Hypervelocity Impact Cratering on Semi-Infinite Concrete Targets of Projectiles with Different Length to Diameter Ratios
Abstract
:Featured Application
Abstract
1. Introduction
2. Experiment
2.1. Projectiles and Targets
2.2. Experimental Setup
2.3. Results
3. Analyses and Discussions
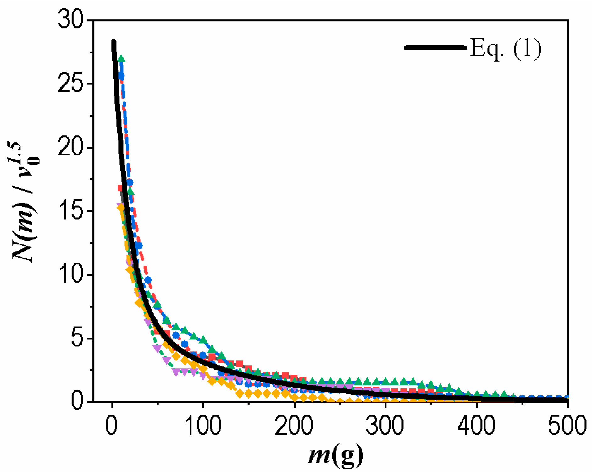
3.1. Scaling Theory for the Impact Crater
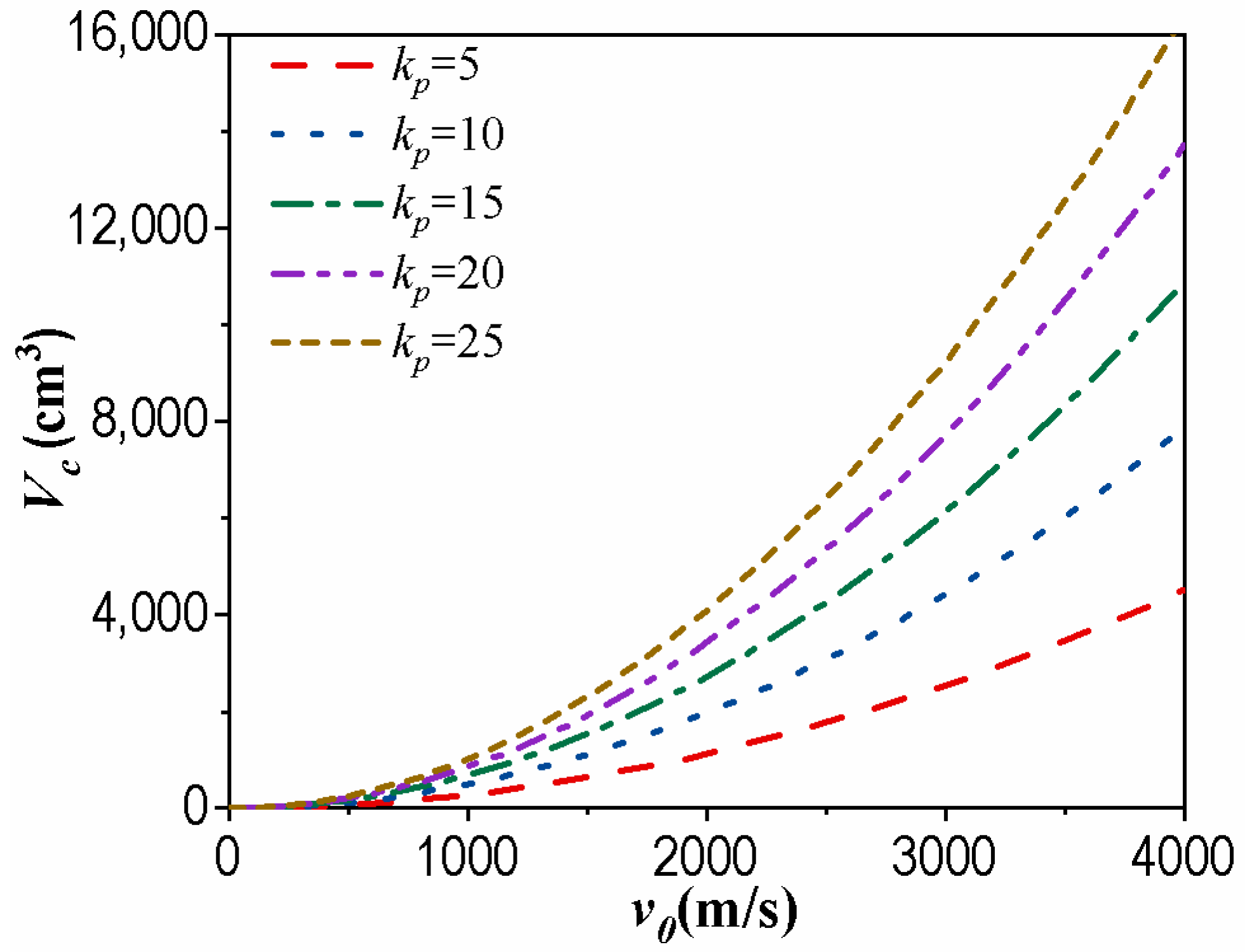
3.2. Further Discussions of kp
4. Conclusions
Author Contributions
Funding
Conflicts of Interest
References
- Kong, X.Z.; Wu, H.; Fang, Q.; Zhang, W.; Xiao, Y.K. Projectile penetration into mortar targets with a broad range of striking velocities: Test and analyses. Int. J. Impact Eng. 2017, 106, 18–29. [Google Scholar] [CrossRef]
- Qian, B.W.; Zhou, G.; Li, J. Study of the Crater Produced by Hypervelocity Tungsten Alloy Projectile into Concrete Target. Trans. Beijing Inst. Technol. 2018, 38, 26–31. [Google Scholar]
- Holsapple, K.A.; Schmidt, R.M. Point source solutions and coupling parameters in cratering mechanics. J. Geophys. Res. Solid Earth 1987, 92, 6350–6376. [Google Scholar] [CrossRef]
- Holsapple, K.A. The Scaling of Impact Processes in Planetary Sciences. Annu. Rev. Earth Planet. Sci. 1993, 21, 333–373. [Google Scholar] [CrossRef]
- Dufresne, A.; Poelchau, M.H.; Kenkmann, T.; Deutsch, A.; Hoerth, T.; Schaefer, F.; Thoma, K. Crater morphology in sandstone targets: The MEMIN impact parameter study. Meteorit. Planet. Sci. 2013, 48, 50–70. [Google Scholar] [CrossRef]
- Poelchau, M.H.; Kenkmann, T.; Thoma, K.; Hoerth, T. The MEMIN research unit: Scaling impact cratering experiments in porous sandstones. Meteorit. Planet. Sci. 2013, 48, 8–22. [Google Scholar] [CrossRef]
- Kenkmann, T.; Wünnemann, K.; Deutsch, A.; Poelchau, M.H.; Schäfer, F.; Thoma, K. Impact cratering in sandstone: The MEMIN pilot study on the effect of pore water. Meteorit. Planet. Sci. 2011, 46, 890–902. [Google Scholar] [CrossRef]
- Poelchau, M.H.; Kenkmann, T.; Hoerth, T.; Schäfer, F.; Rudolf, M.; Thoma, K. Impact cratering experiments into quartzite, sandstone and tuff: The effects of projectile size and target properties on spallation. Icarus 2014, 242, 211–224. [Google Scholar] [CrossRef]
- Nishida, M.; Hiraiwa, Y.; Hayashi, K.; Hasegawa, S. Scaling laws for size distribution of fragments resulting from hypervelocity impacts of aluminum alloy spherical projectiles on thick aluminum alloy targets: Effects of impact velocity and projectile diameter. Int. J. Impact Eng. 2017, 109, 400–407. [Google Scholar] [CrossRef]



















| Target No. | Long-Rod Dimensions | V0 (m/s) | Yaw Angle (°) | Crater Dimensions | ||||
|---|---|---|---|---|---|---|---|---|
| mp (g) | Dp | Lp (mm) | Dc (mm) | Hc (mm) | Vc (cm3) | |||
| #4 | 24.26 | 6.98 | 69.83 | 2688 | 0.8 | 442.2 | 61 | 3959 |
| #6 | 24.13 | 6.98 | 70.02 | 2117 | 1.2 | 321.1 | 49 | 1561 |
| #7 | 23.79 | 7.00 | 70.46 | 2220 | 0.5 | 357.2 | 59 | 2316 |
| #9 | 23.99 | 7.02 | 70.32 | 3086 | 0 | 395.4 | 80 | 4388 |
| #17 | 24.26 | 6.99 | 70.00 | 2494 | 0 | 384.8 | 52 | 3611 |
© 2020 by the authors. Licensee MDPI, Basel, Switzerland. This article is an open access article distributed under the terms and conditions of the Creative Commons Attribution (CC BY) license (http://creativecommons.org/licenses/by/4.0/).
Share and Cite
Lu, Y.; Zhang, Q.; Xue, Y.; Shang, C.; Liu, W.; Ren, S.; Long, R. Hypervelocity Impact Cratering on Semi-Infinite Concrete Targets of Projectiles with Different Length to Diameter Ratios. Appl. Sci. 2020, 10, 3910. https://doi.org/10.3390/app10113910
Lu Y, Zhang Q, Xue Y, Shang C, Liu W, Ren S, Long R. Hypervelocity Impact Cratering on Semi-Infinite Concrete Targets of Projectiles with Different Length to Diameter Ratios. Applied Sciences. 2020; 10(11):3910. https://doi.org/10.3390/app10113910
Chicago/Turabian StyleLu, Yangyu, Qingming Zhang, Yijiang Xue, Cheng Shang, Wenjin Liu, Siyuan Ren, and Renrong Long. 2020. "Hypervelocity Impact Cratering on Semi-Infinite Concrete Targets of Projectiles with Different Length to Diameter Ratios" Applied Sciences 10, no. 11: 3910. https://doi.org/10.3390/app10113910
APA StyleLu, Y., Zhang, Q., Xue, Y., Shang, C., Liu, W., Ren, S., & Long, R. (2020). Hypervelocity Impact Cratering on Semi-Infinite Concrete Targets of Projectiles with Different Length to Diameter Ratios. Applied Sciences, 10(11), 3910. https://doi.org/10.3390/app10113910

