultivar, but only two maturation stages were considered, semi-ripe and ripe, within a three week interval. Gouvinhas et al. [24] studied the polyphenolic content along three ripening periods for two Portuguese cultivars, ‘Galega Vulgar’ and ‘Cobrançosa’, however, only total phenolic content was evaluated, instead of a more component specific approach.
Being both lipidic and phenolic biosynthesis cultivar specific and ripening related, we considered of high relevace the PCs evaluation along the maturation process of two of the most relevant traditional Portuguese olive cultivars, ‘Galega Vulgar’ and ‘Cobrançosa’. From an early ripening stage until harvest, within a total of 70 days for ‘Galega Vulgar’ and 84 days for ‘Cobrançosa’, this study aims to establish the best harvesting period for these two cultivars, when maximum lipidic concentration and most favorable phenolic profile occurs, for best VOO quality production.
2. Materials and Methods
2.1. Chemicals and Reagents
All reagents were of analytical or HPLC (High Performance Liquid Chromatography) grade, and used as received. Methanol (MeOH) and acetonitrile were acquired from Merck (Darmstadt, Germany) and acetic acid from Sigma-Aldrich (St. Louis, MO, USA). Double-deionized water was obtained with a Milli-Q water purification system (Millipore, Bedford, MA, USA). Standard compounds such as tyrosol, HT, and OLE were purchased from Molekula (Gillingham, Dorset, UK), while vanillic acid, rutin, VERB, ferulic acid, luteolin, and cinnamic acid were acquired from Sigma-Aldrich (St. Louis, MO, USA).
2.2. Olive Orchard Characterization
Olive samples from both ‘Galega Vulgar’ and ‘Cobrançosa’ cultivars were provided by Torre das Figueiras—Sociedade Agrícola (Monforte, Portugal). These olive orchards were installed in 2006 within the characteristics of an irrigated intensive olive orchard with a distance between trees of 7 m × 5 m (286 tree/ha).’Cobrançosa’ cultivar was implemented in a total area of 3.44 ha with an average field slope of 8%, with rows oriented in the northwest-southeast direction. ‘Galega Vulgar’ cultivar was implemented in a total area of 9.1 ha with an average field slope of 11%, with rows orientation towards southwest-northeast.
2.3. Olive Sample Collection
Olive sampling was conducted during the year of 2019 and scheduled for every two weeks, starting at an early ripening stage, 12 September, until 7 November. Additionally, another sampling point was considered, for each cultivar, corresponding to the selected harvesting day, which was on 20 November for ‘Galega Vulgar’ and 4 December for ‘Cobrançosa’ (Table 1).
Table 1.
Temporal distribution of sampling dates for each cultivar, ‘Galega Vulgar’ (Gal) and ‘Cobrançosa’ (Cob).
Through all ripening periods, olive samples were always collected from the same trees, which were distributed along four different blocks of the olive orchard (Figure 1). From each block, four consecutive trees were selected for sampling, where olives were randomly handpicked at an average height of 1.80 m ± 0.20. Blocks were randomly selected along the geographical area of the olive orchards.
Figure 1.
Geographical distribution of sampling blocks (total of four different blocks, from B I to B IV) considered for both ‘Cobrançosa’ (a) and ‘Galega Vulgar’ (b) cultivars. Both olive cultivars were collected at Torre das Figueiras—Sociedade Agrícola (Monforte, Portugal).
2.4. Basic Physical Characterizations on Olive Fruit Samples
Fruit caliber (C) was measured by calculating the average weight of 20 randomly selected olives. Maturity index (MI) was calculated according to the International Olive Council guidelines [25], where 100 fruits were randomly collected and scored from 0 to 7, according to the coloring stage of both skin and flesh, ranging from 0 as skin color deep green, to 7 as skin color black with all the flesh purple to the stone. Then, by applying Equation (1), where the number of fruits (from A to H) is pondered for each category (From 0 to 7), a MI value was obtained for each ripening stage.
Humidity (H) and fat content (F) analyses were determined by NIR technology (FOSS Olivia™, Denmark), which has been demonstrated to be a very reliable and comparable technique for olive paste analysis [26]. For sample preparation, 300.0 ± 5.0 g of olives were crushed in a laboratory scale mill (ALREN™, Spain) through a 4 mm pore grid. All samples were prepared and analyzed within a maximum period of 8 h from sample collection. Oil content in the olive paste on a dry weight basis (OPDW) was calculated according to Equation (2), where OPDW (%) represents the paste oil fraction on a dry weight basis, F is the paste oil content (%) on a fresh weight basis, and H is the paste water content (%).
2.5. Hydrophilic Phenolic Extraction
For the hydrophilic extraction of olive fruits, the pulp of 20 olives was randomly collected and cut into fine pieces. The pulp (2.0 ± 0.1 g) was weighted in a 50 mL falcon tube and 20 mL of MeOH added. The mixture was then homogenized on the Ultra Turrax® (IKA® T25 digital Ultra Turrax, Germany) for 5 min at 20,000 rpm. Phase separation was made by centrifugation (10 min at 6000 rpm). Methanolic fraction was collected, and solid fraction re-extracted following the same process, as described, for two more times. The hydrophilic extract was then evaporated to dryness in a rotary evaporator under low pressure at 35 °C. The final extract was dissolved in 2 mL of methanol and filtered through a Polytetrafluoroethylene (PTFE) 0.22 µm syringe filter before HPLC. Triplicates were performed in three independent experiments.
2.6. HPLC Analyses
For the chromatographic separation of HPC a previously published method by Ferro et al. [27] was followed. The HPLC (Merck Hitachi LaChrome, Tokyo, Japan) consisted of a L7000 interface module, a L7200 auto sampler, a L7350 column oven, a L7100 pump andaL-7420 UV detector, controlled by the D-7000 HSM software. Compounds separation was monitored at a wavelength of 280 nm.
2.7. Statistical Analysis
For the statistical analyses and evaluation of the experimental data, one-way analysis of variance (one-way ANOVA) was applied, for a confidence interval of 95%. All analyses were performed using the software STATISTICA™ (version 8, StatSoft Inc., Tulsa, OK, USA).
3. Results
3.1. Basic Sample Characterization
Along the olive fruit ripening, measurements regarding C, OPDW, H and MI were conducted. In Table 2, results for these parameters are presented in regard to both ‘Cobrançosa’ and ‘Galega Vulgar’ cultivars.
Table 2.
Evaluation of olive fruit caliber (C), fat content in dry matter (OPDW), moisture (H) and maturity index (MI) along ripening, for ‘Cobrançosa’ and ‘Galega Vulgar’ (mean ± standard deviation).
Olive C was measured along the ripening process of the fruit. For ‘Galega Vulgar’, from S1 to S6 about 1 g of fruit mass was accumulated, maintaining constant mass from S5 forward, since no significant differences (p-value > 0.05) were found between mass registered at S5 and S6. ‘Cobrançosa’ olives registered a considerably higher caliber than ‘Galega Vulgar’, reaching its maximum weight at S5 ripening stage, with a total amount of 4.3 ± 1.1g. From S5 to S6 a significant loss of mass was registered (p-value < 0.05), which may be related to the significant moisture loss register between these two ripening stages. Regarding OPDW, ‘Cobrançosa’ showed a constant and significant oil increment along ripening time (p-value < 0.05), presenting its maximum accumulation (38.65 ± 0.72%) at harvest time (S6), with an increment of about 20% since the first sampling period (S1). With a comparatively different behavior, ‘Galega Vulgar’ presented higher OPDW values at an earlier ripening stage (S1). Highest OPDW accumulation was recorded at S5, with 34.69 ± 0.81%, but with no significant differences from earlier ripening stage (S3) and harvest period (S6) (p-value > 0.05). Regarding moisture (H), while ‘Cobrançosa’ presented a general decrease of fruit humidity over ripening, with a loss of about 3.84% from S1 to S6, ‘Galega Vulgar’ showed an opposite behavior, with a total moisture accumulation of about 7.42%, for the same period.
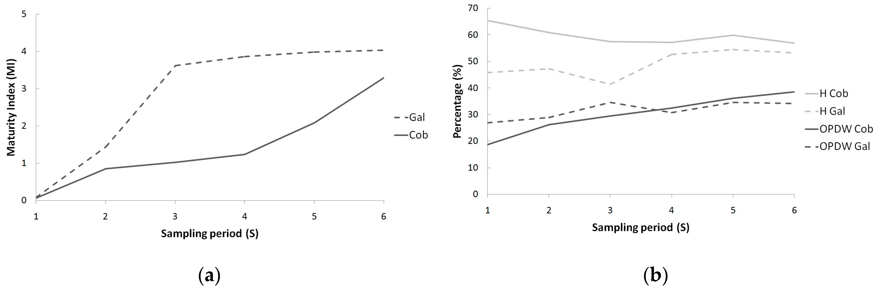
In agreement with OPDW, for both cultivars, highest MI increase was achieved when oil content was at its maximum accumulation (Figure 2a,b). For ‘Galega Vulgar’, most significant increase on MI was achieved at S3, with a score of 3.670 ± 0.070, and increasing a total of 2.17 from S2 to S3. Its maximum MI was observed at S6 since maturity is a constantly evolving parameter, but from S3 to S6 only a 0.41 increment was registered, and as it was observed (Figure 2a), the slope of MI kinetics reduces greatly from S3 forward. On the other hand, ‘Cobrançosa’ greatest MI increase was registered from S5 to S6, with a total increment of 1.00, where also maximum OPDW accumulation was registered. Along the ripening process ‘Cobrançosa’ presented a more constant and linear evolution in regard to MI and OPDW, when compared with ‘Galega Vulgar’. In fact, as Figure 2 illustrates, both cultivars presented quite distinct kinetics in regard to MI, OPDW and H, with ‘Galega Vulgar’ reaching considerably high OPDW and MI at a much earlier ripening stage (S3).
Figure 2.
Maturity index (MI) evaluation (a), and fat content in dry matter (OPDW) and moisture (H) content evaluation (b) for cultivars ‘Cobrançosa’ (Cob) and ‘Galega Vulgar’ (Gal), along ripening stages (S).
3.2. Phenolic Compounds Identification in Olive Fruit
Analysis of single PCs was carried by means of HPLC-RP, considering the specific retention time of the reference compounds. For both cultivars, a total of nine PCs were identified (Figure 3). Among these, VERB, and OLE were the most abundant PCs measured in both cultivars.
Figure 3.
Chromatographic phenolic profile of ‘Cobrançosa’ (black) and ‘Galega Vulgar’ (red, thickener line) olive fruits, belonging to block I at S1 sampling period. Identified phenolic compounds (PCs): (1) hydroxytyrosol (HT); (2) tyrosol; (3) vanillic acid; (4) rutin; (5) verbascoside (VERB); (6) ferulic acid; (7) oleuropein (OLE); (8) luteolin; (9) cinnamic acid.
Considering that Figure 3 represents the overlapping chromatographic profile of ‘Cobrançosa’ (black) and ‘Galega Vulgar’ (red) at an early ripening stage (S1), it was clear that, at this ripening stage, single PCs present a very distinct distribution regarding the cultivar. A much higher peak intensity was registered for both VERB and OLE in ‘Galega Vulgar’, whereas rutin and ferulic acid were present with higher intensity in ‘Cobrançosa’ profile.
3.3. Phenolic Profile Evolution over Ripening
Along the olive fruit maturation process, a total of six sampling periods were evaluated. OLE and HT were the main PCs of interest, due to their bioactive properties and oxidative protection conferred to the VOOs, as well as VERB, due to its relatively high amounts. The evolution of these specific PCs was measured along the ripening process of both cultivars (Table 3).
Table 3.
Quantification of hydroxytyrosol (HT), oleuropein (OLE) and verbascoside (VERB) (mg/Kg of olive pulp) over six different ripening stages (S), for ‘Cobrançosa’ and ‘Galega Vulgar’ cultivars (mean ± standard deviation).
Regarding HT, for both cultivars considerably lower amounts were registered during ripening. Highest values were observed for ‘Cobrançosa’ starting at S4 (130 ± 35 mg/kg) until the last collection point (156 ± 46 mg/Kg). ‘Galega Vulgar’ also presented higher HT amounts at harvest (126 ± 31 mg/Kg). Since HT mainly results from an enzymatic hydrolysis of OLE, the increase of HT towards harvest could be expected. On the other hand, VERB was present at considerably higher amounts during ripening for both cultivars. With a general decreasing tendency over time for both cultivars, ‘Cobrançosa’ registered its maximum VERB accumulation at S1, with an average of 4514 ± 712 mg/Kg, while ‘Galega Vulgar’ showed it at S3, with an average amount of 4247 ± 361 mg/Kg. OLE presented the most distinguished profile along the ripening stage regarding both cultivars. Within much lower concentrations, OLE was registered with its higher amounts at S6 for ‘Cobrançosa’ (average value of 3268 ± 2731 mg/Kg) and S3 for ‘Galega Vulgar’ (average value of 26,304 ± 10,930 mg/Kg). While for ‘Cobrançosa’ OLE was maximum at S6, ‘Galega Vulgar’ showed its minimum concentration (average value of 1908 ± 468 mg/Kg) at the same time, affirming the distinct particularity that OLE profile presented for each cultivar. The range of variability, registered for these quantifications, is also noteworthy. As shown, both cultivars presented a notorious variability among sampling periods, mainly regarding OLE, which registered standard deviations in the extreme ranges of ±2731 mg/Kg for ‘Cobrançosa’ at S6 (Figure 4a) and ±15,173 mg/Kg for ‘Galega Vulgar’ at S1 (Figure 4b).
Figure 4.
Mean value ± standard error (SE) and mean value ± standard deviation (SD) representation for oleuropein (OLE) concentrations regarding ‘Cobrançosa’ (a) and ‘Galega Vulgar’ (b) along ripening (S).
As described, samples were collected from four different blocks randomly selected within the olive orchards (Figure 1). Results showed a great variability on PCs, mainly OLE concentrations, within the different sampling blocks, despite of belonging to the same cultivar, in a similar water regime and being subjected to the same agronomic practices and edaphoclimatic conditions.
To better visualize the sampling block effect on OLE variability, a discriminate approach was applied, where distinct sampling blocks (I to IV) were analyzed separately for both ‘Cobrançosa’ and ‘Galega Vulgar’ cultivars in regard to MI (Figure 5a,c, respectively) and OPDW (Figure 5b,d, respectively).
Figure 5.
Ripening stage (S) profile of oleuropein (OLE) concentration regarding maturity index (MI) for ‘Cobrançosa’ (a) and ‘Galega Vulgar’ (c), and fat content in dry matter (OPDW) for ‘Cobrançosa’ (b) and ‘Galega Vulgar’ (d).
‘Cobrançosa’ showed block I to present the highest OLE concentrations at S6, with more than 6000 mg/Kg, while block II, for the same period, registered values below 1000 mg/Kg. Notably, within all ‘Galega Vulgar’ sampling blocks, a positive OLE peak and maximum, was registered at S3. Block III showed its maximum OLE accumulation at S1 but no significant differences were found when compared with S3 (p-value > 0.05). Concentrations ranged greatly among blocks for S3, with block III showing the highest amount with values as high as 35,000 mg/Kg, while bock IV did not go higher than about 9000 mg/Kg. After this, a general OLE decrease until S6 was observed for all blocks.
Furthermore, regarding ‘Cobrançosa’ MI (Figure 5a) and OPDW (Figure 5b), maximum values occured at S6 in agreement with the general maximum OLE concentration registered for this cultivar. For ‘Galega Vulgar’ most relevant MI (Figure 5c) increase was reached at S3, with a score of 3.63, coincident with highest OLE concentrations for all blocks. A similar tendency was observed with OPDW accumulation (Figure 5d).
4. Discussion
‘Galega Vulgar’ and ‘Cobrançosa’ are two of most recognized Portuguese cultivars for VOO production. From the six Protected Designation of Origin (PDO) products for olive oil registered in Portugal, both ‘Galega Vulgar’ and ‘Cobrançosa’ are present in five of them, revealing their unique quality and sensory characteristics when Portuguese VOO are considered. Olive fruit ripening is a well-known variable that influences the presence and respective structural availability of specific PCs [28]. As demonstrated by Peres et al. [29], PCs present an important role on the organoleptic evaluation and nutritional value of the VOO derived from these two cultivars, being the phenolic profile deeply related with the ripening stage. Therefore, harvesting date will influence the presence of different taste notes and functional value of the produced VOO. As our results show, along the ripening period, olive fruits from ‘Galega Vulgar’ achieved comparatively higher MI levels and OPDW accumulation content at a much earlier stage (Figure 5c,d), in agreement with a previously reported study regarding VOO derived from the same cultivars [30]. For both cultivars, a high correlation between MI and OPDW was observed (r = 0.925 and r = 0.899, respectively for ‘Cobrançosa’ and ‘Galega Vulgar’), which confirms the MI as a good preliminary visual tool to predict appropriate harvesting time for olive oil production [31]. However, when a high quality and functional VOO is desired, other variables such as the phenolic fraction should be considered.
‘Galega Vulgar’ olive orchards are generally highly susceptible to diseases such as anthracnose [32], which is the main phytopathological limiting factor affecting olive production in Portugal. This disease may be caused by several fungus species belonging to the genus Colletotrichum and mainly affects mature olive fruits, starting to be observed during the autumn [33]. Considering the MI and OPDW reported in this study for S3 ripening stage of ‘Galega Vulgar’, aligned with the highest OLE and VERB registered concentrations (respectively, 26,304 ± 10,930 and 4247 ± 361 mg/Kg), harvesting at this considerably early stage (middle of October) could help reducing the susceptibility of anthracnose occurrence for this cultivar, with no loss in the oil yield and taking advantage of a considerably high phenolic content. As observed in Table 1, the harvesting day occurred approximately one month later, which does not represent any significant increment (p-value > 0.05) in OPDW values (34.59 ± 0.25% at S3 and 34.28 ± 0.63% at S6). Therefore, the MI can be a pmay be viewed as a good predictor for ‘Galega Vulgar’ optimal harvesting time, associated with OLE and VERB higher concentrations, which might confer an additional protection towards diseases that normally affect olive orchards. To the best of our knowledge, there is no reported information related to defensive mechanisms for ‘Galega Vulgar’ in relation to phenolic compounds, but since OLE is associated with an endogenous defensive system against invasive species [34], such as Bactrocera oleae [35], the high OLE values registered for this cultivar, especially at S3, should confer it a relatively good natural resilience against infestations. By itself, OLE will not confer any considerable bioactive protection to the fruit, but when exposed to the highly specific β-glcosidase enzymes, caused by cellular membrane rupture, its enzymatic hydrolysis will produce highly reactive aldehyde molecules [36,37]. In conjugation with OLE, β-glcosidase activity also suffers changes along fruit ripening. As reported by Mazzuca et al. [36], the levels of β-glucosidase activity tend to be in accordance with OLE content in olive fruit, higher before the fruit is fully ripe, and gradually decreasing when the fruit turns mature, mainly due to the senescence of cellular tissues that will put β-glucosidase in contact with OLE, promoting its natural hydrolysis until their amounts turn merely residual. So, if not accelerated by external factors, OLE hydrolysis will naturally occur along fruit ripening, which was showed for ‘Galega Vulgar’ from S3 forward, inducing a gradual increase on HT values. For ‘Cobrançosa’ this could not be observed since at harvest time (S6) OLE concentration was still showing an increasing trend, and also ‘Cobrançosa’ at S6 was still presenting a lower MI, when compared to ‘Galega Vulgar’ at the same period; therefore, it is possible that for ‘Cobrançosa’ at S6 stage olive fruits were yet not presenting signs of cellular tissue senescence. In regard to VERB, since its formation is metabolically linked to the conjugation of HT with caffeic acid [38], the observed decrease of VERB concentrations along ripening is supported by the sequential HT increase. In fact, ‘Galega Vulgar’ registers it highest VERB levels at S3, the period when HT was registered as minimum (with no significant differences from S4). Previously, Markakis et al. [39] reported for ‘Koroneiki’ cultivar a correlation between the enhanced levels of VERB and the resistance of this cultivar towards Verticillium dahlia, a soil borne fungus responsible for Verticillium wilt, a serious diseases affecting olive trees. Therefore, in conjugation with OLE degradation metabolites, the high VERB concentrations found in both cultivars also present significant relevance in the olive tree defensive mechanism.
When compared to ‘Galega Vulgar’, ‘Cobrançosa’ registered a much different behavior, considering both MI and OPDW, which only reached considerably higher values at a latter ripening period (early December). As the results suggested, the maximum OPDW and OLE quantity should probably be achieved on a latter ripening, comparatively to ‘Galega Vulgar’, and hence, for ‘Cobrançosa’ cultivar, the harvesting time should be delayed in order to better evaluate the studied kinetics.
Several studies have previously reported great changes in the phenolic profile during olive fruit maturation for different cultivars. Arslan et al. [40] showed for the Turkish ‘Sarıulak’ cultivar, OLE concentrations ranging from 2981 to 375 mg/Kg, respectively, from an early-ripe to ripe stages. Regarding two other Turkish cultivars, Dagdelen et al. [41] showed the highest OLE content to be at an early ripening stage for ‘Ayvalık’ cultivar, with 210 mg/Kg, and at a latter ripening stage for ‘Gemlik’, with an average concentration of 147 mg/Kg. Regarding the Tunisian cultivar ‘Chemlali’, Bouaziz et al. [28] showed that higher OLE concentrations were registered during the early ripening stage, ranging from about 6500 mg/Kg to less than 1000 mg/Kg when full maturation was achieved. Different cultivars reveal specific and unique phenolic profiles that overcome a constant change during fruit ripening, as showed as well for the Portuguese cultivars ‘Cobrançosa’ and ‘Galega Vulgar’ with the present study. As VOO phenolic content is highly related to the presence and concentration of PCs in olive fruit, among other factors, such as β-glucosidade activity [11,42,43], the high OLE and VERB concentrations present on the studied cultivars represent a great potential for a standout nutritional quality VOO production.
Results have demonstrated that for both ‘Cobrançosa’ and ‘Galega Vulgar’ different harvesting periods should be considered. In respect to studied variables, ‘Cobrançosa’ presented (within the total of 84 sampling days) the optimal harvest period at S6, when both MI and OPDW were at their maximum and OLE accumulation also showed an increasing trend. In contrast, ‘Galega Vulgar’ presented its optimal harvest period at S3, when the most significant MI increase was registered and also the highest OPDW was reached. At S3 ‘Galega Vulgar’ also presented its highest OLE accumulation, as well as a considerably higher VERB concentration, which may predict a final VOO with a richer PCs fraction and improved nutritional value.
Author Contributions
Conceptualization, M.F.D. and F.M.R.; Methodology, M.D.F., E.L., M.A., F.M.R. and M.F.D.; Validation, M.F.D.; Investigation, M.D.F., E.L.; Data Curation, M.D.F. and M.F.D.; Writing—Original Draft Preparation, M.D.F.; Writing—Review and Editing, M.D.F., M.F.D.; Supervision, A.P., F.M.R. and M.F.D.; Funding Acquisition, A.P., M.F.D. and F.M.R. All authors have read and agreed to the published version of the manuscript.
Funding
This research was funded by Program Alentejo 2020, through the European Fund for Regional Development (FEDER) under the scope of OLEAVALOR—Valorização das Variedades de Oliveira Portuguesas (ALT20-03-0145-FEDER-000014). The authors acknowledge Fundação para a Ciência e a Tecnologia for the PhD grant to Miguel Duarte Ferro (SFRH/BD/140083/2018). This work was also funded through FCT under the Project UIDB/05183/2020 to Mediterranean Institute for Agriculture, Environment and Development (MED).
Acknowledgments
Authors are grateful to Torre das Figueiras—SociedadeAgrícola (Monforte, Portugal) for allowing olive fruits collection.
Conflicts of Interest
The authors declare no conflict of interest.
References
- Obied, H.K.; Prenzler, P.D.; Ryan, D.; Servili, M.; Taticchi, A.; Esposto, S.; Robards, K. Biosynthesis and biotransformations of phenol-conjugated oleosidic secoiridoids from Olea europaea L. Nat. Prod. Rep. 2008, 25, 1167–1179. [Google Scholar] [CrossRef] [PubMed]
- Omar, S.H. Oleuropein in olive and its pharmacological effects. Sci. Pharm. 2010, 78, 133–154. [Google Scholar] [CrossRef] [PubMed]
- Soler-Rivas, C.; Espiń, J.C.; Wichers, H.J. Oleuropein and related compounds. J. Sci. Food Agric. 2000, 80, 1013–1023. [Google Scholar] [CrossRef]
- Naczk, M.; Shahidi, F. Phenolics in Food and Nutraceuticals; CRC Press: Boca Raton, FL, USA, 2003. [Google Scholar]
- Benavente-García, O.; Castillo, J.; Lorente, J.; Ortuño, A.; Del Rio, J.A. Antioxidant activity of phenolics extracted from Olea europaea L. leaves. Food Chem. 2000, 68, 457–462. [Google Scholar] [CrossRef]
- Visioli, F.; Poli, A.; Galli, C. Antioxidant and other biological activities of phenols from olives and olive oil. Med. Res. Rev. 2002, 22, 65–75. [Google Scholar] [CrossRef] [PubMed]
- Coni, E.; Di Benedetto, R.; Di Pasquale, M.; Masella, R.; Modesti, D.; Mattei, R.; Carlini, E.A. Protective effect of oleuropein, an olive oil biophenol, on low density lipoprotein oxidizability in rabbits. Lipids 2000, 35, 45–54. [Google Scholar] [CrossRef] [PubMed]
- Visioli, F.; Bellomo, G.; Galli, C. Free radical-scavenging properties of olive oil polyphenols. Biochem. Biophys. Res. Commun. 1998, 247, 60–64. [Google Scholar] [CrossRef]
- Aruoma, O.I.; Deiana, M.; Jenner, A.; Halliwell, B.; Kaur, H.; Banni, S.; Corongiu, F.P.; Dessí, M.A.; Aeschbach, R. Effect of Hydroxytyrosol Found in Extra Virgin Olive Oil on Oxidative DNA Damage and on Low-Density Lipoprotein Oxidation. J. Agric. Food Chem. 1998, 46, 5181–5187. [Google Scholar] [CrossRef]
- Covas, M.I.; De La Torre, K.; Farré-Albaladejo, M.; Kaikkonen, J.; Fitó, M.; López-Sabater, C.; Pujadas-Bastardes, M.A.; Joglar, J.; Weinbrenner, T.; Lamuela-Raventós, R.M.; et al. Postprandial LDL phenolic content and LDL oxidation are modulated by olive oil phenolic compounds in humans. Free Radic. Biol. Med. 2006, 40, 608–616. [Google Scholar] [CrossRef]
- Velázquez-Palmero, D.; Romero-Segura, C.; García-Rodríguez, R.; Hernández, M.L.; Vaistij, F.E.; Graham, I.A.; Pérez, A.G.; Martínez-Rivas, J.M. An oleuropein β-glucosidase from olive fruit is involved in determining the phenolic composition of virgin olive oil. Front. Plant Sci. 2017, 8, 1–12. [Google Scholar] [CrossRef]
- Koudounas, K.; Banilas, G.; Michaelidis, C.; Demoliou, C.; Rigas, S.; Hatzopoulos, P. A defence-related Olea europaea β-glucosidase hydrolyses and activates oleuropein into a potent protein cross-linking agent. J. Exp. Bot. 2015, 66, 2093–2106. [Google Scholar] [CrossRef] [PubMed]
- Hu, T.; He, X.W.; Jiang, J.G.; Xu, X.L. Hydroxytyrosol and its potential therapeutic effects. J. Agric. Food Chem. 2014, 62, 1449–1455. [Google Scholar] [CrossRef] [PubMed]
- Tuck, K.L.; Hayball, P.J. Major phenolic compounds in olive oil: Metabolism and health effects. J. Nutr. Biochem. 2002, 13, 636–644. [Google Scholar] [CrossRef]
- Romero, C.; Brenes, M. Analysis of total contents of hydroxytyrosol and tyrosol in olive oils. J. Agric. Food Chem. 2012, 60, 9017–9022. [Google Scholar] [CrossRef] [PubMed]
- Baldioli, M.; Servili, M.; Perretti, G.; Montedoro, G.F. Antioxidant activity of tocopherols and phenolic compounds of virgin olive oil. J. Am. Oil Chem. Soc. 1996, 73, 1589–1593. [Google Scholar] [CrossRef]
- Esti, M.; Cinquanta, L.; La Notte, E. Phenolic Compounds in Different Olive Varieties. J. Agric. Food Chem. 1998, 46, 32–35. [Google Scholar] [CrossRef]
- Brenes, M.; García, A.; García, P.; Rios, J.J.; Garrido, A. Phenolic compounds in Spanish olive oils. J. Agric. Food Chem. 1999, 47, 3535–3540. [Google Scholar] [CrossRef]
- Caponio, F.; Gomes, T.; Pasqualone, A. Phenolic compounds in virgin olive oils: Influence of the degree of olive ripeness on organoleptic characteristics and shelf-life. Eur. Food Res. Technol. 2001, 212, 329–333. [Google Scholar] [CrossRef]
- Conde, C.; Delrot, S.; Gerós, H. Physiological, biochemical and molecular changes occurring during olive development and ripening. J. Plant Physiol. 2008, 165, 1545–1562. [Google Scholar] [CrossRef]
- García, J.M.; Seller, S.; Pérez-Camino, M.C. Influence of Fruit Ripening on Olive Oil Quality. J. Agric. Food Chem. 1996, 44, 3516–3520. [Google Scholar] [CrossRef]
- García, J.M.; Mancha, M. Evolución de la biosíntesis de lípidos durante la maduración de las variedades de aceituna “Picual” y “Gordal”. Grasas y Aceites 1992, 43, 277–280. [Google Scholar] [CrossRef]
- Sousa, C.; Gouvinhas, I.; Barreira, D.; Carvalho, M.T.; Vilela, A.; Lopes, J.; Martins-Lopes, P.; Barros, A.I. “Cobrançosa” olive oil and drupe: Chemical composition at two ripening stages. J. Am. Oil Chem. Soc. 2014, 91, 599–611. [Google Scholar] [CrossRef]
- Gouvinhas, I.; Domínguez-Perles, R.; Gironés-Vilaplana, A.; Carvalho, T.; MacHado, N.; Barros, A. Kinetics of the Polyphenolic Content and Radical Scavenging Capacity in Olives through On-Tree Ripening. J. Chem. 2017, 2017, 5197613. [Google Scholar] [CrossRef]
- International Olive Oil Council. Guide for the Determination of the Characteristics of Oil-Olives. 2011. Available online: https://www.internationaloliveoil.org/wp-content/uploads/2019/11/COI-OH-Doc.-1-2011-Eng.pdf (accessed on 15 May 2020).
- Lee, C.; Polari, J.J.; Kramer, K.E.; Wang, S.C. Near-Infrared (NIR) Spectrometry as a Fast and Reliable Tool for Fat and Moisture Analyses in Olives. ACS Omega 2018, 3, 16081–16088. [Google Scholar] [CrossRef] [PubMed]
- Ferro, M.; Santos, S.; Silvestre, A.; Duarte, M.; Ferro, M.D.; Santos, S.A.O.; Silvestre, A.J.D.; Duarte, M.F. Chromatographic Separation of Phenolic Compounds from Extra Virgin Olive Oil: Development and Validation of a New Method Based on a Biphenyl HPLC Column. Int. J. Mol. Sci. 2019, 20, 201. [Google Scholar] [CrossRef] [PubMed]
- Bouaziz, M.; Chamkha, M.; Sayadi, S. Comparative study on phenolic content and antioxidant activity during maturation of the olive cultivar Chemlali from Tunisia. J. Agric. Food Chem. 2004, 52, 5476–5481. [Google Scholar] [CrossRef]
- Peres, F.; Martins, L.L.; Mourato, M.; Vitorino, C.; Antunes, P.; Ferreira-Dias, S. Phenolic compounds of “Galega Vulgar” and “Cobrançosa” olive oils along early ripening stages. Food Chem. 2016, 211, 51–58. [Google Scholar] [CrossRef]
- Peres, F.; Martins, L.L.; Mourato, M.; Vitorino, C.; Ferreira-Dias, S. Bioactive Compounds of Portuguese Virgin Olive Oils Discriminate Cultivar and Ripening Stage. J. Am. Oil Chem. Soc. 2016, 93, 1137–1147. [Google Scholar] [CrossRef]
- Trapani, S.; Migliorini, M.; Cherubini, C.; Cecchi, L.; Canuti, V.; Fia, G.; Zanoni, B. Direct quantitative indices for ripening of olive oil fruits to predict harvest time. Eur. J. Lipid Sci. Technol. 2016, 118, 1202–1212. [Google Scholar] [CrossRef]
- Gouvinhas, I.; Martins-Lopes, P.; Carvalho, T.; Barros, A.; Gomes, S. Impact of colletotrichum acutatum pathogen on olive phenylpropanoid metabolism. Agriculture 2019, 9, 173. [Google Scholar] [CrossRef]
- Loureiro, A.; Talhinhas, P.; Oliveira, H. A gafa da oliveira é causada por fungos de diversas espécies, com distinta distribuição geográfica, virulência e preferência pela cultivar. Rev. Ciências Agrárias 2018, 41, 141–150. [Google Scholar] [CrossRef]
- Kubo, I.; Matsumoto, A.; Takase, I. A multichemical defense mechanism of bitter olive Olea europaea (oleaceae)—Is oleuropein a phytoalexin precursor? J. Chem. Ecol. 1985, 11, 251–263. [Google Scholar] [CrossRef] [PubMed]
- Iannotta, N.; Noce, M.E.; Ripa, V.; Scalercio, S.; Vizzarri, V. Assessment of susceptibility of olive cultivars to the Bactrocera oleae (Gmelin, 1790) and Camarosporium dalmaticum (Thüm.) Zachos & Tzav.-Klon. attacks in Calabria (Southern Italy). J. Environ. Sci. Health Part B Pestic. Food Contam. Agric. Wastes 2007, 42, 789–793. [Google Scholar] [CrossRef]
- Mazzuca, S.; Spadafora, A.; Innocenti, A.M. Cell and tissue localization of β-glucosidase during the ripening of olive fruit (Olea europaea) by in situ activity assay. Plant. Sci. 2006, 171, 726–733. [Google Scholar] [CrossRef]
- Spadafora, A.; Mazzuca, S.; Chiappetta, F.F.; Parise, A.; Perri, E.; Innocenti, A.M. Oleuropein-Specific-β-Glucosidase Activity Marks the Early Response of Olive Fruits (Olea europaea) to Mimed Insect Attack. Agric. Sci. China 2008, 7, 703–712. [Google Scholar] [CrossRef]
- Ryan, D.; Prenzler, P.D.; Lavee, S.; Antolovich, M.; Robards, K. Quantitative changes in phenolic content during physiological development of the olive (Olea europaea) cultivar Hardy’s Mammoth. J. Agric. Food Chem. 2003, 51, 2532–2538. [Google Scholar] [CrossRef] [PubMed]
- Markakis, E.A.; Tjamos, S.E.; Antoniou, P.P.; Roussos, P.A.; Paplomatas, E.J.; Tjamos, E.C. Phenolic responses of resistant and susceptible olive cultivars induced by defoliating and nondefoliating Verticillium dahliae pathotypes. Plant. Dis. 2010, 94, 1156–1162. [Google Scholar] [CrossRef] [PubMed]
- Arslan, D.; Özcan, M.M. Phenolic profile and antioxidant activity of olive fruits of the Turkish variety “Sariulak” from different locations. Grasas y Aceites 2011, 62, 453–461. [Google Scholar] [CrossRef]
- Dagdelen, A.; Tümen, G.; Özcan, M.M.; Dündar, E. Phenolics profiles of olive fruits (Olea europaea L.) and oils from Ayvalik, Domat and Gemlik varieties at different ripening stages. Food Chem. 2013, 136, 41–45. [Google Scholar] [CrossRef]
- García-Rodríguez, R.; Romero-Segura, C.; Sanz, C.; Sánchez-Ortiz, A.; Pérez, A.G. Role of polyphenol oxidase and peroxidase in shaping the phenolic profile of virgin olive oil. Food Res. Int. 2011, 44, 629–635. [Google Scholar] [CrossRef]
- Hachicha Hbaieb, R.; Kotti, F.; García-Rodríguez, R.; Gargouri, M.; Sanz, C.; Pérez, A.G. Monitoring endogenous enzymes during olive fruit ripening and storage: Correlation with virgin olive oil phenolic profiles. Food Chem. 2015, 174, 240–247. [Google Scholar] [CrossRef] [PubMed]
© 2020 by the authors. Licensee MDPI, Basel, Switzerland. This article is an open access article distributed under the terms and conditions of the Creative Commons Attribution (CC BY) license (http://creativecommons.org/licenses/by/4.0/).




