Repetition-Based Cooperative Broadcasting for Vehicular Ad Hoc Networks Under the Rayleigh Fading Channel
Abstract
Featured Application
Abstract
1. Introduction
2. Related Work
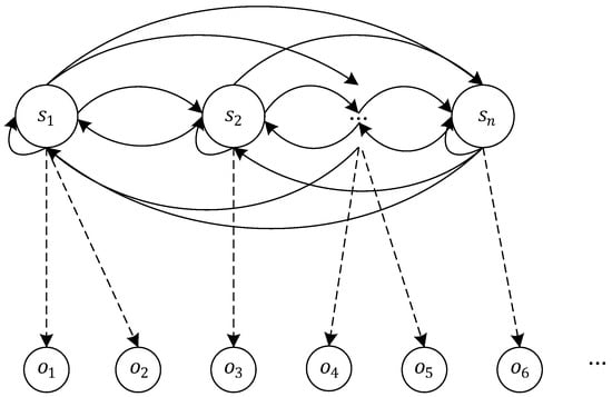
3. System Model
4. Repetition-Based Cooperative Broadcasting Scheme
4.1. Initial Broadasting
4.2. Helper Selection
- It has received and decoded the packet successfully.
- Collisions will not occur if it transmits in the source node’s slot.
| Algorithm 1 Selection of the best helper |
| Input:, Initialization: 1: while 2: fordo 3: if then 4: 5: end if 6: end for 7: if 8: for 9: if 10: 11: end if 12: end for 13: else 14: 15: end if 16: end while |
| Output: |
4.3. Cooperative Rebroadcasting
5. Performance Analysis
5.1. Packet Delivery Probability
5.2. Average Packet Delay
6. Numerical Results
7. Conclusions
Author Contributions
Funding
Conflicts of Interest
References
- Ahamed, E.; Gharavi, H. Cooperative vehicular networking: A survey. IEEE Trans. Intell. Transp.Syst. 2018, 19, 996–1014. [Google Scholar] [CrossRef] [PubMed]
- Lu, N.; Cheng, N.; Zhang, N.; Shen, X.; Mark, J.W. Connected vehicles: Solutions and challenges. IEEE Internet Things J. 2014, 1, 289–299. [Google Scholar] [CrossRef]
- The CAMP Vehicle Safety Communications Consortium. Vehicle Safety Communications Project Task 3 Final Report; US Department of Transportation: Washington, DC, USA, 2005.
- Xu, Q.; Mak, T.; Ko, J.; Sengupta, R. Vehicle-to-vehicle safety messaging in DSRC. In Proceedings of the 1st ACM International Workshop Vehicular Ad Hoc Networks, Philadelphia, PA, USA, 1 October 2004. [Google Scholar]
- Zheng, K.; Zheng, Q.; Chatzimisios, P.; Xiang, W.; Zhou, Y. Heterogeneous vehicular networking: A survey on architecture, challenges, and solutions. IEEE Commun. Surv. Tutor. 2015, 4, 2377–2396. [Google Scholar] [CrossRef]
- IEEE. Telecommunications and information exchange between systems–Local and metropolitan area networks–specific requirements part 11: Wireless LAN medium access control (MAC) and physical layer (PHY) specifications amendment 6: Wireless access in vehicular environments. In IEEE Standard for Information Technology; IEEE: Piscataway Township, NJ, USA, 2010. [Google Scholar]
- Borgonovo, F.; Capone, A.; Cesana, M.; Fratta, L. ADHOC MAC: New MAC architecture for ad hoc networks providing efficient and reliable point-to-point and broadcast services. Wirel. Netw. 2004, 10, 359–366. [Google Scholar] [CrossRef]
- Omar, H.; Zhuang, W.; Li, L. VeMAC: A TDMA-based MAC protocol for reliable broadcast in VANETs. IEEE Trans. Mob. Comput. 2012, 12, 1724–1736. [Google Scholar] [CrossRef]
- Xu, Q.; Mak, T.; Ko, J.; Sengupta, R. Medium access control protocol design for vehicle-vehicle safety messages. IEEE Trans. Veh. Technol. 2007, 56, 499–518. [Google Scholar]
- Farnoud, F.; Hassanabadi, B.; Valaee, S. Message broadcast using optical orthogonal codes in vehicular communication systems. In Proceedings of the 1st Wireless Networking for Intelligent Transportation Systems Workshops, Vancouver, BC, Canada, 14–17 August 2007. [Google Scholar]
- Zhuang, W.; Ismail, M. Cooperation in wireless communication networks. IEEE Wirel. Commun. 2012, 19, 10–20. [Google Scholar] [CrossRef]
- Wang, S.; Guan, K.; He, D.; Li, G.; Lin, X.; Ai, B.; Zhong, Z. Doppler shift and coherence time of 5G vehicular channels at 3.5 GHz. In Proceedings of the IEEE International Symposium on Antennas and Propagation & USNC/URSI National Radio Science Meeting, Boston, MA, USA, 8–13 July 2018. [Google Scholar]
- Chakkour, Y.; Fernandez, H.; Penarrocha, V.M.R.; Ruhio, L.; Reig, J. Coherence time and doppler spread analysis of the V2V channel in highway and urban environments. In Proceedings of the IEEE International Symposium on Antennas and Propagation & USNC/URSI National Radio Science Meeting, Boston, MA, USA, 8–13 July 2018. [Google Scholar]
- Dianati, M.; Ling, X.; Naik, K.; Shen, X. A node-cooperative ARQ scheme for wireless ad hoc networks. IEEE Trans. Veh. Technol. 2006, 55, 6415–6427. [Google Scholar] [CrossRef]
- Alshaer, H.; Horlait, E. An optimized adaptive broadcast scheme for inter-vehicle communication. In Proceedings of the IEEE Vehicular Technology Conference, Stockholm, Sweden, 20 May–1 June 2005. [Google Scholar]
- Ma, X.; Yin, X.; Trivedi, K. A robust broadcast scheme for VANET one-hop emergency services. In Proceedings of the IEEE Vehicular Technology Conference, San Francisco, CA, USA, 5–8 September 2011. [Google Scholar]
- Ma, X.; Zhang, J.; Yin, X.; Trivedi, K. Design and analysis of a robust broadcast scheme for VANET safety-related services. IEEE Trans. Veh. Technol. 2012, 61, 46–61. [Google Scholar] [CrossRef]
- Farrokhi, G.; Zokaei, S. Improving safety message dissemination in IEEE 802.11e based VANETs using direction oriented controlled repetition technique. In Proceedings of the IEEE Symposium on Communications and Vehicular Technology in the Benelux, Delft, The Netherlands, 10 November 2014. [Google Scholar]
- Hassanabadi, B.; Valaee, S. Reliable periodic safety message broadcasting in VANETs using network coding. IEEE Trans. Wirel. Commun. 2014, 13, 1284–1297. [Google Scholar] [CrossRef]
- Bharati, S.; Zhuang, W. CAH-MAC: Cooperative ADHOC MAC for vehicular networks. IEEE J. Sel. Areas Commun. 2013, 31, 470–479. [Google Scholar] [CrossRef]
- Bharati, S.; Thanayankizil, L.V.; Bai, F.; Zhuang, W. Effects of time slot reservation in cooperative ADHOC MAC for vehicular networks. In Proceedings of the IEEE International Conference on Communications (ICC), Budapest, Hungary, 9–13 June 2013. [Google Scholar]
- Bharati, S.; Thanayankizil, L.V.; Bai, F.; Zhuang, W. Link-layer cooperation based on distributed TDMA MAC for vehicular networks. IEEE Trans. Veh. Technol. 2017, 66, 6415–6427. [Google Scholar] [CrossRef]
- Zhang, T.; Zhu, Q. A TDMA based cooperative communication MAC protocol for vehicular ad hoc networks. In Proceedings of the IEEE 83rd Vehicular Technology Conference (VTC Spring), Nanjing, China, 15–18 May 2016. [Google Scholar]
- Zhou, T.; Sharif, H.; Hempel, M.; Mahasukhon, P.; Wang, W.; Ma, T. A novel adaptive distributed cooperative relaying MAC protocol for vehicular networks. IEEE J. Sel. Areas Commun. 2011, 29, 72–82. [Google Scholar] [CrossRef]
- Zhang, L.; Jin, B.; Cui, Y. A concurrent transmission enabled cooperative MAC protocol for vehicular ad hoc networks. In Proceedings of the IEEE International Symposium on Quality Service, Hongkong, China, 26–27 May 2014. [Google Scholar]
- Zhang, J.; Zhang, Q.; Jia, W. VC-MAC: A cooperative MAC protocol in vehicular networks. IEEE Trans. Veh. Technol. 2009, 58, 1561–1571. [Google Scholar] [CrossRef]
- Chen, Y.S.; Hung, K.W. VC2-MAC: A two-cycle cooperative MAC protocol in vehicular networks. Comput. Commun. 2012, 35, 861–874. [Google Scholar] [CrossRef]
- Yoo, H.; Kim, D. Repetition-based cooperative broadcasting for vehicular ad-hoc networks. Comput. Commun. 2011, 34, 1870–1882. [Google Scholar] [CrossRef]
- Yang, F.; Tang, T. Cooperative clustering-based medium access control for broadcasting in vehicular ad-hoc networks. IET Commun. 2014, 8, 3136–3144. [Google Scholar] [CrossRef]
- Bharati, S.; Zhuang, W. CRB: Cooperative relay broadcasting for safety applications in vehicular networks. IEEE Trans. Veh. Technol. 2016, 65, 9542–9553. [Google Scholar] [CrossRef]
- Zheng, D.; Yao, Y.D. Throughput performance evaluation of two-tier TDMA for sensor networks. In Proceedings of the IEEE Sarnoff symposium, Princeton, NJ, USA, 30 March–1 April 2009. [Google Scholar]
- Yao, L.; Wang, J.; Wang, X.; Chen, A.; Wang, Y. V2X routing in a VANET based on the hidden Markov model. IEEE Trans. Intell. Transp. 2018, 3, 889–899. [Google Scholar] [CrossRef]
- Brahmi, I.H.; Djahel, S.; Ghamri-Doudane, Y. A hidden Markov model based scheme for efficient and fast dissemination of safety messages in VANETs. In Proceedings of the IEEE Global Communications Conference (GLOBECOM), Anaheim, CA, USA, 3–7 December 2012. [Google Scholar]
- Akabane, A.T.; Pazzi, R.W.; Madeira, E.R.M.; Villas, L.A. Modeling and Prediction of Vehicle Routes Based on Hidden Markov Model. In Proceedings of the IEEE 86th Vehicular Technology Conference (VTC-Fall), Toronto, ON, Canada, 24–27 September 2017. [Google Scholar]
- Fazio, P.; Tropea, M.; Sottile, C.; Lupia, A. Vehicular networking and channel modeling: A New markovian approach. In Proceedings of the 12th Annual IEEE Consumer Communications and Networking Conference (CCNC), Las Vegas, NV, USA, 9–12 January 2015. [Google Scholar]
- Toorchi, N.; Attari, M.A.; Haghighi, M.S.; Xiang, Y. A Markov model of safety message broadcasting for vehicular networks. In Proceedings of the IEEE Wireless Communications and Networking Conference (WCNC), Shanghai, China, 7–10 April 2013. [Google Scholar]
- Shahen Shah, A.F.M.; Ilhan, H.; Tureli, U. Modeling and performance analysis of the IEEE 802.11 MAC for VANETs under channel fading and capture effect. In Proceedings of the IEEE International Symposium on INnovations in Intelligent SysTems and Applications (INISTA), Sofia, Bulgaria, 3–5 July 2019. [Google Scholar]
- Ma, X.; Zhang, J.; Wu, T. Reliability analysis of one-hop safety critical broadcast services in VANETs. IEEE Trans. Veh. Technol. 2011, 60, 3933–3946. [Google Scholar] [CrossRef]
- Lee, K.; Yi, Y.; Jeong, J.; Won, H.; Rhee, I.; Chong, S. Max-contribution: On optimal resource allocation in delay tolerant networks. In Proceedings of the IEEE International Conference on Computer Communications (INFOCOM), San Diego, CA, USA, 14–19 March 2010. [Google Scholar]
- Zhu, H.; Fu, L.; Xue, G.; Zhu, Y.; Li, M.; Ni, L. Recognizing exponential inter-contact time in VANETs. In Proceedings of the IEEE International Conference on Computer Communications (INFOCOM), San Diego, CA, USA, 14–19 March 2010. [Google Scholar]
- Hu, N.; Yao, Y.D.; Yang, Z. Analysis of cooperative TDMA in Rayleigh fading channels. Trans. Veh. Technol. 2013, 3, 1158–1168. [Google Scholar] [CrossRef]
- Istiqomah, N.; Qidun, M.B.S. Traffic simulation in an intersection by using integrated Vissim-MATLAB. In Proceedings of the International Conference on Sustainable Energy Engineering and Application (ICSEEA), Tangerang, Indonesia, 1–2 November 2018. [Google Scholar]














| Parameter | Value |
|---|---|
| Number of lanes | 2 |
| Width of a lane | 5 m |
| Length of road | 5 km |
| Density of vehicles () | 0.02 and 0.04 v/m |
| Transmission range () | 200, 300 m |
| Number of slots () | 50 |
| Length of a frame | 20 ms |
| Packet size | 1024 bit |
| Number of helpers | 1 and 2 |
| Number of rebroadcasting | 2 and 3 |
© 2019 by the authors. Licensee MDPI, Basel, Switzerland. This article is an open access article distributed under the terms and conditions of the Creative Commons Attribution (CC BY) license (http://creativecommons.org/licenses/by/4.0/).
Share and Cite
Yang, F.; Sun, Y.; Zou, S.; Luo, X. Repetition-Based Cooperative Broadcasting for Vehicular Ad Hoc Networks Under the Rayleigh Fading Channel. Appl. Sci. 2020, 10, 212. https://doi.org/10.3390/app10010212
Yang F, Sun Y, Zou S, Luo X. Repetition-Based Cooperative Broadcasting for Vehicular Ad Hoc Networks Under the Rayleigh Fading Channel. Applied Sciences. 2020; 10(1):212. https://doi.org/10.3390/app10010212
Chicago/Turabian StyleYang, Fan, Yanglong Sun, Sai Zou, and Xiongbiao Luo. 2020. "Repetition-Based Cooperative Broadcasting for Vehicular Ad Hoc Networks Under the Rayleigh Fading Channel" Applied Sciences 10, no. 1: 212. https://doi.org/10.3390/app10010212
APA StyleYang, F., Sun, Y., Zou, S., & Luo, X. (2020). Repetition-Based Cooperative Broadcasting for Vehicular Ad Hoc Networks Under the Rayleigh Fading Channel. Applied Sciences, 10(1), 212. https://doi.org/10.3390/app10010212
