Assessment of Performance Enhancement Potential of a High-Temperature Parabolic Trough Collector System Combining the Optimized IR-Reflectors
Abstract
1. Introduction
2. Models and Methodology
2.1. Characteristics of Three Kinds of IR-Reflector Coatings
2.2. Specifications of HCE and PTC System
2.3. Energetic and Exergetic Efficiency Models
3. Results and Discussions
3.1. Validation of Simulation Results
3.2. Heat Loss Reduction
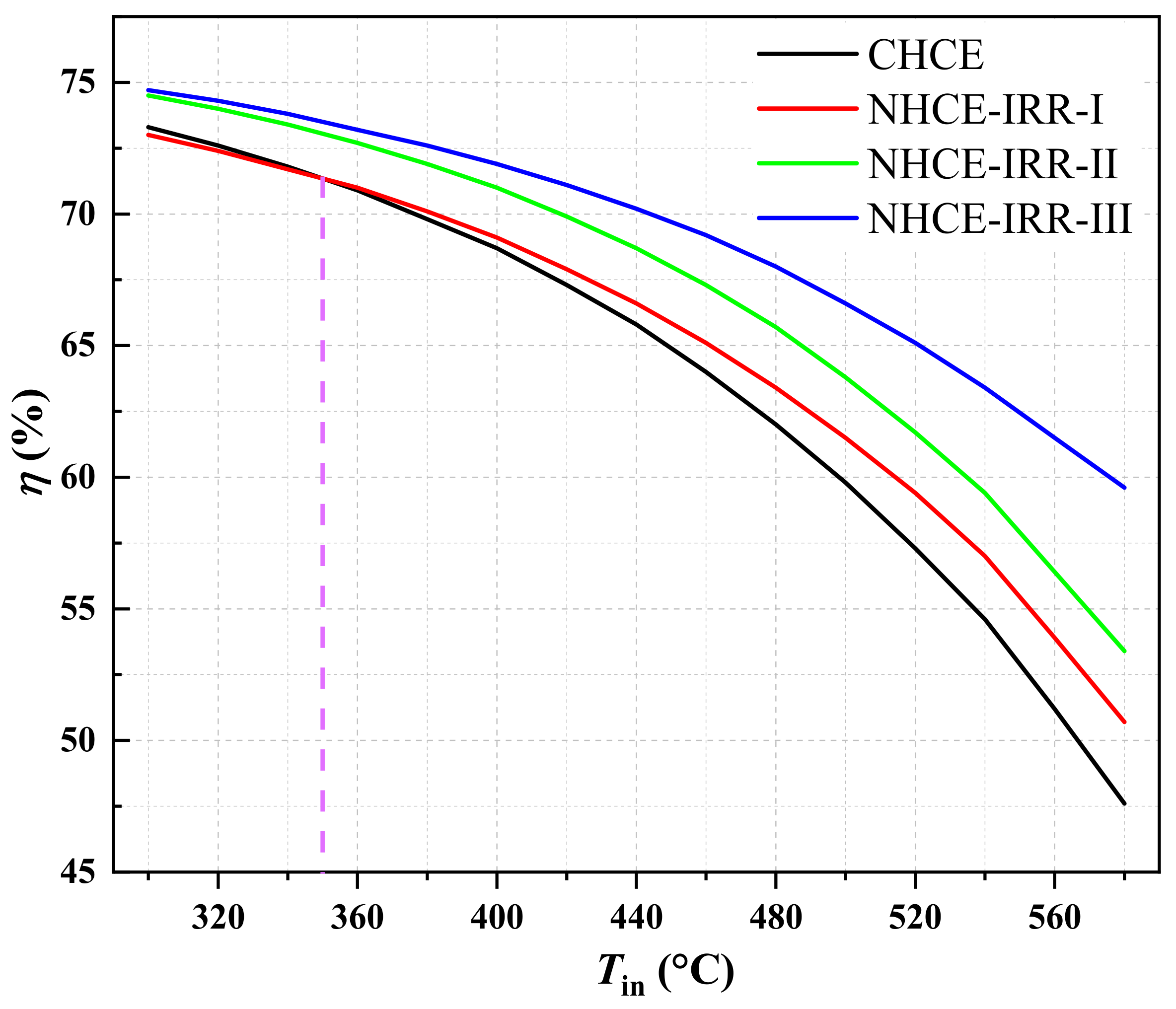
3.3. Energy and Exergy Performance of NHCEs
3.4. Parameter Analysis of Solar Irradiance (DNI)
4. Conclusions
Author Contributions
Funding
Conflicts of Interest
Nomenclature
| a | Ambient |
| c | Cutoff wavelength, μm |
| cp | Specific heat of fluid, J/(kg·K) |
| f | fluid |
| g | Glass envelope |
| h | Heat transfer coefficient, W/(m2·K) |
| m | Mass flow rate, m/s |
| s | Absorber tube |
| A | Area, m2 |
| D | Diameter, mm |
| L | Length, m |
| P | Percentage, % |
| Q | Net heat flux, W/m2 |
| T | Temperature, °C |
| W | Width, m |
Greek Symbols
| Wavelength, µm | |
| γ | Incidence angle, rad |
| η | Energetic efficiency |
| χ | Exergetic efficiency |
Abbreviation and Subscripts
| HCE | Heat collecting element |
| CHCE | Conventional HCE |
| NHCE | Novel HCE |
| HTF | Heat transfer fluid |
| PTC | Parabolic trough collector |
| CSP | Concentrated solar power |
| SSC | Solar selective absorbing coating |
| TCO | Transparent conductive oxide |
| HL | Heat loss, W/m |
| DNI | Direct normal irradiance, W/m2 |
| ap | Aperture |
| conv | Convection |
| opt | Optimal |
| in | inlet |
| out | outlet |
References
- Romero, M.; Steinfeld, A. Concentrating solar thermal power and thermochemical fuels. Energy Environ. Sci. 2012, 5, 9234–9245. [Google Scholar] [CrossRef]
- Liu, M.; Tay NH, S.; Bell, S.; Belusko, M.; Jacob, R.; Will, G.; Saman, W.; Bruno, F. Review on concentrating solar power plants and new developments in high temperature thermal energy storage technologies. Renew. Sustain. Energy Rev. 2016, 53, 1411–1432. [Google Scholar] [CrossRef]
- Fuqiang, W.; Ziming, C.; Jianyu, T.; Yuan, Y.; Yong, S.; Linhua, L. Progress in concentrated solar power technology with parabolic trough collector system: A comprehensive review. Renew. Sustain. Energy Rev. 2017, 79, 1314–1328. [Google Scholar] [CrossRef]
- Tian, Y.; Zhao, C.Y. A review of solar collectors and thermal energy storage in solar thermal applications. Appl. Energy 2013, 104, 538–553. [Google Scholar] [CrossRef]
- Zhu, G.; Wendelin, T.; Wagner, M.J.; Kutscher, C. History, current state, and future of linear Fresnel concentrating solar collectors. Sol. Energy 2014, 103, 639–652. [Google Scholar] [CrossRef]
- El Fadar, A.; Mimet, A.; Pérez-García, M. Modelling and performance study of a continuous adsorption refrigeration system driven by parabolic trough solar collector. Sol. Energy 2009, 83, 850–861. [Google Scholar] [CrossRef]
- Xiao, C.; Luo, H.; Tang, R.; Zhong, H. Solar thermal utilization in China. Renew. Energy 2004, 29, 1549–1556. [Google Scholar] [CrossRef]
- Yang, H.; Wang, Q.; Huang, Y.; Gao, G.; Feng, J.; Li, J.; Pei, G. Novel parabolic trough power system integrating direct steam generation and molten salt systems: Preliminary thermodynamic study. Energy Convers. Manag. 2019, 195, 909–926. [Google Scholar] [CrossRef]
- Wang, Q.; Li, J.; Yang, H.; Su, K.; Hu, M.; Pei, G. Performance analysis on a high-temperature solar evacuated receiver with an inner radiation shield. Energy 2017, 139, 447–458. [Google Scholar] [CrossRef]
- Zhang, Q.C. Recent progress in high-temperature solar selective coatings. Sol. Energy Mater. Sol. Cells 2000, 62, 63–74. [Google Scholar] [CrossRef]
- Bellos, E.; Tzivanidis, C.; Tsimpoukis, D. Thermal, hydraulic and exergetic evaluation of a parabolic trough collector operating with thermal oil and molten salt based nanofluids. Energy Convers. Manag. 2018, 156, 388–402. [Google Scholar] [CrossRef]
- Zhang, C.; Xu, G.; Quan, Y.; Li, H.; Song, G. Optical sensitivity analysis of geometrical deformation on the parabolic trough solar collector with Monte Carlo Ray-Trace method. Appl. Therm. Eng. 2016, 109, 130–137. [Google Scholar] [CrossRef]
- Ruegamer, T.; Kamp, H.; Kuckelkorn, T.; Schiel, W.; Weinrebe, G.; Nava, P.; Riffelmann, K.; Richert, T. Molten salt for parabolic trough applications: System simulation and scale effects. Energy Procedia 2014, 49, 1523–1532. [Google Scholar] [CrossRef]
- Maccari, A.; Bissi, D.; Casubolo, G.; Guerrini, F.; Lucatello, L.; Luna, G.; Rivaben, A.; Savoldi, E.; Tamano, S.; Zuanella, M. Archimede Solar Energy molten salt parabolic trough demo plant: A step ahead towards the new frontiers of CSP. Energy Procedia 2015, 69, 1643–1651. [Google Scholar] [CrossRef]
- Burkholder, F.; Kutscher, C. Heat Loss Testing of Schott’s 2008 PTR70 Parabolic Trough Receiver; National Renewable Energy Lab. (NREL): Golden, CO, USA, 2009. [Google Scholar]
- Kalogirou, S.A. A detailed thermal model of a parabolic trough collector receiver. Energy 2012, 48, 298–306. [Google Scholar] [CrossRef]
- Wang, Q.; Yang, H.; Zhong, S.; Huang, Y.; Hu, M.; Cao, J.; Yang, H.; Pei, G. Quantitative analyses and a novel optimization strategy on negative energy-flow region in parabolic trough solar receivers. Sol. Energy 2020, 196, 663–672. [Google Scholar] [CrossRef]
- Pfänder, M.; Lüpfert, E.; Pistor, P. Infrared temperature measurements on solar trough absorber tubes. Sol. Energy 2007, 81, 629–635. [Google Scholar] [CrossRef]
- Wang, Q.; Hu, M.; Yang, H.; Cao, J.; Li, J.; Su, Y.; Pei, G. Performance evaluation and analyses of novel parabolic trough evacuated collector tubes with spectrum-selective glass envelope. Renew. Energy 2019, 138, 793–804. [Google Scholar] [CrossRef]
- Das, R.; Ray, S. Zinc oxide—A transparent, conducting IR-reflector prepared by rf-magnetron sputtering. J. Phys. D: Appl. Phys. 2002, 36, 152. [Google Scholar] [CrossRef]
- Incropera, F.P.; Lavine, A.S.; Bergman, T.L.; DeWitt, D.P. Fundamentals of Heat and Mass Transfer; Wiley: Hoboken, NJ, USA, 2007. [Google Scholar]
- Li, X.; Zhu, Y.; Cai, W.; Borysiak, M.; Han, B.; Chen, D.; Piner, R.D.; Colombo, L.; Ruoff, R.S. Transfer of large-area graphene films for high-performance transparent conductive electrodes. Nano Lett. 2009, 9, 4359–4363. [Google Scholar] [CrossRef]
- Granqvist, C.G.; Hultåker, A. Transparent and conducting ITO films: New developments and applications. Thin Solid Film. 2002, 411, 1–5. [Google Scholar] [CrossRef]
- Valenzuela, L.; López-Martín, R.; Zarza, E. Optical and thermal performance of large-size parabolic-trough solar collectors from outdoor experiments: A test method and a case study. Energy 2014, 70, 456–464. [Google Scholar] [CrossRef]
- Wang, Q.; Hu, M.; Yang, H.; Cao, J.; Li, J.; Su, Y.; Pei, G. Energetic and exergetic analyses on structural optimized parabolic trough solar receivers in a concentrated solar–thermal collector system. Energy 2019, 171, 611–623. [Google Scholar] [CrossRef]
- Padilla, R.V.; Demirkaya, G.; Goswami, D.Y.; Stefanakos, E.; Rahman, M.M. Heat transfer analysis of parabolic trough solar receiver. Appl. Energy 2011, 88, 5097–5110. [Google Scholar] [CrossRef]
- Kara, O.; Ulgen, K.; Hepbasli, A. Exergetic assessment of direct-expansion solar-assisted heat pump systems: Review and modeling. Renew. Sustain. Energy Rev. 2008, 12, 1383–1401. [Google Scholar] [CrossRef]
- Jiang, Y. Estimation of monthly mean daily diffuse radiation in China. Appl. Energy 2009, 86, 1458–1464. [Google Scholar] [CrossRef]














| Ts (°C) | λc,opt (μm) | ||
|---|---|---|---|
| DNI = 400 W/m2 | DNI = 600 W/m2 | DNI = 800 W/m2 | |
| 200 | 2.50 | 2.50 | 2.50 |
| 240 | 2.45 | 2.45 | 2.50 |
| 280 | 2.30 | 2.40 | 2.40 |
| 320 | 1.80 | 1.81 | 2.30 |
| 360 | 1.80 | 1.80 | 1.80 |
| 400 | 1.75 | 1.80 | 1.80 |
| 440 | 1.35 | 1.70 | 1.75 |
| 480 | 1.35 | 1.35 | 1.35 |
| 520 | 1.35 | 1.35 | 1.35 |
| 560 | 1.30 | 1.35 | 1.35 |
| 600 | 1.25 | 1.30 | 1.30 |
| Parameter | Specification | Parameter | Specification |
|---|---|---|---|
| LHCE | 4.06 m | Lfocal | 1.7 m |
| Ds | 70 mm | LPTC | 72 m |
| Dg | 125 mm | Aap | 409.9 m2 |
| WPTC | 5.76 m |
© 2020 by the authors. Licensee MDPI, Basel, Switzerland. This article is an open access article distributed under the terms and conditions of the Creative Commons Attribution (CC BY) license (http://creativecommons.org/licenses/by/4.0/).
Share and Cite
Wang, Q.; Yang, H.; Pei, G.; Yang, H.; Cao, J.; Hu, M. Assessment of Performance Enhancement Potential of a High-Temperature Parabolic Trough Collector System Combining the Optimized IR-Reflectors. Appl. Sci. 2020, 10, 3744. https://doi.org/10.3390/app10113744
Wang Q, Yang H, Pei G, Yang H, Cao J, Hu M. Assessment of Performance Enhancement Potential of a High-Temperature Parabolic Trough Collector System Combining the Optimized IR-Reflectors. Applied Sciences. 2020; 10(11):3744. https://doi.org/10.3390/app10113744
Chicago/Turabian StyleWang, Qiliang, Hongxing Yang, Gang Pei, Honglun Yang, Jingyu Cao, and Mingke Hu. 2020. "Assessment of Performance Enhancement Potential of a High-Temperature Parabolic Trough Collector System Combining the Optimized IR-Reflectors" Applied Sciences 10, no. 11: 3744. https://doi.org/10.3390/app10113744
APA StyleWang, Q., Yang, H., Pei, G., Yang, H., Cao, J., & Hu, M. (2020). Assessment of Performance Enhancement Potential of a High-Temperature Parabolic Trough Collector System Combining the Optimized IR-Reflectors. Applied Sciences, 10(11), 3744. https://doi.org/10.3390/app10113744

