Next Article in Journal
Trapping Entomopathogenic Fungi from Vine Terroir Soil Samples with Insect Baits for Controlling Serious Pests
Next Article in Special Issue
Investigation of Zero Moment Point in a Partially Filled Liquid Vessel Subjected to Roll Motion
Previous Article in Journal
Development of a Lightweight Prosthetic Hand for Patients with Amputated Fingers
Previous Article in Special Issue
Characterization and Modelling of Various Sized Mountain Bike Tires and the Effects of Tire Tread Knobs and Inflation Pressure
 
 
Font Type:
Arial Georgia Verdana
Font Size:
Aa Aa Aa
Line Spacing:
Column Width:
Background:
Article

Hierarchical Synchronization Control Strategy of Active Rear Axle Independent Steering System

1
School of Automotive and Transportation Engineering, Hefei University of Technology, Hefei 230009, China
2
Center for Artificial Intelligence and Robotics, Tsinghua Shenzhen International Graduate School, Tsinghua University, Shenzhen 518055, China
*
Author to whom correspondence should be addressed.
Appl. Sci. 2020, 10(10), 3537; https://doi.org/10.3390/app10103537
Submission received: 28 April 2020 / Revised: 17 May 2020 / Accepted: 19 May 2020 / Published: 20 May 2020
(This article belongs to the Special Issue Advances in Mechanical Systems Dynamics 2020)

Abstract

The synchronization error of the left and right steering-wheel-angles and the disturbances rejection of the synchronization controller are of great significance for the active rear axle independent steering (ARIS) system under complex driving conditions and uncertain disturbances. In order to reduce synchronization error, a novel hierarchical synchronization control strategy based on virtual synchronization control and linear active disturbance rejection control (LADRC) is proposed. The upper controller adopts the virtual synchronization controller based on the dynamic model of the virtual rear axle steering mechanism to reduce the synchronization error between the rear wheel steering angles of the ARIS system; the lower controller is designed based on an LADRC algorithm to realize an accurate tracking control of the steering angle for each wheels. Experiments based on a prototype vehicle are conducted to prove that the proposed hierarchical synchronization control strategy for the ARIS system can improve the control accuracy significantly and has the properties of better disturbances rejection and stronger robustness.

1. Introduction

With the development of electronic and control technologies, the active rear-wheel steering (ARS) system for automobiles has been actively studied as an effective vehicle maneuvering technology that can enhance the handling stability of the vehicle and provide better comfort and active safety for the driver [1,2,3]. The general ARS system adopts an additional rear wheel steering gear (e.g., rack and pinion steering gear), which is basically the same as the front wheel steering gear. The electric actuator of the ARS system is widely used in electric vehicles; compared with an hydraulic actuator, it can greatly reduce the mass and complexity of the ARS system. However, the kinematic relationship between the left and right rear wheels is still fixed in traditional Ackerman geometry.
To achieve a more flexible steering control, active rear-axle independent steering (ARIS) system has drawn many attentions. The ARIS technology can be potentially applied in wheeled vehicles to realize a more intelligent and complex motion. Compared with the traditional steering trapezoid mechanism, the mechanical connection between the wheels of the rear axle is cancelled, and the flexible communication connection is replaced where each wheel is directly steered by an individual actuator motor [4]. Since each wheel of the rear axle has an independent actuator, it gets rid of the shortcomings and limitations of the traditional rack and pinion steering mechanism and further improves the dynamic performance of the vehicle. Explicitly, the ARIS system can provide the vehicle with a smaller turning radius and a more flexible driving mode. When working together with an anti-lock braking system (ABS), it can further shorten the braking distance of the vehicle on a slippery surface [5,6]. The rear axle steering system was introduced in the Porsche 911 Turbo. Two independent motors are used to control the two rear wheels, respectively, achieving more precise rear wheel steering angle control. In 2019, the company of AEV Robotics introduced a lightweight modular vehicle system (MVS), and an electric four-wheel independent steering system was installed.
The ARIS system improves the overall performance of the vehicle, but also increases the difficulty of control. Lots of literatures focus on control strategies of handling stability. In Reference [7,8,9,10,11,12], H∞ optimal control, game-based hierarchical cooperative control and receding horizon control methods were developed to enhance handling and stabilities. But few have studied steering angle tracking control.
The vehicle is affected by many uncertainties in real driving conditions and each steering wheel is subject to a complex external disturbance. Explicitly, in the process of steering motion, if there exists a large tracking control error or a serious lag of the rear wheel steering angle in the ARIS system, the Ackerman error between the rear axle steering angles will increase. In this case, the sideslip and drag may occur on the tire, which will further aggravate tire wear and the vehicle driving safety will not be guaranteed in serious cases [13]. In order to ensure vehicle stability and reduce tire wear, the steering angle between rear axle vehicles should conform to Ackermann principle. However, the Ackerman principle cannot be guaranteed by the steering mechanism because each steering wheel of the ARIS system is independent. So, it is necessary to ensure the rear wheel tracking target angle and achieve the Ackerman principle by the developed control method. In consideration of the uncertainty of the system parameters and the nonlinear characteristics of the tire [14], the controller design for ARIS system becomes more difficult. In addition, due to the complexity of vehicle driving conditions, the safety and stability of the vehicle will be significantly affected if the system fails, in which case fault diagnosis and fault-tolerant control can been considered in the controller design [15].
Therefore, to obtain a desired steering angle control performance, a robust controller with higher response speed and control accuracy is required. This is very important to the driving performance of the vehicle. In addition, not only should the steering angle tracking control be realized, but also the steering kinematics characteristics of the vehicle should be considered to ensure steering angle synchronized control of the left and right of the rear axle wheels [16]. In this paper, we define the process of realizing the steering angle between left and right rear wheels to satisfy the Ackerman principle as synchronized control. So, we mainly focus on the high-precision tracking control and synchronized control of the steering angle of the ARIS system in this paper.
In the four-wheel steering system of vehicles, the traditional control method is often used. The single wheel tracking controller is designed by decoupling multiple steering wheels through motion planning. Proportional-integral-derivative (PID) control, adaptive control, sliding mode control, fuzzy control and other methods are used in steering angle controller. The adaptive control method was used to realize the steering wheel angle tracking control in [17,18], but its prediction and estimation method for the road disturbance is based on the tire characteristics in a better linear region. Neither the nonlinearity of tires nor the uncertainty of road conditions in the actual situation are taken into account. Aiming at the nonlinearity of the steering system, sliding mode control (SMC) was adopted to realize the tracking control of the steering angle in [19,20,21], which improves the robustness of the controller. SMC can solve the nonlinearity of a control system and has strong robustness, but the chattering phenomenon at the balance point is still a problem to be overcome in practical application.
Moreover, even if the expected tracking performance of each independent steering wheel tracking controller is achieved, it cannot guarantee that the synchronization error between wheels can be reduced. A master-slave control strategy based on disturbance sliding mode control was proposed for a two motor coupled steer by wire system in [22]. However, when the slave steering wheel is disturbed by external disturbance, the master steering wheel will not respond. The master-slave control method is suitable for the system with an obvious master-slave relationship, but not for the system with a mutual coupling relationship. In Reference [23], the contour error model for the four-wheel independent steering system (4WIS) mobile robot system was established and the synchronization control was designed based on the cross coupling algorithm, which can reduce the synchronization error between wheels and improve the accuracy of the tracking trajectory. But complex sensors are needed to acquire the vehicle’s attitude and position information to calculate the trajectory error. It is not suitable for general vehicles without navigation sensors. In Reference [24], Kevin Payette proposed the concept of virtual shaft control applied to the synchronization control of a multi-axis machine. The virtual shaft control and improved electronic line-shafting are widely applied in multi-axis machine systems [25,26]. In [27], fault diagnosis and fault-tolerant control techniques were proposed for an over-actuated electric vehicle to deal with the controller reconfiguration in the presence of system faults and structured and unstructured uncertainties.
In this study, firstly, we will establish the model of the dynamics and kinematics of the ARIS system. Then, considering the coupling between wheels, a hierarchical synchronization control strategy will be designed to reduce the synchronization error between rear wheels. The upper controller adopts the virtual synchronization controller based on the dynamic model of the virtual rear wheel steering mechanism, while the lower controller is designed based on the linear active disturbance rejection control (LADRC) algorithm. The LADRC method has the advantages that it does not depend on a model and is not sensitive to parameter change and disturbance [28,29]. Finally, the control strategy proposed in this paper will be verified by a real vehicle test.
The remainder of this paper is organized as follows. In Section 2, the dynamics and kinematics of the ARIS system are constructed. In Section 3, the hierarchical synchronization control strategy for the ARIS system is investigated. The virtual synchronization controller is designed based on a dynamic model of the virtual rear wheel steering mechanism, and the steering angle tracking controller for each steering wheel is developed based on LADRC. In Section 4, the experiment results on a real vehicle with an ARIS system is presented. Finally, conclusions and future work are given in Section 5.

2. Dynamic Modeling

2.1. Dynamic Modeling of the Active Rear-Axle Independent Steering (ARIS) System

The steering mechanism of the ARIS system is realized by two electric actuators with adjustable length installed on the left and right rear wheels. A linear electric drive motor with reducer (e.g., gear reducer and screw-nut transfer) is selected as the electric actuator. In order to facilitate the establishment of the model, the steering mechanism and actuator are simplified, and the simplified dynamic model is shown in Figure 1.
Through the mechanical analysis, the plant model of each wheel can be described by
{ J 1 δ ¨ r 1 + c 1 δ ˙ r 1 + k 1 δ r 1 = F 1 b r cos δ r 1 + M f 1 + M z 1 + M w 1 J 2 δ ¨ r 2 + c 2 δ ˙ r 2 + k 2 δ r 2 = F 2 b r cos δ r 2 + M f 2 + M z 2 + M w 2
where Ji is the total moment of inertia of rotating parts; Fi is the driving force of electric actuator; Mfi is the friction moment; Mzi is the tire self-aligning torque around the kingpin; Mwi is the moment of uncertain force on the ground; ci is the equivalent damping coefficient; ki is the equivalent stiffness; br is the length from the connection point to the kingpin; δri is the rear wheel angle. In the above parameter variables, subscript i= 1,2 indicates the left and right wheels of rear axle, respectively.
According to Coulomb’s law, the friction moment produced by the rotation of the tire around the kingpin can be described as
M f i = M s f i + F z r i μ r i
where Msfi is the initial value of friction moment; Fzri is the rear wheel vertical load; and μri is the Coulomb friction coefficient. In order to ensure the straight-line driving stability of the vehicle, the rear wheel kingpin should have a certain inclination, which will generate self-aligning torque around the kingpin. According to [30], the self-aligning torque, Mzi, can be given by
M z i = ( F z i s i sin 2 γ i sin δ r i ) / 2
where γi is the kingpin inclination, and si is the horizontal distance from the tire center to the kingpin.
The moment of uncertain force on the ground, Mwi, includes the coupling force caused by the synchronization error between rear axle wheels. It is also related to vehicle speed vx and lateral acceleration ay. Explicit modeling of this moment is not possible. Instead, it can be described with implicit form as
M w i = f w i ( δ r 1 , δ r 2 , v x , a y )
It can be seen from Equations (1) to (4) that the dynamic model of the ARIS system has strong nonlinearity and uncertainty. For this system, it must rely on a robust controller with strong anti-disturbance capacity to achieve high-precision tracking performance in the presence of system uncertainties.

2.2. Kinematic Model of Rear Wheel Steering

The front axle steering mechanism of the vehicle is a type of traditional rack and pinion trapezoid steering mechanism, while the rear axle adopts the ARIS system. There is no mechanical connection between the front and rear steering axles, nor between the left and right wheels of the rear axle. In order to ensure the steering performance of the vehicle and reduce the sideslip and the wear of tires, the steering angle of each rear wheels must conform to the kinematic constraint model of the whole vehicle. Firstly, the steering angle scale factor between the front axle and the rear axle is obtained according to the vehicle dynamics model. Then, the steering angles of the left and right wheels of the rear axle are obtained according to the Ackermann steering geometry.
In order to obtain the ratio of front and rear wheel steering angle at low speed steady driving, the dynamic model of four-wheel steering vehicle is simplified as a two degree of freedom vehicle model, given by [31].
{ m v x ( β ˙ + ω ) + ( k α f + k α r ) β + b k α r a k α f v x ω = k α f δ f + k α r δ r I z ω ˙ + ( a k α f b k α r ) β + a 2 k α f + b 2 k α r v x ω = a k α f δ f b k α r δ r
where m is the mass of the vehicle body; Iz is the yaw moment of inertia of the vehicle; kαf and kαr are the cornering stiffness of the front and rear wheels; a and b are the distance from the front and rear axles to the vehicle mass center; δf is the front axle wheel angle; δr is the rear axle wheel angle; vx is the vehicle longitudinal speed; ω is the vehicle yaw rate; and β is the vehicle sideslip angle.
Active rear wheel steering can produce an active sideslip angle, which can reduce the sideslip angle of the vehicle and improve the stability of the vehicle. In a steady state, dω/dt = 0 and β = 0 are chosen as the objective functions, and the equivalent active steering target angle δr of rear wheel can be obtained by [32]
δ r = f k ( δ f , v x ) = δ f a k α f m v x 2 b ( a + b ) k α f k α r b k α r m v x 2 + a ( a + b ) k α f k α r
Figure 2 shows the kinematic model of four-wheel steering with two degrees of freedom. The dotted box in Figure 2 shows the steering angle kinematic relationship of the ARIS system. Generally, the front axle of the vehicle adopts the rack and pinion steering mechanism. In order to simplify the model, N is the reduction ratio from the driver’s steering wheel angle to the steering angle of the front axle. fk represents the ratio between front axle steering angle and rear axle steering angle. According to the Ackerman steering geometry principle [33], the ideal kinematic constraint equation of rear wheel steering is established as
{ δ f = θ s w / N tan δ r 1 = ρ tan δ r / ( ρ w / 2 ) tan δ r 2 = ρ tan δ r / ( ρ + w / 2 ) ρ = l / ( tan δ f + tan δ r )
where θsw is the driver’s steering wheel angle; l = a + b is the wheel base; w is the wheel track; ρ is the turning radius; δr1 is the left rear wheel steering angle and δr2 is the right rear wheel steering angle.
Substituting (6) into (7), the constraint equation can be obtained as
{ δ r 1 = arctan ( ρ tan δ r / ( ρ w / 2 ) ) δ r 2 = arctan ( ρ tan δ r / ( ρ + w / 2 ) )
where δ r = δ f a k α f m v x 2 b l k α f k α r b k α r m v x 2 + a l k α f k α r .

3. Hierarchical Synchronization Control Strategy Design

In order to solve the synchronization control problem of the independent rear wheel steering actuator, motivated by the virtual shaft control algorithm, a hierarchical synchronization control strategy based on the virtual rear axle steering dynamics model is proposed. The block diagram of the proposed control strategy of ARIS system is shown in Figure 3.
The upper controller in the left dotted box of Figure 3 adopts the virtual synchronization controller to reduce the synchronization error between rear wheels. The upper controller consists of three parts. Firstly, according to the vehicle dynamics, the reference steering angle of the rear wheel is obtained, which is shown in Equation (6). Then, the dynamic model of the virtual rear axle steering mechanism (VRSM) including the synchronization control force and the external disturbance force is established, which is shown in Equation (9). Finally, the target tracking steering angles of the left and right rear axle wheels, δr1 and δr2, are redistributed according to the Ackermann kinematic model, which is shown in Equation (12).
Considering the nonlinearity, uncertainty and external disturbance of the ARIS system, the lower controller adopts the LADRC controller to realize each steering wheel angle tracking control. The disturbance inside and outside the ARIS system is observed by the linear extended state observer (LESO) in the LADRC controller and can be compensated to the designed lower controller to reduce the influence of external disturbances on the control system.

3.1. Virtual Synchronization Controller

The dotted box in Figure 4 represents the established VRSM, which adopts the concept of a traditional rack and pinion steering gear. Considering system stiffness and damping, the dynamic model of VRSM can be described as Equation (9) according to Newton’s law.
m r x ¨ r + c r x ˙ r + k r x r = F r F r 1 F r 2
where mr is the equivalent mass of the rack; xr is the translational displacement of the rack; kr and cr are the equivalent stiffness coefficient and damping coefficient respectively; Fr is the virtual synchronization driving force of the steering rack; and Fr1 and Fr2 are the forces fed back to the steering gear by the rear wheels on both sides.
In order to realize steering angle synchronization control, Proportional-differential (PD) feedback control law is introduced by
F r = k r p e s + k r d e ˙ s = k r p ( δ r δ r * ) + k r d ( δ ˙ r δ ˙ r * )
where es is defined as the synchronization error; krp and krd are the proportional coefficient and differential coefficient respectively; and δ r * is the equivalent rear axle steering angle derived from the measured rear left and right wheel steering angle. When only the relationship between the steering angles of the rear wheels is considered, according to the Ackerman principle, δ r * can be inversely solved by
δ r * = arctan 2 tan δ r 1 * tan δ r 2 * tan δ r 1 * + tan δ r 2 *
where δ r 1 * and δ r 2 * represent the measured wheel steering angle, respectively.
xr / gr can be taken as virtual rear axle steering angle after synchronization controller. gr is the radius of the virtual steering pinion gear. Referring to Equation (8), the output reference angle of VRSM can be obtained as
{ δ r 1 = arctan ( ρ ρ w / 2 tan x r g r ) δ r 2 = arctan ( ρ ρ + w / 2 tan x r g r )
In the proposed strategy, δr is not directly calculated to get the reference angle signal of each rear wheel, but after the synchronization controller. In the presence of external interference, the forces Fr1 and Fr2 are fed back to the steering rack, then the VRSM senses the external disturbance and immediately adjusts the reference steering angle of the left and right rear wheels to realize instantaneous synchronization control.

3.2. Steering Angle Tracking Controller

LADRC is a control method for estimating and compensating uncertainties. The LADRC method takes the internal disturbance caused by the model parameter perturbation of the system together with the external disturbance of the system as the total disturbance of the system. It is observed by LESO and compensated to the controller. It is a kind of control method which is not completely dependent on the system model. It is suitable for angle tracking control of an ARIS system with uncertainty and nonlinearity.
It can be seen from Equation (1) that the plant is a nonlinear coupled dynamic model. Firstly, the terms in the model are written in the form of equivalent total disturbance except for the second-order term and the control input term in the model. Then, the plant is decoupled into the second-order single input single output plant. Furthermore, the total disturbance is considered as an extended new state, which is estimated by LESO in real time. Finally, the observation disturbance is compensated to the linear feedback control law and the final control output is obtained. Because the left and right wheels are decoupled by the LADRC control method, the steering angle tracking controller can be designed separately. In the framework of LADRC, Equation (1) can be rewritten as
δ ¨ r i = b 0 i u i + f i
where b 0 i = b r / J i , f i = ( M f i + M z i + M w i c i δ ˙ r i k i δ r i ) / J i , u i = F i cos δ r i , and i = 1,2.
The total disturbance term fi in the model can be defined as an extended state, and the system state vector can be defined as
x = [ x 1 x 2 x 3 x 4 x 5 x 6 ] T = [ δ r 1 δ ˙ r 1 f 1 δ r 2 δ ˙ r 2 f 2 ] T
Equation (13) can be written in the form of state space equation, given by
{ x ˙ = A x + B u + E f ˙ y = C x
where y is the system output, u = [ u 1 u 2 ] is the control input, f = [ f 1 f 2 ] , A = [ A 1 0 0 A 2 ] , B = [ B 1 0 0 B 2 ] , C = [ C 1 0 0 C 2 ] , E = [ E 1 0 0 E 2 ] are the coefficient matrix with A i = [ 0 1 0 0 0 1 0 0 0 ] , B i = [ 0 b 0 i 0 ] , C i = [ 1 0 0 ] T , E i = [ 0 0 1 ] , i = 1 , 2 .
Define z = [ z 1 z 2 z 3 z 4 z 5 z 6 ] T as the observed state of system. According to the theory of state observer, LESO can be designed as follows
z ˙ = A z + B u + L ( y C z ) = ( A L C ) z + B u + L y
where L6×2 = [L1 L2]T is the gain matrix of the observer, L1 = L2 = [β1 β2 β3]T. Assuming that the total disturbance f is bounded, and an appropriate observer gain L can be selected to make A-LC asymptotically stable, then state x can be estimated. To simplify parameter tuning process, L1 and L2 are set to [3ωo 3ωo2 ωo3]T by the method of pole configuration. ωo is called the observer bandwidth.
By introducing the estimated disturbance state z3, the controlled system is compensated as a linear integral series system. The proportional-differential (PD) form is selected for the linear state error feedback control law, given by
{ u 01 = k p ( δ r 1 z 1 ) k d z 2 u 1 = ( u 01 z 3 ) / b 01 F r 1 = u 1 / cos z 1
{ u 02 = k p ( δ r 2 z 4 ) k d z 5 u 2 = ( u 02 z 6 ) / b 02 F r 2 = u 2 / cos z 4
where δr1 and δr2 are the given reference signal; u01 and u02 are the ideal control output; and kp and kd are the gain coefficients of the feedback control law. According to [28], the parameters of kp and kd can be selected by
k p = ω c 2 ,   k d = 2 ω c
where ωc is the controller bandwidth.
The control block diagram of linear active disturbance rejection control (LADRC) tracking controller for ARIS system is shown in Figure 5. The stability of LADRC was analyzed and proved in detail in [34]. The upper controller adopts the PD feedback control law in order to realize steering angle synchronization control. It can be seen from Equation (10) that when the synchronization error es converges to 0, the equivalent rear axle steering angle δ r * will converge to the target angle of the rear axle wheel δr. It can be seen from Equations (17) and (18) that under the control of Fr1 and Fr2 of the lower controller, δ r 1 * and δ r 2 * converge to δr1 and δr2, respectively. Therefore, ARIS system can achieve stability. The proposed control strategy above has the following advantages. (1) The lower controller output signals, including the external disturbance of both side wheels, are fed back to the upper controller and interact on the dynamic model of VRSM together. It reduces the synchronization error caused by the unilateral disturbance. (2) The LESO in the lower controller can not only observe the external disturbance, but also reconstruct the steering wheel angle and angular velocity. (3) The feedback control law uses the estimated states as the input to avoid the output oscillation of the controller in case of directly using the measurement value of the sensor with noise, especially in a differential term.

4. Experiments and Analysis

To demonstrate the proposed control strategy for the ARIS system, experiments were carried out on a real prototype vehicle shown in Figure 6. The suspension of vehicle was the double wishbone independent suspension. The power system of vehicle adopted four-in-wheel motor independent drive. The ARIS system was implemented in the prototype vehicle rear axle steering system, and the steering angle of each rear axle wheel was obtained and controlled by the real-time working stroke of the steering actuator. Each wheel steering angle could be indirectly measured by a magnetic encoder installed at the end of the actuator. The magnetic encoder was AS5047P with 12-bit resolution. Considering the measurement noise and the steering mechanical chain, the final actual resolution of steering angle was about 0.02deg. The main parameters of the prototype vehicle and AIRS system are shown in Table 1.
The model-based design (MBD) method was adopted to implement the proposed control strategy. The control strategy was modeled in a MATLAB/Simulink software (R2016b, Mathworks, Natick, Mass, USA) environment. The executable C code was generated by the automatic code generation technology, and then compiled and flashed into the embedded microprocessor. The microprocessor adopts stm32f407 (STMicroelectronics, Geneva, CH) based on Cortex-M4 Kernel. The PWM modulation frequency for the Metal Oxide Semiconductor Field Effect Transistor (MOSFET) of actuator motor was set to 20 kHz and the sampling frequency was 200 Hz. Figure 7 shows the control structure in the experiments.

4.1. Static Steering Test

In order to test the steering angle tracking performance under the proposed control strategy, the static experiment was studied for the ARIS system in three cases. The prototype vehicle mass was 95 kg. The reference steering angle is a sinusoidal sweep signal with a time-varying amplitude and frequency.
Case 1: The master-slave method (MS) [16] was adopted for the synchronization controller, while the PID method was adopted for the tracking controller. Case 2: The MS method was adopted for the synchronization controller, while the LADRC method was adopted for the tracking controller. Case 3: The VRSM method was adopted for the synchronization controller, while the LADRC method was adopted for the tracking controller.
In order to evaluate the effectiveness of the proposed hierarchical synchronization control strategy, the root mean square error (RSME) was defined to examine control performance as follows.
R S M E t = 1 2 n k = 1 n ( | e t 1 ( k ) | 2 + | e t 2 ( k ) | 2 )
R S M E s = 1 n k = 1 n | e s ( k ) | 2
where RSMEt is the root mean square error of left and right steering wheel angle tracking error; e t i ( k ) = δ r i ( k ) δ r i * ( k ) , i = 1 , 2 ; RSMEs is the root mean square error of the synchronization error; RSMEc is defined to evaluate comprehensive performance; λ is the weight coefficient. Synchronization error is more important than tracking error for tire wear, so we assign λ = 0.6.
R S M E c = ( 1 λ ) R S M E t + λ R S M E s
First of all, case 1 (Figure 8 and Figure 9) and case 2 (Figure 10 and Figure 11) are compared. Figure 8 and Figure 10 show the rear wheel steering angle tracking profiles and errors under case 1 and case 2, respectively. Although the tracking errors of both controllers increase as the frequency of the steering angle command grows. Specifically, comparing Figure 8b,d with Figure 10b,d, it can be seen that the maximum tracking error of PID increases to 0.665 deg, which is much larger compared to that of LADRC (0.485 deg) and the peak error occurs when the steering direction changes.
Case 1 and case 2 do not adopt the synchronization control strategy, and the synchronization errors are shown in Figure 9 and Figure 11, respectively. The synchronization error is reduced in case 2 compared with case 1 under static and basically undisturbed conditions. This is because the tracking angle accuracy of LADRC method is improved.
Compared with case 1 and case 2, we can conclude that at either large amplitudes or high frequencies, the control accuracy of LADRC is better than that of PID, with lower tracking error and synchronization error. It is because that LESO in LADRC can observe the external interference and compensate it to the control law.
An obvious problem can be observed in both Figure 9 and Figure 11, that the synchronization error between the left and right wheel steering angle is not controlled and reduced well in both case 1 and case 2. This is because the adopted MS control strategy does not consider the interaction between rear wheels and external uncertainty disturbance. In particular, the error can reach 0.665 deg at the moment of the steering direction changes in case 1.
Then, by comparing the results shown in Figure 10 and Figure 12, it can be seen that the tracking performance in case 3 is basically the same as in case 2, since the same lower control method (LADRC) is used. By comparing the results in Figure 11 and Figure 13, it can be seen that case 3, which adopts the hierarchical synchronization control strategy proposed in this paper, has better synchronization control accuracy. The maximum synchronization error angle is less than 0.186 deg.
Table 2 is the root mean square comparison table under three cases according to Equations (20)–(22). In order to show the differences more intuitively, Table 2 is drawn into a histogram in Figure 14. From Figure 14, we can get the following conclusion: (1) comparing case 1 and case 2, it can be seen that in the case of without hierarchical synchronization control strategy, the synchronization error can be reduced to a certain extent by improving the tracking control accuracy. However, it is still unable to achieve a better suppression effect on the external uncertain disturbance; (2) comparing case 2 and case 3, on the basis of the LADRC tracking angle controller, the hierarchical synchronization control strategy based on the dynamic model of the virtual rear axle steering mechanism is introduced to further reduce the synchronization error of ARIS system, and slightly reduce the tracking error at the same time.

4.2. Dynamic Steering Test

The driving condition of double lane change (DLC) is used to test the proposed strategy performance of the ARIS system under a dynamic uncertain environment. The mass of vehicle is 95 kg. The vehicle speed is 12 km/h. Figure 15 shows the steering reference angle of the rear axle wheel under the DLC condition. L2 represents the left rear wheel and R2 represents the right rear wheel. Figure 16 shows the driving status of the vehicle. In order to compare and analyze the control performance, the vehicle is tested under the condition of with and without synchronization control.
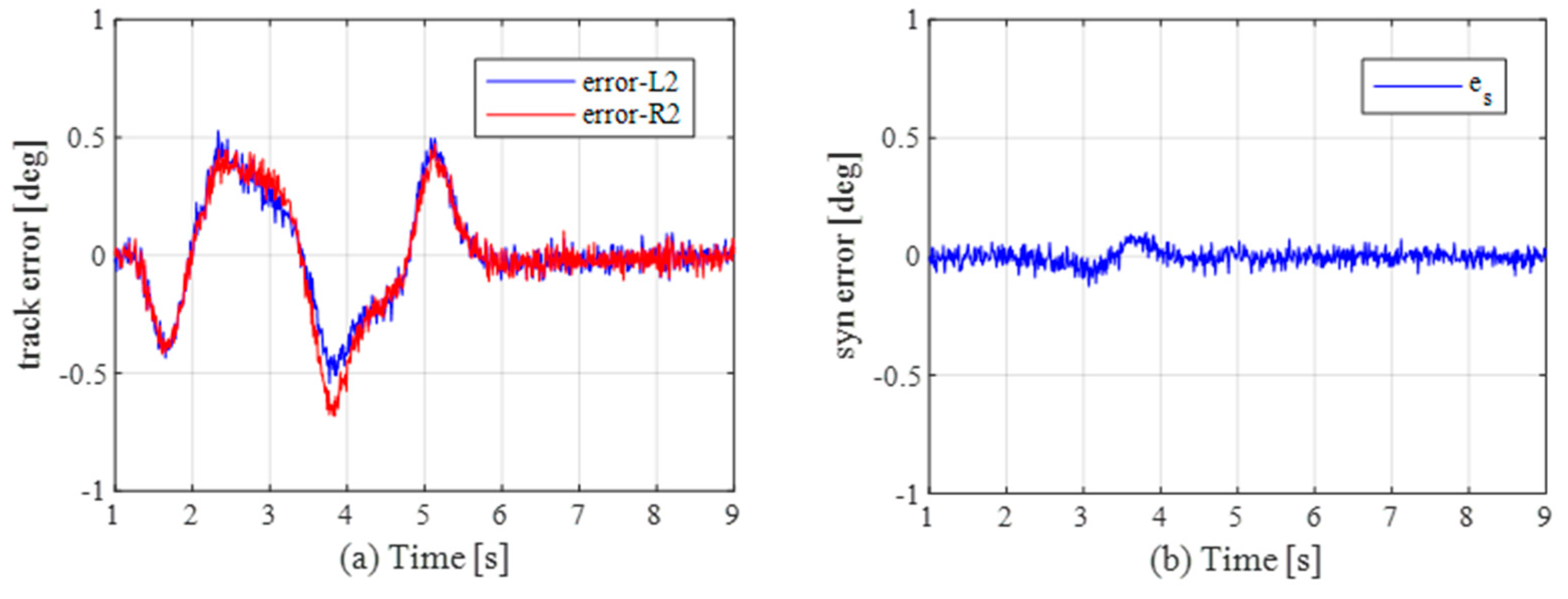
Figure 16 shows that in 3.4s, the lateral acceleration and yaw rate reach the maximum value. In the case of no synchronization control, the external uncertain disturbance caused by the lateral acceleration will further increase the steering tracking error and synchronization error of the left and right wheels. As shown in Figure 17, the maximum synchronization error reaches 0.45deg. It can be seen from Figure 18 that the synchronization error is significantly reduced and the maximum synchronization error is less than 0.15deg with the hierarchical synchronization control strategy. This is because the disturbance on either side of the left and right wheels will be fed back to the dynamic model of VRSM. As a result, the left and right rear wheels are subject to the same level of total disturbance in the virtual model, which further makes the tracking controller show the same tracking error characteristics. Therefore, the synchronization error is reduced.
The above experiments prove that the control strategy proposed in this paper can significantly reduce synchronization error under uncertain disturbance condition and is superior with the properties of disturbance rejection and robustness.

5. Conclusions

In this paper, a hierarchical synchronization control strategy is proposed to solve the problem of steering angle control for the ARIS system. The proposed control strategy contains two levels. In the upper controller, VRSM is constructed to reduce the synchronization error caused by the inconsistent disturbance of the left and right wheels. The external disturbance of the left and right wheels is fed back to the dynamic model of VRSM, which makes the left and right wheels suffer the same disturbance in the virtual model. In the VRSM, a PD control element is also introduced to further reduce the synchronization error. The lower controller is designed to track the steering angle of each wheels by using an LADRC, where the uncertainties and external disturbance of each single wheel steering system are observed and compensated by the proposed LESO. The experimental results on the prototype vehicle show that the hierarchical synchronization control strategy for ARIS systems realizes a significant reduction in the steering angle tracking error and synchronization error compared with the non-synchronization control strategies under external uncertain disturbance.

Author Contributions

Conceptualization, B.D.; Data curation, B.D. and K.S.; Formal analysis, W.L.; Funding acquisition, H.Z.; Investigation, B.D.; Project administration, H.Z. and A.Y.; Resources, A.Y.; Supervision, H.Z.; Validation, B.D. and K.S.; Writing – original draft, B.D. and W.L.; Writing – review & editing, K.S. and W.L. All authors have read and agreed to the published version of the manuscript.

Funding

This research was supported by the Fundamental Research Funds for the Central University of China (Grant No. PA2019GDZC0101).

Conflicts of Interest

The authors declare no conflict of interest.

Nomenclature

JiTotal moment of inertia of rotating parts.
FiDriving force of electric actuator.
MfiFriction moment.
MziTire self-aligning torque around the kingpin.
MwiMoment of uncertain force on the ground.
ciEquivalent damping coefficient.
kiEquivalent stiffness.
brLength from the connection point to the kingpin.
δriRear wheel steering angle.
MsfiInitial value of friction moment.
FzriRear wheel vertical load.
μriCoulomb friction coefficient.
γiKingpin inclination.
siHorizontal distance from the tire center to the kingpin.
mMass of the vehicle body.
IzYaw moment of inertia of the vehicle.
kαfCornering stiffness of front wheels.
kαrCornering stiffness of rear wheels.
aDistance from the front axles to the vehicle mass center.
bDistance from the rear axles to the vehicle mass center.
δfFront axle wheel angle.
δrRear axle wheel angle.
vxVehicle longitudinal speed.
ay.Vehicle lateral acceleration.
ωVehicle yaw rate.
βVehicle sideslip angle.
NReduction ratio.
fkRatio between front axle steering angle and rear axle steering angle.
θswDriver’s steering wheel angle.
lWheel base.
wWheel track.
ρTurning radius.
δr1Left rear wheel steering angle.
δr2Right rear wheel steering angle.
mrEquivalent mass of the rack.
xrTranslational displacement of the rack.
grRadius of the virtual steering pinion gear.
krEquivalent stiffness coefficient.
crEquivalent damping coefficient.
FriForces fed back to the steering gear by the rear wheels on both sides.
FrVirtual synchronization driving force of the steering rack.
esSynchronization error.
etSteering wheel tracking error.
krpProportional coefficient.
krdDifferential coefficient.
δ r * Equivalent rear axle steering angle.
δ r 1 * , δ r 2 * Measured rear wheel steering angles.
δr1, δr2Given reference signal.
u01, u02Ideal control output.
kp, kdGain coefficients of the feedback control law.
ωcController bandwidth.
ωoObserver bandwidth.
λWeight coefficient.

References

  1. Bredthauer, L.; Lynch, D. Use of Active Rear Steering to Achieve Desired Vehicle Transient Lateral Dynamics. In SAE Technical Paper Series; SAE: Warrendale, PA, USA, 2018; Available online: https://www.sae.org/publications/technical-papers/content/2018-01-0565/ (accessed on 3 April 2018).
  2. Volker, M.; Stadie, W. Electrohydraulic rear axle steering systems for agricultural vehicles. ATZ Worldw. 2017, 10, 22–27. [Google Scholar] [CrossRef]
  3. Li, B.; Rakheja, S.; Feng, Y. Enhancement of vehicle stability through integration of direct yaw moment and active rear steering. Proc. Inst. Mech. Eng. Part D: J. Automob. Eng. 2016, 230, 830–840. [Google Scholar] [CrossRef]
  4. Jo, H.Y.; Lee, U.K.; Kam, M.S. Development of the independent-type steer-by-wire system using HILS. Int. J. Automot. Technol. 2006, 7, 321–327. [Google Scholar]
  5. Nagai, M.; Yamanaka, S.; Hirano, Y. Integrated control of active rear wheel steering and yaw moment control using braking forces. Trans. Jpn. Soc. Mech. Eng. 1999, 42, 301–308. [Google Scholar] [CrossRef]
  6. Salman, M.; Zhang, Z.; Boustany, N. Coordinated Control of Four Wheel Braking and Rear Steering. In Proceedings of the 1992 American Control Conference, Chicago, IL, USA, 24–26 June 1992; IEEE: Piscataway, NJ, USA, 1992; pp. 6–10. [Google Scholar]
  7. Guo, H.; Hao, N.; Chen, H. Lateral stability controller design for electrical vehicle based on active rear wheel steering. In Proceedings of the World Congress on Intelligent Control and Automation WCICA 2016, Changsha, China, 4–8 July 2018; pp. 1285–1290. [Google Scholar]
  8. Shen, H.; Huang, M.; Tan, Y. Active Rear Wheel Steering Control Strategy Research Based on H∞ Optimal Control. J. Comput. Theor. Nanosci. 2016, 13, 2043–2048. [Google Scholar] [CrossRef]
  9. Harada, H. Control strategy of active rear wheel steering in consideration of system delay and dead times. JSAE Rev. 2004, 16, 171–177. [Google Scholar] [CrossRef]
  10. Zhao, L.; Lu, S.; Zhang, B. Game-Based Hierarchical Cooperative Control for Electric Vehicle Lateral Stability via Active Four-Wheel Steering and Direct Yaw-Moment Control. Energies 2019, 12, 3339. [Google Scholar] [CrossRef]
  11. Zardin, B.; Borghi, M.; Gherardini, F.; Zanasi, N. Modelling and Simulation of a Hydrostatic Steering System for Agricultural Tractors. Energies 2018, 11, 230. [Google Scholar] [CrossRef]
  12. Feng, J.; Bao, C.; Wu, J. Research on methods of active steering control based on receding horizon control. Energies 2018, 11, 2243. [Google Scholar] [CrossRef]
  13. Chen, X.; Xu, N.; Guo, K. Tire wear estimation based on nonlinear lateral dynamic of multi-axle steering vehicle. Int. J. Automot. Technol. 2018, 19, 63–75. [Google Scholar] [CrossRef]
  14. Wang, Y.; Gao, X.; Zhang, X. Static steering resisting moment of tire for heavy multi-axle steering vehicle. Trans. Chin. Soc. Agric. Eng. 2010, 26, 146–150. [Google Scholar]
  15. Kamel, M.A.; Yu, X.; Zhang, Y.M. Formation control and coordination of multiple unmanned ground vehicles in normal and faulty situations: A review. Annu. Rev. Control 2020. [CrossRef]
  16. Zong, C.F.; Sun, H.; Chen, G.Y. Steering angle allocation method for distributed independent steering vehicles. J. South China Univ. Technol. 2017, 45, 16–22. [Google Scholar]
  17. Yamaguchi, Y.; Murakami, T. Adaptive Control for Virtual Steering Characteristics on Electric Vehicle Using Steer-by-Wire System. IEEE Trans. Ind. Electron. 2009, 56, 1585–1594. [Google Scholar] [CrossRef]
  18. Zhang, R.Z.; Xiong, L.; Yu, Z.P. Active control of steering angle of smart car steering wheel. J. Mech. Eng. 2017, 53, 106–113. [Google Scholar] [CrossRef]
  19. Wang, H.; Man, Z.; Kong, H. Terminal sliding mode control for steer-by-wire system in electric vehicles. In Proceedings of the 2012 7th IEEE Conference on Industrial Electronics and Applications (ICIEA), Singapore, 18–20 July 2012; IEEE: Piscataway, NJ, USA, 2012; pp. 919–924. [Google Scholar]
  20. Wang, H.; Kong, H.; Man, Z. Sliding Mode Control for Steer-by-Wire Systems with AC Motors in Road Vehicles. IEEE Trans. Ind. Electron. 2013, 61, 1596–1611. [Google Scholar] [CrossRef]
  21. Do, M.T.; Man, Z.; Zhang, C. Robust Sliding Mode-Based Learning Control for Steer-by-Wire Systems in Modern Vehicles. IEEE Trans. Veh. Technol. 2014, 63, 580–590. [Google Scholar] [CrossRef]
  22. Li, Y.; Yang, L.; Yang, G. Network-Based Coordinated Motion Control of Large-Scale Transportation Vehicles. IEEE/ASME Trans. Mechatron. 2007, 12, 208–215. [Google Scholar] [CrossRef]
  23. Ye, Y.; He, L.; Zhang, Q. Steering control strategies for a four-wheel-independent-steering bin managing robot. IFAC PapersOnLine 2016, 49, 39–44. [Google Scholar] [CrossRef]
  24. Payette, K. The virtual shaft control algorithm for synchronized motion control. In Proceedings of the 1998 American Control Conference. ACC; IEEE: Piscataway, NJ, USA, 1998; Volume 5, pp. 3008–3012. [Google Scholar]
  25. Zhang, C.F.; Xiao, Y.Y.; Wen, L.; He, J. Study on Control Strategy of Sliding Mode Variable Structure-based Electronic Virtual Line Shafting. In Proceedings of the Intelligent System Design and Engineering Applications (ISDEA), 2013 Third International Conference; IEEE Computer Society: Piscataway, NJ, USA, 2013; pp. 1326–1329. [Google Scholar]
  26. Wolf, C.M.; Lorenz, R.D.; Valenzuela, M.A. Digital implementation issues of electronic line shafting. IEEE Trans. Ind. Appl. 2010, 46, 750–760. [Google Scholar] [CrossRef]
  27. Djeziri, M.A.; Merzouki, R.; Bouamama, B.O. Fault Diagnosis and Fault-Tolerant Control of an Electric Vehicle Overactuated. IEEE Trans. Veh. Technol. 2013, 62, 986–994. [Google Scholar] [CrossRef]
  28. Gao, Z. Active Disturbance Rejection Control: A paradigm shift in feedback control system design. Am. Control Conf. 2006, 7. [Google Scholar]
  29. Miklosovic, R.; Radke, A.; Gao, Z. Discrete implementation and generalization of the extended state observer. In Proceedings of the American Control Conference; IEEE: Piscataway, NJ, USA, 2006; p. 6. [Google Scholar]
  30. Yunchao, W.; Feng, P.; Pang, W.; Zhou, M. Pivot steering resistance torque based on tire torsion deformation. J. Terramechanics 2014, 52, 47–55. [Google Scholar] [CrossRef]
  31. He, H.; Peng, J.; Xiong, R.; Fan, H. An acceleration slip regulation strategy for four-wheel drive electric vehicles based on sliding mode control. Energies 2014, 7, 3748–3763. [Google Scholar] [CrossRef]
  32. Feng, K.T.; Tan, H.S.; Tomizuka, M. Automatic steering control of vehicle lateral motion with the effect of roll dynamics. In Proceedings of the American Control Conference, Philadelphia, PA, USA, 26–26 June 1998; Volume 4, pp. 2248–2252. [Google Scholar]
  33. Choi, M.W.; Park, J.S.; Lee, B.S.; Lee, M.H. The performance of independent wheels steering vehicle (4WS) applied Ackerman geometry. In Proceedings of the 2008 International Conference on Control, Automation and Systems; IEEE: Piscataway, NJ, USA, 2008; pp. 197–202. [Google Scholar]
  34. Carlos, A.I.; Hebertt, S.R.; José, A.A. Stability of active disturbance rejection control for uncertain systems: A Lyapunov perspective. Int. J. Robust Nonlinear Control 2017, 27, 4541–4553. [Google Scholar]
Figure 1. The dynamic model of active rear axle independent steering mechanism.
Figure 1. The dynamic model of active rear axle independent steering mechanism.
Applsci 10 03537 g001
Figure 2. The kinematic model of four wheel steering with two degrees of freedom.
Figure 2. The kinematic model of four wheel steering with two degrees of freedom.
Applsci 10 03537 g002
Figure 3. The hierarchical synchronization control strategy of active rear axle independent steering (ARIS) system.
Figure 3. The hierarchical synchronization control strategy of active rear axle independent steering (ARIS) system.
Applsci 10 03537 g003
Figure 4. The virtual rack and pinion steering gear model of the rear axle.
Figure 4. The virtual rack and pinion steering gear model of the rear axle.
Applsci 10 03537 g004
Figure 5. The block diagram of linear active disturbance rejection control (LADRC) tracking controller for ARIS system.
Figure 5. The block diagram of linear active disturbance rejection control (LADRC) tracking controller for ARIS system.
Applsci 10 03537 g005
Figure 6. (a) The prototype vehicle with the ARIS system; (b) the structure of the ARIS system.
Figure 6. (a) The prototype vehicle with the ARIS system; (b) the structure of the ARIS system.
Applsci 10 03537 g006
Figure 7. The control structure of the experiment.
Figure 7. The control structure of the experiment.
Applsci 10 03537 g007
Figure 8. The steering angle of rear axle wheel profiles and tracking errors in case 1. L2 and R2 are marked as the left rear wheel and right rear wheel, respectively. (a) The steering angle of left rear wheel profiles; (b) the tracking error of left rear wheel profiles; (c) the steering angle of right rear wheel profiles; (d) the tracking error of right rear wheel profiles.
Figure 8. The steering angle of rear axle wheel profiles and tracking errors in case 1. L2 and R2 are marked as the left rear wheel and right rear wheel, respectively. (a) The steering angle of left rear wheel profiles; (b) the tracking error of left rear wheel profiles; (c) the steering angle of right rear wheel profiles; (d) the tracking error of right rear wheel profiles.
Applsci 10 03537 g008
Figure 9. The synchronization errors between left and right wheels in case 1.
Figure 9. The synchronization errors between left and right wheels in case 1.
Applsci 10 03537 g009
Figure 10. The steering angle of rear axle wheel profiles and tracking errors in case 2. (a) The steering angle of left rear wheel profiles; (b) the tracking error of left rear wheel profiles; (c) the steering angle of right rear wheel profiles; (d) the tracking error of right rear wheel profiles.
Figure 10. The steering angle of rear axle wheel profiles and tracking errors in case 2. (a) The steering angle of left rear wheel profiles; (b) the tracking error of left rear wheel profiles; (c) the steering angle of right rear wheel profiles; (d) the tracking error of right rear wheel profiles.
Applsci 10 03537 g010
Figure 11. The synchronization errors between left and right wheels in case 2.
Figure 11. The synchronization errors between left and right wheels in case 2.
Applsci 10 03537 g011
Figure 12. The steering angle of rear axle wheel profiles and tracking errors in case 3. (a) The steering angle of left rear wheel profiles; (b) the tracking error of left rear wheel profiles; (c) the steering angle of right rear wheel profiles; (d) the tracking error of right rear wheel profiles.
Figure 12. The steering angle of rear axle wheel profiles and tracking errors in case 3. (a) The steering angle of left rear wheel profiles; (b) the tracking error of left rear wheel profiles; (c) the steering angle of right rear wheel profiles; (d) the tracking error of right rear wheel profiles.
Applsci 10 03537 g012
Figure 13. The synchronization errors between left and right wheels in case 3.
Figure 13. The synchronization errors between left and right wheels in case 3.
Applsci 10 03537 g013
Figure 14. The control performance comparison of three cases.
Figure 14. The control performance comparison of three cases.
Applsci 10 03537 g014
Figure 15. The rear axle wheels steering reference angle of the ARIS system under the condition of double lane change (DLC).
Figure 15. The rear axle wheels steering reference angle of the ARIS system under the condition of double lane change (DLC).
Applsci 10 03537 g015
Figure 16. The vehicle state under the condition of DLC. (a) The lateral acceleration of the vehicle; (b) the yaw rate of the vehicle.
Figure 16. The vehicle state under the condition of DLC. (a) The lateral acceleration of the vehicle; (b) the yaw rate of the vehicle.
Applsci 10 03537 g016
Figure 17. The tracking error and the synchronization errors without the proposed control strategy. (a) The tracking error of the rear wheels; (b) the synchronization error of the rear wheels.
Figure 17. The tracking error and the synchronization errors without the proposed control strategy. (a) The tracking error of the rear wheels; (b) the synchronization error of the rear wheels.
Applsci 10 03537 g017
Figure 18. The tracking error and the synchronization errors with the proposed control strategy. (a) The tracking error of the rear wheels; (b) the synchronization error of the rear wheels.
Figure 18. The tracking error and the synchronization errors with the proposed control strategy. (a) The tracking error of the rear wheels; (b) the synchronization error of the rear wheels.
Applsci 10 03537 g018
Table 1. Parameters of the prototype vehicle and ARIS system.
Table 1. Parameters of the prototype vehicle and ARIS system.
ParametersValueParametersValue
m95 kgbr0.16 m
a0.65 mgr0.03 m
b0.7 mcr120 N/deg/s
w1.2 mkr460 N/deg
N10mr12 kg
J1, J21.37 kg.m2ωo80 Hz
kr1, kr22.2 Nm/degωc20 Hz
cr1, cr24.2 Nm/deg/s
Table 2. Control performance in three cases.
Table 2. Control performance in three cases.
Evaluation IndexCase 1Case 2Case 3
max et [deg]0.665 0.4850.483
mean absolute et [deg]0.2020.1370.136
max es [deg]0.5140.2100.186
mean absolute et [deg]0.1490.0540.039
RSMEt0.2490.1870.166
RSMEs0.1940.0950.049
RSMEc0.2160.1060.096

Share and Cite

MDPI and ACS Style

Deng, B.; Zhao, H.; Shao, K.; Li, W.; Yin, A. Hierarchical Synchronization Control Strategy of Active Rear Axle Independent Steering System. Appl. Sci. 2020, 10, 3537. https://doi.org/10.3390/app10103537

AMA Style

Deng B, Zhao H, Shao K, Li W, Yin A. Hierarchical Synchronization Control Strategy of Active Rear Axle Independent Steering System. Applied Sciences. 2020; 10(10):3537. https://doi.org/10.3390/app10103537

Chicago/Turabian Style

Deng, Bin, Han Zhao, Ke Shao, Weihan Li, and Andong Yin. 2020. "Hierarchical Synchronization Control Strategy of Active Rear Axle Independent Steering System" Applied Sciences 10, no. 10: 3537. https://doi.org/10.3390/app10103537

APA Style

Deng, B., Zhao, H., Shao, K., Li, W., & Yin, A. (2020). Hierarchical Synchronization Control Strategy of Active Rear Axle Independent Steering System. Applied Sciences, 10(10), 3537. https://doi.org/10.3390/app10103537

Note that from the first issue of 2016, this journal uses article numbers instead of page numbers. See further details here.

Article Metrics

Back to TopTop