Evaluation of Performance and Challenges of Use of Waste Materials in Pavement Construction: A Critical Review
Abstract
1. Introduction
1.1. Pavement Type
1.2. Pavement Strength
1.3. Material Performance
1.4. Initial Cost
1.5. Life Cycle Cost
1.6. Durability
1.7. Practicability
1.8. Constructability
1.9. Safety
1.10. Effects of Climate Change
1.11. Waste Material Option
2. Recycled Material Analysis
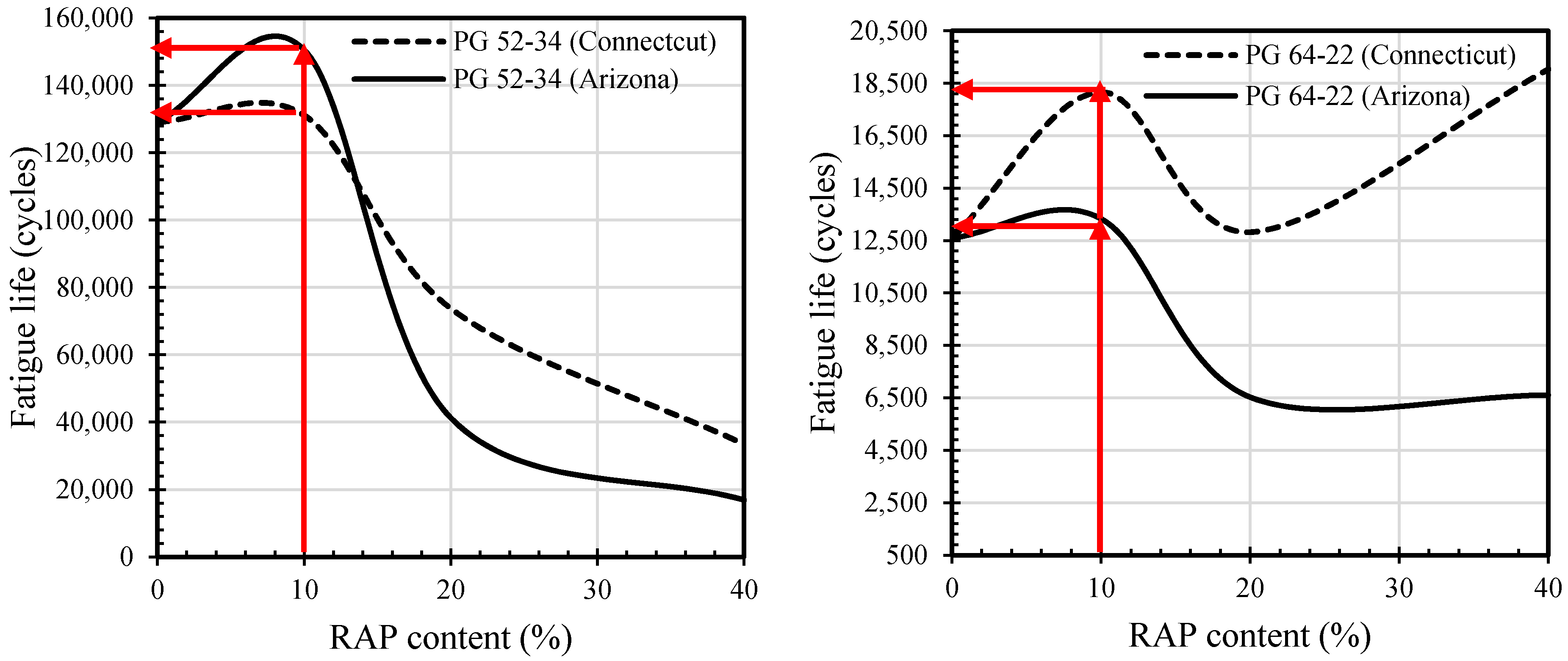
2.1. Recycled Asphalt Pavement
2.2. Waste Plastic
2.3. Blast Furnace Slag
2.4. Recycled Glass
3. Challenges for Using Waste Materials in Pavements
4. Conclusion
Author Contributions
Funding
Conflicts of Interest
References
- Huang, Y.H. Pavement Analysis and Design, 2nd ed.; Pearson Education Inc.: New York, NY, USA, 2004; pp. 1–711. [Google Scholar]
- Daniels, G.; David, R.E.; Stockton, W.R. Techniques for Manually Estimating Road User Costs Associated with Construction Projects; Texas Transportation Institute, Texas A M University: College Station, TX, USA, 1999; pp. 1–104. [Google Scholar]
- Austroads, Impact of Climate Change on Road Infrastructure, APR-243; Austroads: Sydney, Australia, 2004; pp. 1–142.
- Koetse, M.J.; Rietveld, P. The impact of climate change and weather on transport: An overview of empirical findings. Transp. Res. Part D Transp. Environ. 2009, 14, 205–221. [Google Scholar] [CrossRef]
- Ahmed, I. Use of Waste Materials in Highway Construction; Elsevier: London, UK, 1993; pp. 1–115. [Google Scholar]
- Gannon, C.R.; Wombles, R.H.; Ramcy, C.A.; Daris, J.P.; Little, W.V. Recycling conventional and rubberized bituminous concrete pavement using recycling agents (a laboratory and field study). In Asphalt Paving Technology; Proceeding Association of Asphalt Technologists: Louisvile, KY, USA, 1980. [Google Scholar]
- Imtiaz, A.; Lowel, C.W. Use of Waste materials in highway construction: State of the practice and evaluation of the selected waste products. J. Transp. Res. Rec. 1992, 1345, 1–9. [Google Scholar]
- Santero, N.; Loijos, A.; Ochsendorf, J. Greenhouse gas emission reduction opportunities for concrete pavements Infrastructure. J. Ind. Ecol. 2013, 17, 859–868. [Google Scholar] [CrossRef]
- Carpenter, A.C.; Gardner, K.H. Use of industrial by-products in urban roadway infrastructure. J. Ind. Ecol. 2009, 13, 965–977. [Google Scholar] [CrossRef]
- West, R.; Coupland, A. High RAP asphalt pavements: Japan practice-lessons learned. In National Asphalt Pavement Association 2015; Information Seri: Washington, DC, USA, 2015; pp. 1–62. [Google Scholar]
- Anthonissen, J.; Van Der Bergh, W.; Braet, J. Review and environmental impact assessment of green technologies for base courses in bituminous pavements. Environ. Impact Assess. Rev. 2016, 60, 139–147. [Google Scholar] [CrossRef]
- Lee, J.C.; Edil, B.E.; Tinjum, J.M.; Benson, C.H. Quantitive assessment of environmental and economy benefits of recycled materials in highway construction. J. Transp. Res. Rec. 2010, 2158, 138–142. [Google Scholar] [CrossRef]
- Jamshidi, A.; Hamzah, M.O.; Shahadan, Z.; Yahaya, A. Evaluation of the rheological properties and activation energy of asphalt binders blended with different percentages of recovered binders from different sources at high and intermediate temperatures. J. Mater. Civ. Eng. 2014, 27, 1–9. [Google Scholar]
- Jamshidi, A.; Hamzah, M.O.; Shahadan, Z. Selection of reclaimed asphalt pavement sources and contents for asphalt mix production based on asphalt binder rheological properties, fuel requirements and greenhouse gas emissions. J. Clean. Prod. 2012, 23, 20–27. [Google Scholar] [CrossRef]
- Jamshidi, A.; White, G.; Hosseinpour, M.; Kurumisawa, K.; Hamzah, M.O. Characterization of effects of reclaimed asphalt pavement (RAP) source and content on dynamic modulus of hot mix asphalt concrete. Constr. Build. Mater. 2019, 217, 487–497. [Google Scholar] [CrossRef]
- Shahadan, Z.; Hamzah, M.O.; Yahya, A.S.; Jamshidi, A. Evaluation of the dynamic modulus of asphalt mixture incorporating reclaimed asphalt pavement. Indian J. Eng. Mater. Sci. 2013, 20, 376–384. [Google Scholar]
- Jamshidi, A.; Hamzah, M.O.; Kurumisawa, K.; Nawa, T.; Samali, B. Evaluation of sustainable technologies that upgrade the binder performance grade in asphalt pavement construction. J. Mater. Des. 2016, 95, 9–20. [Google Scholar] [CrossRef]
- Goh, S.; You, Z. Properties of Asphalt Mixtures with RAP in the Mechanistic-empirical pavement design of flexible pavements: A Preliminary Investigation. In Airfield and Highway Pavements; American Society of Civil Engineers: Reston, VA, USA, 2008; pp. 171–181. [Google Scholar] [CrossRef]
- Hajj, E.Y.; Sebally, P.E.; Kandia, P. Use of reclaimed asphalt pavements (RAP) in airfields HMA pavements. In AAPTP Project 05–06; Department of Civil and Environmental Engineering College of Engineering University of Nevada Reno: Reno, NV, USA, 2008; pp. 1–136. [Google Scholar]
- Ziari, H.; Aliha, M.R.M.; Moniri, A.; Saghafi, Y. Crack resistance of hot mix asphalt containing different percentages of reclaimed asphalt pavement and glass fiber. J. Constr. Build. Mater. 2020, 230, 1–10. [Google Scholar] [CrossRef]
- Daryaee, D.; Ameri, M.; Mansourkhaki, A. Utilizing of waste polymer modified bitumen in combination with rejuvenator in high reclaimed asphalt pavement mixtures. J. Constr. Build. Mater. 2020, 235, 1–35. [Google Scholar] [CrossRef]
- Lu, D.X.; Saleh, M. Laboratory evaluation of warm mix asphalt incorporating high RAP proportion by using evotherm and sylvaroad additives. J. Constr. Build. Mater. 2016, 114, 580–587. [Google Scholar] [CrossRef]
- Martinho, F.C.G.; Picado-Santos, L.G.; Capitão, S.D. Mechanical properties of warm-mix asphalt concrete containing different additives and recycled asphalt as constituents applied in real production conditions. J. Constr. Build. Mater. 2017, 131, 78–89. [Google Scholar] [CrossRef]
- White, G. Quantifying the impact of reclaimed asphalt pavement on airport asphalt surfaces. J. Constr. Build. Mater. 2019, 197, 757–765. [Google Scholar] [CrossRef]
- Laville, S.; Taylor, M. A Million Bottles a Minute: World’s Plastic Binge as Dangerous as Climate Change. The Guardian: Australian Edition. Available online: www.theguardian.com/environment/2017/jun/28/a-million-a-minute-worlds-plastic-bottle-binge-as-dangerous-as-climate-change (accessed on 10 April 2018).
- EMF. The New Plastics Economy: Rethinking the Future of Plastics. Available online: https://www.ellenmacarthurfoundation.org/assets/downloads/EllenMacArthurFoundation_TheNewPlasticsEconomy_15-3-16.pdf (accessed on 19 January 2016).
- Ting, J. Plastic, Like Diamonds, Is Forever: Time to Use Fewer Bags. The Conversation. Available online: https://theconversation.com/plastic-like-diamonds-is-forever-time-to-use-fewer-bags-7736 (accessed on 26 June 2012).
- Euro Comission. Commission Seeks Views on Reducing Plastic Bag Use. European Commission Press Release, IP/11/80, Brussells, Belgium, 18 May 2011. Available online: https://theconversation.com/plastic-like-diamonds-is-forever-time-to-use-fewer-bags-7736 (accessed on 18 June 2011).
- White, G.; Reid, G. Recycled waste plastic for extending and modifying asphalt binders. In Proceedings of the Symposium on Pavement Surface Characteristics (SURF) 2018, Brisbane, Queensland, Australia, 2–4 May 2018; pp. 1–18. [Google Scholar]
- White, G.; Reid, G. Recycled waste plastic modification of bituminous binder. In Proceedings of the International Conference on Bituminous Mixtures and Pavements 2019, Thessaloniki, Greece, 12–14 June 2019; pp. 1–13. [Google Scholar]
- Lippiatt, B. BEESRG 4.0: Building for Environmental and Economic Sustainability-Technical Manual and User Guide; National Institute of Standards and Technology: Gaithersburg, MD, USA, 2007; pp. 1–313. [Google Scholar]
- Asi, I.M. Evaluating skid resistance of different asphalt concrete mixes. Build. Environ. 2007, 42, 325–329. [Google Scholar] [CrossRef]
- Airey, G.D.; Collop, A.C.; Thom, N.H. Mechanical performance of asphalt mixtures incorporating slag and glass secondary aggregates. In Proceedings of the 8th Conference on Asphalt Pavements for Southern Africa, Sun City, South Africa, 12–16 September 2004. [Google Scholar]
- Ellis, C.; Zhao, B.; Bames, J.; Jones, N. Properties of GGBS-bitumen emulsion systems with recycled aggregates. Road Mater. Pavement Des. 2004, 5, 373–383. [Google Scholar] [CrossRef]
- Crossin, E. The greenhouse gas implications of using ground granulated blast furnace slag as a cement substitute. J. Clean. Prod. 2015, 95, 101–108. [Google Scholar] [CrossRef]
- Palankar, N.; Shankar, A.R.; Mithun, B. Durability studies on eco-friendly concrete mixes incorporating steel slag as coarse aggregates. J. Clean. Prod. 2016, 129, 437–448. [Google Scholar] [CrossRef]
- Li, Y.; Liu, Y.; Gong, X.; Nie, Z.; Cui, S.; Wang, Z.; Chen, W. (Environmental impact analysis of blast furnace slag applied to ordinary Portland cement production. J. Clean. Prod. 2016, 120, 221–230. [Google Scholar] [CrossRef]
- Boesch, M.E.; Hellweg, S. Identifying improvement potentials in cement production with life cycle assessment. Environ. Sci. Technol. 2010, 44, 9143–9149. [Google Scholar] [CrossRef] [PubMed]
- Choudhary, J.; Kumar, B.; Gupta, A. Utilization of solid waste materials as alternative fillers in asphalt mixes: A review. J. Constr. Build. Mater. 2020, 234, 1–19. [Google Scholar] [CrossRef]
- Jamshidi, A.; Kurumisawa, K.; Nawa, T.; Igarashi, T. Performance of pavements incorporating waste glass: The current state of the art. Renew. Sustain. Energy Rev. 2016, 64, 211–236. [Google Scholar] [CrossRef]
- Hasan, M.R.M.; Chew, J.W.; Jamshidi, A.; Yang, X.; Hamzah, M.O. Review of sustainability, pre-treatment, and engineering considerations of asphalt modifiers from the industrial solid wastes. J. Traffic Transp. Eng. Engl. Ed. 2019, 6, 209–244. [Google Scholar]
- Moreno-Navarro, F.; Perez-Martinez, M.; Martín-Marín, J.; Sol-Sanchez, M.; Rubio-Gámez, M.C. Mechanical performance of asphalt mixes incorporating waste glass. Balt. J. Road Bridge Eng. 2015, 10, 1–10. [Google Scholar] [CrossRef]
- Hughes, C.S. Feasibility of using recycled glass in asphalt mixes. In Report No. VTRC 90-R3; Virginia Transportation Research Council: Albemarle, VA, USA, 1990; pp. 1–32. [Google Scholar]
- Topcu, B.; Canbaz, M. Properties of concrete containing waste glass. J. Cem. Concr. Res. 2004, 34, 267–274. [Google Scholar] [CrossRef]
- Park, S.B.; Lee, B.C.; Kim, J.H. Studies on mechanical properties of concrete containing waste glass aggregate. J. Cem. Concr. Res. 2004, 34, 2181–2189. [Google Scholar] [CrossRef]
- De Castro, S.; De Brito, J. Evaluation of the durability of concrete made with crushed glass aggregates. J. Clean. Prod. 2013, 4, 7–14. [Google Scholar] [CrossRef]
- Batayneh, M.; Marie, I.; Asi, I. Use of selected waste materials in concrete mixes. Waste Manag. 2007, 27, 1870–1876. [Google Scholar] [CrossRef]
- Malik, M.I.; Bashir, M.; Ahmad, S.; Tariq, T.; Chowdhary, U. Study of concrete involving use of waste glass as partial replacement of fine aggregates. IOSR J. Eng. 2013, 3, 8–13. [Google Scholar] [CrossRef]
- Shao, Y.; Lefort, T.; Moras, S.; Rodriguez, D. Studies on concrete containing ground waste glass. J. Cem. Concr. Res. 2000, 30, 91–100. [Google Scholar] [CrossRef]
- White, G. State of the art: Interface shear resistance of asphalt surface layers. Int. J. Pavement Eng. 2016, 18, 887–901. [Google Scholar] [CrossRef]
- Disfani, M.; Arulrajah, A.; Bo, M.W.; Sivakugan, N. Environmental risks of using recycled crushed glass in road applications. J. Clean. Prod. 2012, 20, 170–179. [Google Scholar] [CrossRef]
- Larsen, D. Feasibility of utilizing waste glass in pavements. In Report No. 343-21-89-6; Connecticut Department of Transportation: Newington, CT, USA, 1989; pp. 1–27. [Google Scholar]
- Landris, T.L. Recycled glass and degraded materials. In US Army Corps of Engineering; Engineer Research and Development Center: Vicksburg, MS, USA, 2007; pp. 1–150. [Google Scholar]
- Li, W.; Lin, W. Circular Economy Policies in China. ERIA Research Project Report. In Towards a Circular Economy: Corporate Management and Policy Pathways; ERIA: Jakarta, Indonesia, 2014; pp. 95–111. [Google Scholar]





| Product Name | Binder Replacement | Intended Use | Physical Appearance |
|---|---|---|---|
| MR6 | 6–10%, with 6% recommended as optimal | Performance enhancement with a focus on deformation resistance | ![]() |
| MR8 | 6–10%, with 6% recommended as optimal | Cost reduction with similar or better performance | ![]() |
| MR10 | 6–10%, with 6% recommended as optimal | Performance enhancement with a focus on fracture resistance | ![]() |
© 2019 by the authors. Licensee MDPI, Basel, Switzerland. This article is an open access article distributed under the terms and conditions of the Creative Commons Attribution (CC BY) license (http://creativecommons.org/licenses/by/4.0/).
Share and Cite
Jamshidi, A.; White, G. Evaluation of Performance and Challenges of Use of Waste Materials in Pavement Construction: A Critical Review. Appl. Sci. 2020, 10, 226. https://doi.org/10.3390/app10010226
Jamshidi A, White G. Evaluation of Performance and Challenges of Use of Waste Materials in Pavement Construction: A Critical Review. Applied Sciences. 2020; 10(1):226. https://doi.org/10.3390/app10010226
Chicago/Turabian StyleJamshidi, Ali, and Greg White. 2020. "Evaluation of Performance and Challenges of Use of Waste Materials in Pavement Construction: A Critical Review" Applied Sciences 10, no. 1: 226. https://doi.org/10.3390/app10010226
APA StyleJamshidi, A., & White, G. (2020). Evaluation of Performance and Challenges of Use of Waste Materials in Pavement Construction: A Critical Review. Applied Sciences, 10(1), 226. https://doi.org/10.3390/app10010226




