Towards a Deeper Understanding of Strategic Management Factors in International Non-Governmental Organizations
Abstract
1. Introduction
2. Materials and Methods
2.1. Systematic Literature Review
2.2. Pilot Study
3. Literature Review (RQ1)
3.1. Bibliometric Analysis
3.2. Content Analysis of Retained Articles
4. Empirical Analysis—Pilot Study (RQ2)
4.1. Descriptive
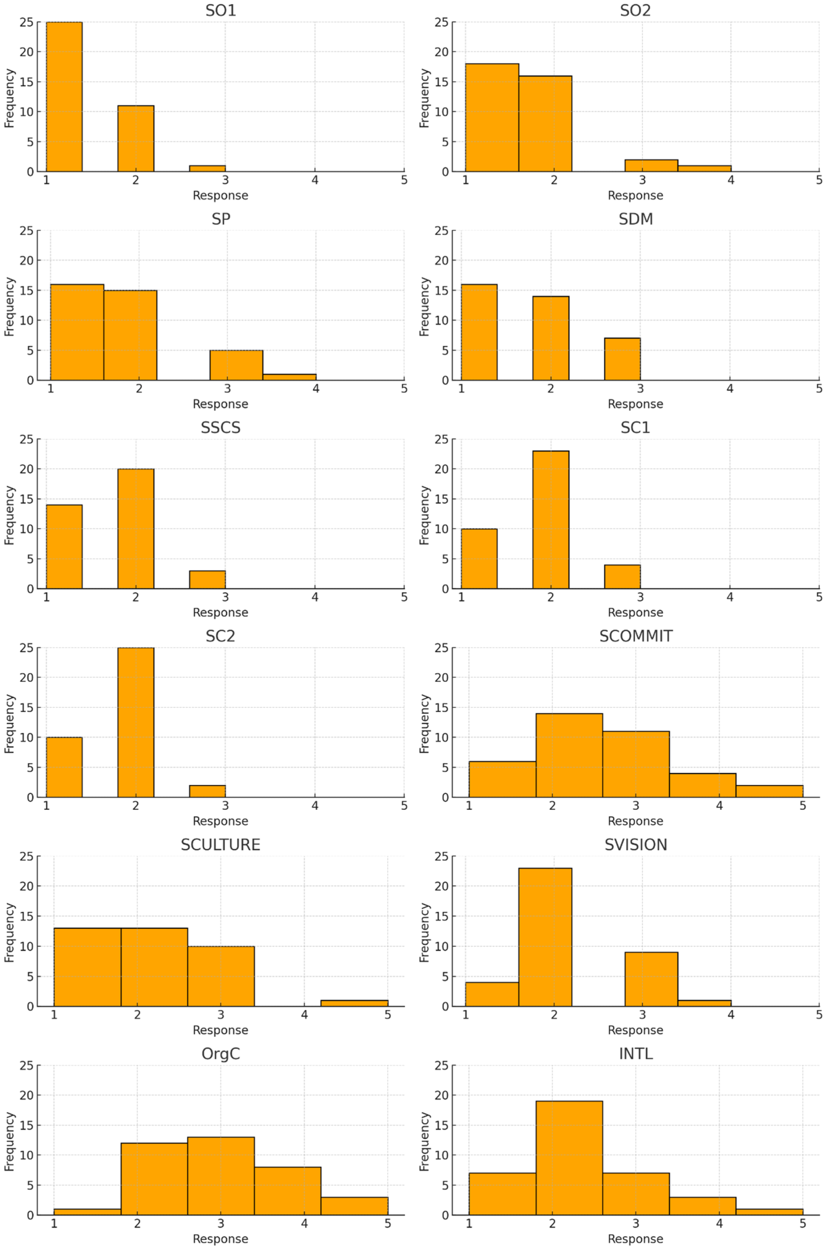
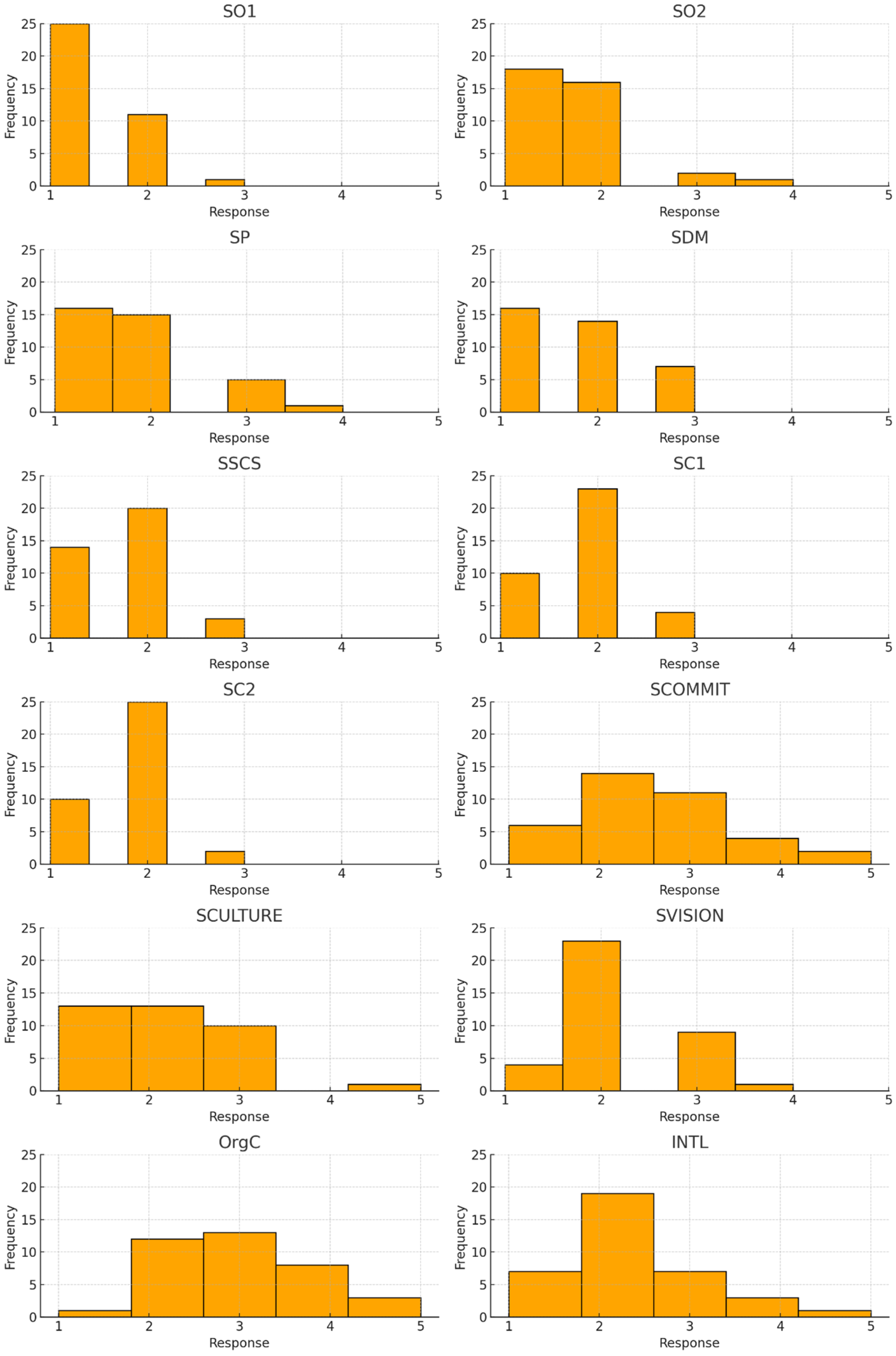
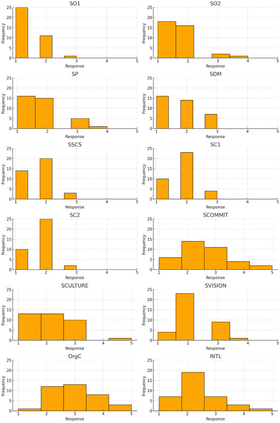
4.2. Plotting of Histograms
4.3. Correlation Analysis
4.4. Principal Component Analysis
5. Extracted Themes and Challenges for INGOs (RQ3)
5.1. Theme 1: Contextual Influences
5.2. Theme 2: Strategic Execution Gaps
5.3. Theme 3: Human Capital
5.4. Theme 4: Innovation
5.5. Theme 5: Vulnerabilities
5.6. Theme 6: Holistic and Organic Approaches to Strategy
6. Discussion and Conclusions
6.1. Defining INGO
- (1)
- The independence of the factors is one interpretation, which means that strategic change, formulation, and alignment, operate independently. This is advantageous for non-profits in general and INGOs in particular because it allows for flexibility in managing these elements without creating unnecessary conflicts. INGOs working in complex international environments can benefit from the understanding of this independence by balancing internal strategic management-associated changes and international vision and demands separately. For example, strategic adjustments (e.g., restructuring) can be managed without negatively affecting mission commitments or international partnerships (Tucker & MacCallum, 1997).
- (2)
- Clear strategic focus is another link allowing INGOs to focus on internal specific operational areas such as strategic change or formulation of international influence separately. This reduces the amount of internal conflict associated with interrelated influences caused by decisions (factor 2) from different departments (Jolliffe, 2002). For instance, a non-profit can develop policies for international cooperation without disrupting internal operational changes, allowing each area to proceed with focus and efficiency.
- (3)
- Resource mobilization (which has recently become very popular in United Nations organizations) becomes easier to handle such that individual teams can focus on different strategic targets (e.g., Reform, efficiency, etc.) (Fabrigar et al., 1999). This specialization helps ensure the effective use of limited resources, which is the hallmark of INGOs.
6.2. Challenges
6.3. Limitations of Study
6.4. Suggestions for Future Research
6.5. Practical Implications
- The BRIC (Brazil, Russia, India, China, South Africa) phenomenon: Recently, its membership was opened to other countries. South Africa joined. In 2023, Argentina, Egypt, Ethiopia, Iran, Saudi Arabia, and the United Arab Emirates were invited and became members in 2024. Malaysia and other countries have expressed interest in joining. The BRIC countries, constituting the Global South Strategy, announced the formation of an Alliance Network focused on joint Artificial Intelligence research and development. Countries like Servia and Indonesia which are not BRIC members have joined the alliance. The BRIC strategy emphasizes collaboration for mutual accelerated growth, sustainable development, and inclusivity.
- The China One Belt One Road (OBOR) or Belt and Road Initiative (BRI): The ongoing global development strategy (created in 2013) representing the ancient economic trade Silk Road, connects China to Central Asia, the Middle East, and Europe. This entails all trade and economic dimensions such as development, market expansion, geopolitical influence, connectivity, and financial integration. With over 150 countries and international organizations collaborating under this initiative, international activities are being reshaped.
- Other global events: geopolitical tensions and conflicts in areas such as Ukraine, Gaza, Sudan, and Yemen; trade barriers and tariffs leading organizations to shift their manufacturing bases; global governance of artificial intelligence; accelerated growth in emerging markets; extreme weather events due to climate change; and technological advancements, digital transformation, and cybersecurity.
Author Contributions
Funding
Institutional Review Board Statement
Informed Consent Statement
Data Availability Statement
Conflicts of Interest
References
- Abiddin, N. Z., Ibrahim, I., & Abdul Aziz, S. A. (2022). Non-governmental organisations (NGOs) and their part towards sustainable community development. Sustainability, 14(8), 4386. [Google Scholar] [CrossRef]
- Abou Jaoude, J., & Saade, R. G. (2019). Blockchain applications–usage in different domains. IEEE Access, 7, 45360–45381. [Google Scholar] [CrossRef]
- Ackerman, L. S. (2023). Development, transition, or transformation: The question of change in organizations. Organization Development Review, 55(1), 60. [Google Scholar]
- Ahmad, M. (2023). Promising prospects: Jordan’s healthcare achievements of the past decade. Joj Sciences, 3(4). [Google Scholar] [CrossRef]
- Anheier, H. K. (2015). Towards a monitoring framework. In 2005 convention global report, re/shaping cultural policies. a decade promoting the diversity of cultural expression for development (pp. 31–42). UNESCO. [Google Scholar]
- Asfaw, T., Botes, V., & Mengesha, L. (2017). The role of ngos in corporate environmental responsibility practice: Evidence from ethiopia. International Journal of Corporate Social Responsibility, 2(1), 1–9. [Google Scholar] [CrossRef]
- Aslan, H. (2023). Advancing and sustaining volunteerism: Investigating the multifaceted challenges and obstacles to volunteer engagement. Analyses of Social Issues and Public Policy, 23(3), 724–751. [Google Scholar] [CrossRef]
- Asogwa, I. (2023). Accounting for stakeholder engagement in developing countries: Proposing an engagement system to respond to sustainability demands. Meditari Accountancy Research, 32(3), 888–922. [Google Scholar] [CrossRef]
- Asogwa, I., Varua, M., Humphreys, P., & Datt, R. (2021). Understanding sustainability reporting in non-governmental organisations: A systematic review of reporting practices, drivers, barriers and paths for future research. Sustainability, 13(18), 10184. [Google Scholar] [CrossRef]
- Azarian, M., Yu, H., Shiferaw, A. T., & Stevik, T. K. (2023). Do we perform systematic literature review right? A scientific mapping and methodological assessment. Logistics, 7(4), 89. [Google Scholar] [CrossRef]
- Bailey, A., Johnson, G., & Daniels, K. (2000). Validation of a multi-dimensional measure of strategy development processes. British Journal of Management, 11(2), 151–162. [Google Scholar] [CrossRef]
- Baluch, A. M., & Ridder, H. G. (2021). Mapping the research landscape of strategic human resource management in nonprofit organizations: A systematic review and avenues for future research. Nonprofit and Voluntary Sector Quarterly, 50(3), 598–625. [Google Scholar] [CrossRef]
- Barber, M., & Bowie, C. (2008). How international NGOs could do less harm and more good. Development in Practice, 18(6), 748–754. [Google Scholar] [CrossRef]
- Barney, J. B. (1997). Gaining and sustaining competitive advantage (2nd ed.). Prentice Hall. [Google Scholar]
- Barringer, B. R., & Bluedorn, A. C. (1999). The relationship between corporate entrepreneurship and strategic management. Strategic Management Journal, 20(5), 421–444. [Google Scholar] [CrossRef]
- Beagles, J. E. (2022). Institutional logic and the multiorganizational governance arrangements of humanitarian INGOs. Nonprofit Management and Leadership, 33(1), 131–155. [Google Scholar] [CrossRef]
- Berghmans, M., Simons, M., & Vandenabeele, J. (2017). What is negotiated in negotiated accountability? The case of INGOs. VOLUNTAS: International Journal of Voluntary and Nonprofit Organizations, 28, 1529–1561. [Google Scholar] [CrossRef]
- Bond. (2016). An introduction to social innovation for NGOs. Bond. [Google Scholar]
- Borges, A. F., Laurindo, F. J., Spínola, M. M., Gonçalves, R. F., & Mattos, C. A. (2021). The strategic use of artificial intelligence in the digital era: Systematic literature review and future research directions. International Journal of Information Management, 57, 102225. [Google Scholar] [CrossRef]
- Bortnowska, H., & Seiler, B. (2021). “The loneliness” of the nonprofit leader: Comparison with for-profit and public organizations. Zeszyty Naukowe Małopolskiej Wyższej Szkoły Ekonomicznej w Tarnowie, 49(1), 89–98. [Google Scholar]
- Boyne, G. A., & Walker, R. M. (2010). Strategic management and public service performance: The way ahead. Public Administration Review, 70, s185–s192. [Google Scholar] [CrossRef]
- Brilliant, E., & Young, D. R. (2004). The changing identity of federated community service organizations. Administration in Social Work, 28(3–4), 23–46. [Google Scholar] [CrossRef]
- Bryson, J., & Edwards, L. H. (2017). Strategic planning in the public sector. In Oxford research encyclopedia of business and management. Oxford Research Encyclopedia. [Google Scholar]
- Bryson, J., & George, B. (2020). Strategic management in public administration. In Oxford research encyclopedia: Politics (pp. 1–26). Oxford University Press. [Google Scholar]
- Bryson, J. M., Berry, F. S., & Yang, K. (2010). The state of public strategic management research: A selective literature review and set of future directions. The American Review of Public Administration, 40(5), 495–521. [Google Scholar] [CrossRef]
- Buckley, P. J., Doh, J. P., & Benischke, M. H. (2017). Towards a renaissance in international business research? Big questions, grand challenges, and the future of IB scholarship. Journal of International Business Studies, 48, 1045–1064. [Google Scholar] [CrossRef]
- Castellini, M. (2014). Stakeholder theory and strategic management in third sector: An analysis on Italian cooperative associations. Procedia-Social and Behavioral Sciences, 116, 4498–4504. [Google Scholar] [CrossRef]
- Chandler, A. D. (1962). Strategy and structure: Chapters in the history of the industrial empire. Cambridge Mass, 5(1), 12–48. [Google Scholar]
- Chetty, S., & Campbell-Hunt, C. (2003). Paths to internationalization among small-to medium-sized firms: A global versus regional approach. European Journal of Marketing, 37(5/6), 796–820. [Google Scholar] [CrossRef]
- Cosenz, F., & Noto, G. (2016). Applying system dynamics modelling to strategic management: A literature review. Systems Research and Behavioral Science, 33(6), 703–741. [Google Scholar] [CrossRef]
- Coviello, N. E. (2006). The network dynamics of international new ventures. Journal of International Business Studies, 37, 713–731. [Google Scholar] [CrossRef]
- Coviello, N. E. (2015). Re-thinking research on born globals. Journal of International Business Studies, 46, 17–26. [Google Scholar] [CrossRef]
- Covin, J. G., & Slevin, D. P. (1993). A response to Zahra’s “Critique and extension” of the Covin-Slevin entrepreneurship model. Entrepreneurship Theory and Practice, 17(4), 23–28. [Google Scholar] [CrossRef]
- Cuganesan, S., Dunford, R., & Palmer, I. (2012). Strategic management accounting and strategy practices within a public sector agency. Management Accounting Research, 23(4), 245–260. [Google Scholar] [CrossRef]
- Davis, J. M., Henson, S., & Swiss, L. (2020). In INGOs we trust? How individual determinants and the framing of INGOs influences public trust. Development in Practice, 30(6), 809–824. [Google Scholar] [CrossRef]
- Dess, G. G., Lumpkin, G. T., & Covin, J. G. (1997). Entrepreneurial strategy making and firm performance: Tests of contingency and configurational models. Strategic Management Journal, 18(9), 677–695. [Google Scholar] [CrossRef]
- Dörfler, T., & Heinzel, M. (2023). Greening global governance: INGO secretariats and environmental mainstreaming of IOs, 1950 to 2017. The Review of International Organizations, 18(1), 117–143. [Google Scholar] [CrossRef]
- Engert, S., Rauter, R., & Baumgartner, R. J. (2016). Exploring the integration of corporate sustainability into strategic management: A literature review. Journal of Cleaner Production, 112, 2833–2850. [Google Scholar] [CrossRef]
- Fabrigar, L. R., Wegener, D. T., MacCallum, R. C., & Strahan, E. J. (1999). Evaluating the Use of Exploratory Factor Analysis in Psychological Research. Psychological Methods, 4(3), 272–299. [Google Scholar] [CrossRef]
- Farid, M., & Li, H. (2021). International NGOs as intermediaries in China’s ‘going out’ strategy. International Affairs, 97(6), 1945–1962. [Google Scholar] [CrossRef]
- Farjoun, M. (2002). Towards an organic perspective on strategy. Strategic Management Journal, 23(7), 561–594. [Google Scholar] [CrossRef]
- Fredrickson, J. W., & Iaquinto, A. L. (1989). Inertia and creeping rationality in strategic decision processes. Academy of Management Journal, 32(3), 516–542. [Google Scholar] [CrossRef]
- Frumkin, P. (2002). On being nonprofit: A conceptual and policy primer. Harvard University Press. [Google Scholar]
- Fuertes, G., Alfaro, M., Vargas, M., Gutierrez, S., Ternero, R., & Sabattin, J. (2020). Conceptual framework for the strategic management: A literature review—Descriptive. Journal of Engineering, 2020(1), 6253013. [Google Scholar] [CrossRef]
- Galkina, T., & Yang, M. (2020). Bringing Nordic Slush to Asia: Entrepreneurial internationalization of an NGO as a social movement. International Business Review, 29(6), 101749. [Google Scholar] [CrossRef]
- Gallo, C., Sandeberg, A., & Svensson, K. (2018). Victim support, the state, and fellow human beings. International Review of Victimology, 25(1), 91–106. [Google Scholar] [CrossRef]
- Gorsuch, R. L. (1983). Factor analysis. Lawrence Erlbaum. [Google Scholar]
- Grant, R. M. (2001). Knowledge and organization. In Managing industrial knowledge: Creation, transfer and utilization (pp. 145–169). Sage. [Google Scholar]
- Grønbjerg, K. A. (2016). Foreword. In J. S. Ott, & L. A. Dicke (Eds.), The nature of the nonprofit sector (3rd ed.). Westview. [Google Scholar]
- Hair, J. F., Black, W. C., Babin, B. J., & Anderson, R. E. (2010). Multivariate data analysis (7th ed.). Pearson. [Google Scholar]
- Han, C., & Gao, S. (2020). A chain multiple mediation model linking strategic, management, and technological innovations to firm competitiveness. Revista Brasileira de Gestão de Negócios, 21, 879–905. [Google Scholar] [CrossRef]
- Han, D., Bae, Y. H., Kim, T. Y., Jung, J., Lee, C., & Kim, H. S. (2020). Classification of environmental industry and technology competitiveness evaluation. Journal of Wetlands Research, 22(4), 245–256. [Google Scholar]
- Hart, S. L. (1992). An integrative framework for strategy-making processes. Academy of Management Review, 17(2), 327–351. [Google Scholar] [CrossRef]
- Hart, S., & Banbury, C. (1994). How strategy-making processes can make a difference. Strategic Management Journal, 15(4), 251–269. [Google Scholar] [CrossRef]
- Höglund, L., Mårtensson, M., & Thomson, K. (2021). Strategic management, management control practices and public value creation: The strategic triangle in the Swedish public sector. Accounting, Auditing & Accountability Journal, 34(7), 1608–1634. [Google Scholar]
- Iaquinto, A. L., & Fredrickson, J. W. (1997). Top management team agreement about the strategic decision process: A test of some of its determinants and consequences. Strategic Management Journal, 18(1), 63–75. [Google Scholar] [CrossRef]
- Johanson, J., & Vahlne, J. E. (1993). Management of internationalization (pp. 43–78). Springer Netherlands. [Google Scholar]
- Johnsen, Å. (2015). Strategic management thinking and practice in the public sector: A strategic planning for all seasons? Financial Accountability & Management, 31(3), 243–268. [Google Scholar]
- Johnson, T. (2016). Cooperation, co-optation, competition, conflict: International bureaucracies and non-governmental organizations in an interdependent world. Review of International Political Economy, 23(5), 737–767. [Google Scholar] [CrossRef]
- Jolliffe, I. T. (2002). Principal component analysis (2nd ed.). Springer. [Google Scholar]
- Kaiser, H. F. (1958). The Varimax Criterion for Analytic Rotation in Factor Analysis. Psychometrika, 23(3), 187–200. [Google Scholar] [CrossRef]
- Keding, C. (2021). Understanding the interplay of artificial intelligence and strategic management: Four decades of research in review. Management Review Quarterly, 71(1), 91–134. [Google Scholar] [CrossRef]
- Keupp, M. M., Palmié, M., & Gassmann, O. (2012). The strategic management of innovation: A systematic review and paths for future research. International Journal of Management Reviews, 14(4), 367–390. [Google Scholar] [CrossRef]
- Khanin, D., Turel, O., Bart, C., McDowell, W. C., & Hock-Döpgen, M. (2021). The possible pitfalls of boards’ engagement in the strategic management process. Review of Managerial Science, 15, 1071–1093. [Google Scholar] [CrossRef]
- Kline, P. (2015). A handbook of test construction: Introduction to psychometric design. Routledge. [Google Scholar]
- Kraus, S., Breier, M., & Dasí-Rodríguez, S. (2020). The art of crafting a systematic literature review in entrepreneurship research. International Entrepreneurship and Management Journal, 16, 1023–1042. [Google Scholar] [CrossRef]
- Lewis, D., Kanji, N., & Themudo, N. S. (2021). Non-governmental organizations and development (2nd ed.). Routledge. [Google Scholar]
- Linnenluecke, M. K., Marrone, M., & Singh, A. K. (2020). Conducting systematic literature reviews and bibliometric analyses. Australian Journal of Management, 45(2), 175–194. [Google Scholar] [CrossRef]
- MacCallum, R. C., Widaman, K. F., Zhang, S., & Hong, S. (1999). Sample Size in Factor Analysis. Psychological Methods, 4(1), 84–99. [Google Scholar] [CrossRef]
- Mauri, P. (2013). Process analysis and collective behavior in organizations: A practitioner experience. In On the move to meaningful internet systems: OTM 2013 workshops: Confederated International workshops: OTM academy, OTM industry case studies program, ACM, EI2N, ISDE, META4eS, ORM, SeDeS, SINCOM, SMS, and SOMOCO 2013, Graz, Austria, September 9–13, 2013 Proceedings (pp. 124–133). Springer. [Google Scholar]
- Megersa, K. (2022). Strengths and weaknesses of INGOs in delivering development outcomes. Institute of Development Studies. [Google Scholar]
- Menon, A., Bharadwaj, S. G., Adidam, P. T., & Edison, S. W. (1999). Antecedents and consequences of marketing strategy making: A model and a test. Journal of Marketing, 63(2), 18–40. [Google Scholar] [CrossRef]
- Meyer, J. P., Allen, N. J., & Smith, C. A. (1993). Commitment to organizations and occupations: Ex-tension and test of a three-component conceptualization. Journal of Applied Psychology, 78(4), 538. [Google Scholar] [CrossRef]
- Miller, D., & Friesen, P. H. (1983). Strategy-making and environment: The third link. Strategic Management Journal, 4(3), 221–235. [Google Scholar] [CrossRef]
- Miller, C. C., & Cardinal, L. B. (1994). Strategic planning and firm performance: A synthesis of more than two decades of research. Academy of Management Journal, 37(6), 1649–1665. [Google Scholar] [CrossRef]
- Mintzberg, H. (1973). Strategy-making in three modes. California Management Review, 16(2), 44–53. [Google Scholar] [CrossRef]
- Mintzberg, H. (1994). Rethinking strategic planning part I: Pitfalls and fallacies. Long Range Planning, 27(3), 12–21. [Google Scholar] [CrossRef]
- Moore, S. M. (1995). Girls’ understanding and social constructions of menarche. Journal of Adolescence, 18(1), 87–104. [Google Scholar] [CrossRef]
- Nag, R., Hambrick, D. C., & Chen, M. J. (2007). What is strategic management, really? Inductive derivation of a consensus definition of the field. Strategic Management Journal, 28(9), 935–955. [Google Scholar] [CrossRef]
- Nightingale, A. (2009). A guide to systematic literature reviews. Surgery, 27(9), 381–384. [Google Scholar] [CrossRef]
- Nutt, P. C. (1993). The formulation processes and tactics used in organizational decision making. Organization Science, 4(2), 226–251. [Google Scholar] [CrossRef]
- Oliver, C. (1997). Sustainable competitive advantage: Combining institutional and resource-based views. Strategic Management Journal, 18(9), 697–713. [Google Scholar] [CrossRef]
- Olivier, A. J., & Schwella, E. (2018). Closing the strategy execution gap in the public sector. International Journal of Public Leadership, 14(1), 6–32. [Google Scholar] [CrossRef]
- Ott, J. S., & Valero, J. N. (2018). Nongovernmental organizations and international nongovernmental organizations. Global Encyclopedia of Public Administration, Public Policy, and Governance. [Google Scholar]
- Page, M. J., McKenzie, J. E., Bossuyt, P. M., Boutron, I., Hoffmann, T. C., Mulrow, C. D., Shamseer, L., Tetzlaff, J. M., Akl, E. A., Brennan, S. E., & Chou, R. (2021). The PRISMA 2020 statement: An updated guideline for reporting systematic reviews. BMJ, 372, n71. [Google Scholar] [CrossRef]
- Poister, T. H. (2010). The future of strategic planning in the public sector: Linking strategic management and performance. Public Administration Review, 70, s246–s254. [Google Scholar] [CrossRef]
- Porto, P., & da Rocha, A. (2021). The resource-seeking internationalization process of a nongovernmental organization. BAR-Brazilian Administration Review, 18, e190138. [Google Scholar] [CrossRef]
- Rêgo, B. S., Jayantilal, S., Ferreira, J. J., & Carayannis, E. G. (2021). Digital transformation and strategic management: A systematic review of the literature. Journal of the Knowledge Economy, 13, 3195–3222. [Google Scholar] [CrossRef]
- Rialti, R., Marzi, G., Caputo, A., & Mayah, K. A. (2020). Achieving strategic flexibility in the era of big data: The importance of knowledge management and ambidexterity. Management Decision, 58(8), 1585–1600. [Google Scholar] [CrossRef]
- Ribau, C. P., Moreira, A. C., & Raposo, M. (2015). Internationalization of the firm theories: A schematic synthesis. International Journal of Business and Globalization, 15(4), 528–554. [Google Scholar] [CrossRef]
- Ryley, T., Baumeister, S., & Coulter, L. (2020). Climate change influences on aviation: A literature review. Transport Policy, 92, 55–64. [Google Scholar] [CrossRef]
- Saade, R. G. (2020). Digital Innovation & Transformation Opportunities for Researchers & Practitioners—A Structured Literature Review & Proposed Model. Journal of Digital Innovation for Humanity, 1, 22–74. [Google Scholar]
- Saade, R. G., & Nijher, H. (2016). Critical success factors in enterprise resource planning implementation: A review of case studies. Journal of Enterprise Information Management, 29(1), 72–96. [Google Scholar] [CrossRef]
- Saade, R. G., Zhang, J., Wang, X., Liu, H., & Guan, H. (2023). Challenges and opportunities in the internet of intelligence of things in higher education—Towards bridging theory and practice. IoT, 4(3), 430–465. [Google Scholar] [CrossRef]
- Santoro, G., Vrontis, D., Thrassou, A., & Dezi, L. (2018). The Internet of Things: Building a knowledge management system for open innovation and knowledge management capacity. Technological Forecasting and Social Change, 136, 347–354. [Google Scholar] [CrossRef]
- Scott, E. K. (2015). To adapt, innovate, or stop short? INGO Pathways to Humanitarian. [Google Scholar]
- Shrivastava, P., & Grant, J. H. (1985). Empirically derived models of strategic decision-making processes. Strategic Management Journal, 6(2), 97–113. [Google Scholar] [CrossRef]
- Sinkovics, N., Choksy, U. S., Sinkovics, R. R., & Mudambi, R. (2019). Knowledge connectivity in an adverse context: Global value chains and Pakistani offshore service providers. Management Inter-National Review, 59(1), 131–170. [Google Scholar] [CrossRef]
- Smith, E. C., & Hamel, Z. (2023). Global civil society. In The palgrave encyclopedia of global security studies (pp. 616–618). Springer International Publishing. [Google Scholar]
- Steiner, G. A. (2010). Strategic planning. Simon and Schuster. [Google Scholar]
- Stoddard, A. (2010). International Humanitarian Cooperation: Aiding war’s victims in a shifting strategic environment’. In B. D. Jones, S. Forman, & R. Gowan. (Eds.), Cooperating for peace and security: Evolving institutions and arrangements in a context of changing US security policy (pp. 247–268). Cambridge University Press. [Google Scholar]
- Susanto, P. C., Ali, H., Sawitri, N. N., & Widyastuti, T. (2023). Strategic Management: Concept, Implementation, and Indicators of Success (Literature Review). Siber Journal of Advanced Multidisciplinary, 1(2), 44–54. [Google Scholar] [CrossRef]
- Tabachnick, B. G., & Fidell, L. S. (2014). Using multivariate statistics (6th ed.). Pearson. [Google Scholar]
- Teegen, H., Doh, J. P., & Vachani, S. (2004). The importance of nongovernmental organizations (NGOs) in global governance and value creation: An international business research agenda. Journal of International Business Studies, 35, 463–483. [Google Scholar] [CrossRef]
- Toepler, S., Zimmer, A., Fröhlich, C., & Obuch, K. (2020). The changing space for NGOs: Civil society in authoritarian and hybrid regimes. VOLUNTAS: International Journal of Voluntary and Nonprofit Organizations, 31, 649–662. [Google Scholar] [CrossRef]
- Tucker, L. R., & MacCallum, R. C. (1997). Exploratory factor analysis. Sage Publications. [Google Scholar]
- University of Geneve. (2021). Mapping the humanitarian transformation: Spotlight on innovation in international NGOs. Geneva Innovation Movement. [Google Scholar]
- Vahlne, J. E., & Johanson, J. (2020). The Uppsala model: Networks and micro-foundations. Journal of International Business Studies, 51(1), 4–10. [Google Scholar] [CrossRef]
- Vrontis, D., Thrassou, A., Santoro, G., & Papa, A. (2017). Ambidexterity, external knowledge and performance in knowledge-intensive firms. The Journal of Technology Transfer, 42, 374–388. [Google Scholar] [CrossRef]
- Wan, J., Saade, R., & Wang, L. (2020). Deriving significant factors for managing change in UN. Journal of Organizational Change Management, 33(1), 114–126. [Google Scholar] [CrossRef]
- Wan, J., Wang, L., Saade, R., Guan, H., & Liu, H. (2022). Empirical analysis of strategic management in Inter-Governmental Organization. Administrative Sciences, 12(3), 83. [Google Scholar] [CrossRef]
- Wong, C., Odom, S. L., Hume, K. A., Cox, A. W., Fettig, A., Kucharczyk, S., & Schultz, T. R. (2015). Evidence-based practices for children, youth, and young adults with autism spectrum disorder: A comprehensive review. Journal of Autism and Developmental Disorders, 45, 1951–1966. [Google Scholar] [CrossRef]
- Xiao, Y., & Watson, M. (2019). Guidance on conducting a systematic literature review. Journal of Planning Education and Research, 39(1), 93–112. [Google Scholar] [CrossRef]
- Young, R., Young, M., Jordan, E., & O’Connor, P. (2012). Is strategy being implemented through projects? Contrary evidence from a leader in New Public Management. International Journal of Project Management, 30(8), 887–900. [Google Scholar] [CrossRef]


| Steps | Description | Purpose |
|---|---|---|
| Concept Coding | Broad search | Identification of key terms |
| Scoping | Identifying the boundaries of key terms | Delimiting key words |
| Concept Search Plan | Developing strategy for searching | Specifying search steps |
| Inclusion/Exclusion | Establishing and applying set of criteria to apply search results | Filtering search results |
| Refinement | Reading articles in full and further consideration to retain or not | Selecting final set of articles |
| Analysis | Processing retained set of articles for insight and building on the work of previous researchers | Bibliometric analysis |
| Item Code | Question | |
|---|---|---|
| 1 | SO1 | We have definite and precise strategic objective 我们的组织有明确、精确的战略目标 |
| 2 | SO2 | We have precise procedures for achieving strategic objectives 我们有实现战略目标的精确程序 |
| 3 | SP | Our strategy is made explicit in the form of precise plans 我们的战略目标有精确计划,因此十分明确 |
| 4 | SDM | We make strategic decisions based on a systematic analysis of our business environment 我们在系统分析业务环境的基础上做出战略决策 |
| 5 | SSCS | To keep in line with our business environment, we make continual small-scale changes to strategy 为与业务环境保持一致,我们会对战略做出小规模改变 |
| 6 | SC1 | Our strategies emerge gradually as we respond to the need to change 我们的战略是随着对改变需求的响应而逐步形成的 |
| 7 | SC2 | Our strategy develops through a process of ongoing adjustment 我们的战略在不断调整的过程中不断发展 |
| 8 | SCOMMIT (SCO) | We keep the early commitment to a strategy tentative 我们对战略目标的早期承诺是暂时性的 |
| 9 | SCULTURE (SSOL) | Our organization’s history directs our search for solutions to strategic issues 我们的历史经验能够指导我们寻求战略问题的解决方案 |
| 10 | SVISION (SVI) | The strategy we follow is directed by a vision of the future associated with the chief executive (or another senior figure) 我们的战略是由主要执行领导(或其他高层人物)对未来的愿景指导的 |
| 11 | ORGC | Effective organizational change requires certain significant and dramatic steps or leaps’ rather than moderate incremental ones 有效的组织变革需要重大的、戏剧性的步骤或飞跃,而不是温和的渐进性的 |
| 12 | INTL | Our organization has international influence 我所在的组织具有国际影响力 |
| SS | Purpose | Search | Filters | Res. | R. |
|---|---|---|---|---|---|
| Equivalent to PRISMA Phases 1 and 2: Identification and Screening | |||||
| 1 | Scoping BoK | AL: S | 593,886 | ||
| 2 | Scoping BoK | TS: S | 574,395 | ||
| 3 | Scoping BoK | AB: S | 453,188 | ||
| 4 | Scoping BoK | TI: S | 100,086 | ||
| 5 | Scoping BoK | TI: M | 142,553 | ||
| 6 | Scoping BoK | TI: M, TI: S | 2658 | ||
| 7 | To find SM in NGOs | SS6 | F1: Publication year 2016—2023 (UN SDG adopted) | 794 | |
| F2: Types: articles, Review, Early Access | 710 | ||||
| F3: WoS categories see [1] | 400 | ||||
| 8 | SS7—TI: SM, TI: N | 0 | |||
| 9 | SS7—AB: SM, AB: N | 45 | |||
| F1: Publication year 2019–2023 | 17 | 17 | |||
| 10 | SS6—TI: SM, AL: SU | 202 | |||
| F1: Types: Proceedings, Article Review | 197 | ||||
| F2a: WoS: Business | 53 | ||||
| F3a: Publication year: 2019—2024 | 15 | 15 | |||
| F2b: WoS: Management | 97 | 17 | |||
| F2c: WoS: Public Administration | 12 | 12 | |||
| 11 | INGO scoping | AB: IN; TI: IN | 41 | 17 | |
| 12 | UN scoping | AB: UN | 17,645 | ||
| F1: Types: Review Articles | 1732 | ||||
| F2: WoS: Public Administration | 36 | ||||
| 2016 UN SDG | F3: Publication year: 2016—2024 | 15 | 15 | ||
| 13 | SDG scoping | TI: UN; AB: SDG | 127 | ||
| F1: WoS: Business and management | 17 | 15 | |||
| Total articles retained from search strategies above | 108 | ||||
| Articles obtained from other sources (Also part of PRISMA Identification Phase) | 80 | ||||
| Retained from CLR | 188 | ||||
| Equivalent to PRISMA Phase 3: Eligibility | |||||
| Level 1: Highly Relevant | 21 | ||||
| Level 2: Partially Relevant | 24 | ||||
| Level 3: Little Relevance | 39 | ||||
| Equivalent to PRISMA Phase 4: Included | |||||
| Article | Unit of Study | Object of Study | Area | SM | Method | Country |
|---|---|---|---|---|---|---|
| Baluch & Ridder, 2021 | NPO | Human Resources | SHRM | - | SLR | - |
| Boyne & Walker, 2010 | PS | - | SM | Performance | Review and Discussion | - |
| J. M. Bryson & George, 2020 | Public Organization or Other Entities | - | SM | Planning Formulation Implementation | Review | - |
| J. Bryson & Edwards, 2017 | Public Sector | - | SM | Planning | Approaches Analysis | United States |
| Castellini, 2014 | Cooperative Associations | Stakeholders | SM | - | Contingency Approach | Italy |
| Cuganesan et al., 2012 | PS | Executive, senior, middle managers, personnel | SMA | Planning Formulation Practice at large | Case study | Australia |
| Farjoun, 2002 | Firm | - | SM | Formulation Implementation | Organic Approach | - |
| C. Han & Gao, 2020 | Firm | SM | Competitiveness | Survey | China | |
| Höglund et al., 2021 | PS | - | SM | Control | Case Study | Sweden |
| Johnsen, 2015 | PS | SM processes An agency Managers | SM | Planning | Mintzberg’s framework of ten strategic management schools of thought | Norway |
| Johnson, 2016 | International Bureaucracies Non-governmental organizations | Relations between IGOs and NGOs | Gov. | - | New interdependence approach Case study | UN |
| Khanin et al., 2021 | Organization’s Board | Directors | SM | Process | Behavioral Agency Theory | Canada |
| Nag et al., 2007 | Business | Scholars and authors | SM | Definition | Interview and Literature Review | - |
| C. Oliver, 1997 | Firm | - | Co | - | RBV and Institutional theory | - |
| A. J. Olivier & Schwella, 2018 | PS | All | SM | Planning Execution | Literature Review and Case Study | Namibia |
| Poister, 2010 | PS | - | SM | Planning | Review and Discussion | United States |
| Rialti et al., 2020 | Big European Organizations | Managers | SM | Formulation | SEM - Survey | Europe |
| UN | PS | Managers | SM | Planning | Guidelines | UN-ICAO |
| Wan et al., 2022 | IGO | CIO | SM | Planning Intent Formulation Change Performance | Survey | UN |
| Wan et al., 2020 | PS | Officials | CM | - | Survey | UN |
| Young et al., 2012 | State/Public | Leaders | Project Management | Case Study | Victoria, Canada |
| Journal | |
|---|---|
| Management Decision | 4 |
| Strat. Mgmt. J. | 3 |
| Strategic Management Journal | 3 |
| Public Administration Review | 3 |
| Int. J. Adv. Multidisciplinary. Research | 2 |
| Public Management Review | 2 |
| Public Money and Management | 2 |
| Review of Public Personnel Administration | 2 |
| Article | Title | Purpose | Findings |
|---|---|---|---|
| Wan et al., 2022 | Empirical analysis of strategic management in inter-governmental organization | To present a strategic change theoretical model and empirically validate it in the context of inter-governmental organizations. | It identified relations among institutional pressures, strategic intent, strategic change, and strategic formulation. (1) Institutional pressures had a significant negative influence on strategic formulation. (2) Strategic intent positively influenced strategic formulation and strategic change. (3) Strategic formulation had a partial mediation effect on strategic intent and strategic change. (4) Institutional pressures did not have a considerable influence on strategic intent. (5) Institutional pressures significantly derived IGOs’ strategic formulation process and led to their rigidness. |
| Höglund et al., 2021 | Strategic management, management control practices, and public value creation: the strategic triangle in the Swedish public sector | To enhance understanding of the conceptualization and operationalization of public value in practice by applying Moore’s (1995) strategic triangle as an analytical framework to study strategic management and management control practices in relation to public value. | The findings suggest three propositions: (1) strategic alignment is vulnerable to management control practices having a strong focus on performance measurements. (2) Strategic alignment is vulnerable to standardized management control practices. (3) Strategic alignment is vulnerable to politically driven management control practices. |
| Baluch & Ridder, 2021 | Mapping the research landscape of strategic human resource management in non-profit organizations: A systematic review and avenues for future research | To provide a comprehensive systematic review of recent theoretical developments and empirical insights with regard to strategic human resource management (SHRM) in NPOs between 2008 and 2017. | (1) New emergent themes of tensions, managerial discretion, and variety in responses that center on the role of managers in shaping and accounting for differences in organizational approaches were identified. (2) An NPO’s strategic orientation was driven by different contexts and organizational goals, leading to different usage of HR practices. (3) Resource-oriented NPOs started from the intrinsic motivation of their human capital in line with the organization’s mission. (4) Empirical patterns of HR configuration, including administrative, employee-oriented, and hybrid were identified. (5) Variations in employees’ perceptions of and responses to HR practices were scarcely studied compared to the for-profit realm. |
| J. Bryson & George, 2020 | Strategic management in public administration | To introduce strategic management in public administration. | The article presented key elements of strategic management in public administration: strategy, strategizing, strategic planning, and strategic management. Criticism of these elements was discussed, and an overview of different generic types of strategic planning and strategic management systems was provided. |
| Khanin et al., 2021 | The possible pitfalls of board’s engagement in the strategic management process | To outline a conduct outlook on boards based on the behavioral agency theory. | Director’s participation in the strategic management process may boost directors’ satisfaction with firm’s performance, strategic planning, and strategy. |
| Rialti et al., 2020 | Achieving strategic flexibility in the era of big data—The importance of knowledge management and ambidexterity | To unpack the micro-mechanism that exists between an organization’s ability to conduct big data analytics (BDA) and its achievement of strategy flexibility. | It was observed that BDA capabilities and knowledge management capabilities have a significant role in fostering a company’s ambidexterity and strategic flexibility. The interplay between the two capabilities allowed the company to be ambidextrous and strategically flexible, finally resulting in superior performance. |
| C. Han & Gao, 2020 | A chai multiple mediation model linking strategic, management, and technological innovations to firm competitiveness | To build an integrated framework to discuss the influence of three types of innovations, i.e., strategic, management, and technological innovations, on form competitiveness. | Although strategic, management, and technological innovations, on form competitiveness were carried out at different organizational levels, they formulated a holistic framework to jointly improve firm competitiveness. Strategic innovation strengthened firm competitiveness through three parallel routes: management innovation, technological innovation, and serial mediating mechanisms of management and technological innovations. The mediation effect of management innovation is significantly stronger than that of technological innovation. |
| Wan et al., 2020 | Deriving significant factors for managing change in UN | To identify key factors for managing change in the UN | Three significant factors, communication, temporal sensitivity, and knowledge were found to represent a shared common theoretical proposition from Kotter’s, Lewin’s, and ADKAR models. Extracted factor explains the proposed UN model. |
| J. Bryson & Edwards, 2017 | Strategic planning in the Public Sector | To identify and elaborate on the research agenda regarding public-sector strategic planning using a more open approach. Important questions arising from the literature were included to provide further insights. | (1) Dimensions of internal and external contexts made a difference. (2) Differences across organization types, functions, sub-units, or places were identified. (3) Dependence of strategic planning on policy fields was observed. (4) Resources required for effective strategic planning. (5) There are effects of difference between strategic artifacts on strategic planning. (6) Connections between strategic planning and other elements of strategic management were presented. |
| Johnson, 2016 | Cooperation, co-optation, competition, conflict: international bureaucracies and non-governmental organizations in an interdependent world | To develop a 4Cs taxonomy of when cooperative, co-optative, competitive, or conflictual relations arise between NGOs and international bureaucracies and examine it with the example of the Food and Agricultural Organization (FAO). | The 4Cs taxonomy suggested that: shared values and distinct resource bases led to cooperation; Shared values and same resource led to co-optation; not shared values and no distinct resource bases led to competition; No shared values and different resources led to conflict. |
| Johnsen, 2015 | Strategic management thinking and practices in the public sector: strategic planning for all seasons? | To explore how strategic management thinking manifests itself in strategic management practice in the public sector. | Strategic management in the public sector extensively used strategic planning, bundled with certain other schools of thought. (1) The study supported the notion that strategic planning was dominant in strategic thinking. (2) Both the cognitive and entrepreneurial schools were relatively unimportant in strategic thinking in the public sector. |
| Castellini, 2014 | Stakeholder theory and strategic management in third sector: an analysis on Italian cooperative associations | To identify how the cooperative associations in Italy implement their strategic objectives. | Most important steps and tools for planning and controlling cycle were identified; a definition of the State of the Art was formulated in relation to cooperative associations activities; opportunities for control tools and their applications were identified. |
| Cuganesan et al., 2012 | Strategic management accounting and strategy practices within a public sector agency | To examine the role of management accounting in organizational practices that enact strategy. | It expanded the existing knowledge of the specific roles of strategic management accounting in strategizing. Management accounting created shared understanding by objectifying, mobilizing, and connecting strategic concerns across strategic practices and practitioners. It mediated diverse strategic interests and recast strategic practices. It actively reconstitutes strategic practices and engenders new forms of management accounting, creating both change and continuity for strategizing. |
| Young et al., 2012 | Is strategy being implemented through projects? Contrary evidence from a leader in New Public Management | To report on the effectiveness of the project management and investment frameworks in the State of Victoria. | (1) The Victorian project management and investment practices were comparable with and sometimes better than the best practices. (2) The projects generally may fail to contribute to organization strategic outcomes. (3) Even deemed successful projects provided no assurance for supporting the organizational strategy. |
| Boyne & Walker, 2010 | Strategic management and public service performance: the way ahead | To review arguments and evidence on the most effective strategies that organizations adopted to pursue their objectives and set out an agenda for research toward better performance. | The review of evidence indicated that some small steps have been taken on a long journey, but that further steps should be taken by clearly theorizing the relationship between strategy and publicness, and by being cognizant of national context. |
| Poister, 2010 | The future of strategic planning in the public sector: linking strategic management and performance | To look at the mid-term future of strategic planning in the public sector from a managerial perspective over the next decade to the year 2020. | Moving from planning strategy and measuring the performance of ongoing programs on the one hand, to implementing strategy and using performance information to improve performance, on the other, will be essential for public agencies to significantly increase their capacity to meet new and unforeseen challenges and create public value in the next 10 years. |
| Nag et al., 2007 | What is strategic management, really? Inductive derivation of a consensus definition of the field. | To answer the question of why strategic management enjoyed great success, it was commonly asserted that the study on it was fragmented and lacked a coherent identity. To define strategic management and then supplement it with an examination. | The findings suggested that strategic management’s success as a field emerged from an underlying consensus that enabled it to attract multiple perspectives, while still maintaining its coherent distinctiveness. |
| Farjoun, 2002 | Toward an organic perspective on strategy | To propose an organic perspective that combines the insights and coherence of the mechanistic perspective with the more relevant organic ideas. | It is found that the organic perspective offered a coherent view of core strategy issues. Three pillars for an organic perspective offered distinctive view: (1) the organic concept of strategy stressed action, coordination, and adaptation. (2) The OESP (organization-environment-strategy-performance) showed how different lower-level models stemmed from a more integrated and dynamic overview of the field’s main constructs and relationships. (3) The organic model of strategic management highlighted the recurrent and integrated aspects of the process and suggested a more holistic view of strategy itself. |
| C. Oliver, 1997 | Sustainable competitive advantage: combining institutional and resource-based views | To propose a process model of firm heterogeneity that combines the insights of resource-based view with the institutional perspective of the organization theory. | Both resource capital and institutional capital are indispensable to sustainable competitive advantage. |
| A. J. Olivier & Schwella, 2018 | Closing the strategy execution gap in the public sector | To develop a conceptual model in the public sector in response to the significant gap between strategy planning and execution. | There were nine elements key to closing the strategy execution gap: leadership, strategic planning, project management, alignment, performance management (MERIL), drive, engagement, risk management, and stakeholder management. A conceptual model was derived by integrating the above nine components. |
| UN | Strategic planning guide for managers | To provide practical techniques based on global management best practices for all UN officers, departments, and missions. | --- |
| SS | SS | SS | HC | CM | CM | CM | HC | HC | SS | SS | SS | |
|---|---|---|---|---|---|---|---|---|---|---|---|---|
| # | SO1 | SO2 | SP | SDM | SSCS | SC1 | SC2 | SCO | SSOL | SVI | ORGC | INTL |
| 1 | ✓ | ✓ | ✓ | ✓ | ✓ | |||||||
| 2 | ✓ | ✓ | ✓ | |||||||||
| 3 | ✓ | ✓ | ✓ | |||||||||
| 4 | ✓ | |||||||||||
| 5 | ✓ | ✓ | ||||||||||
| 6 | ✓ | ✓ | ✓ | |||||||||
| 7 | ✓ | |||||||||||
| 8 | ✓ | |||||||||||
| 9 | ✓ | |||||||||||
| 10 | ✓ | |||||||||||
| 11 | ✓ | ✓ | ||||||||||
| 12 | ✓ | |||||||||||
| 13 | ✓ | |||||||||||
| 14 | ||||||||||||
| 15 | ✓ | ✓ | ||||||||||
| 16 | ✓ | |||||||||||
| 17 | ✓ | |||||||||||
| 18 | ||||||||||||
| 19 | ✓ | ✓ | ✓ | ✓ | ✓ | ✓ | ||||||
| 20 | ✓ | ✓ | ||||||||||
| 21 | ✓ | ✓ |
| Variable | Mean | SD | SKW | KRT | Interpretation Summary |
|---|---|---|---|---|---|
| SO1 | 1.35 | 0.54 | 1.2 | 0.53 | Strong agreement on strategic objectives, with low variability and positive skew towards agreement. Responses are concentrated around ‘Strongly Agree’. |
| SO2 | 1.62 | 0.72 | 1.19 | 1.87 | High agreement with strategic objectives, but more dispersed than SO1. Responses are still positively skewed towards agreement, with most concentrated around ‘Agree’. |
| SP | 1.76 | 0.8 | 0.83 | 0.21 | General agreement with strategic planning. Some respondents are neutral, and the distribution is more balanced, showing a moderate positive skew. |
| SDM | 1.76 | 0.76 | 0.45 | −1.1 | Agreement with strategic decision-making, with more evenly distributed responses. Skewness is low, and kurtosis indicates a flatter distribution. |
| SSCS | 1.7 | 0.62 | 0.28 | −0.54 | Most respondents agree with small-scale strategy changes, with little skewness and a flatter distribution. Neutrality is less common but present. |
| SC1 | 2 | 0.7 | 0.5 | −0.45 | Agreement with strategic change, but responses are more balanced between agree and neutral, with moderate positive skew. |
| SC2 | 2.02 | 0.72 | 0.55 | −0.35 | Like SC1, there is general agreement, but more neutrality is observed, with moderate variability and positive skew. |
| SCOMMIT | 2.15 | 0.91 | 0.95 | 0.55 | Agreement on strategic commitment, though responses are more variable with some neutral and disagreeable responses. Higher skewness suggests more respondents lean toward positive agreement. |
| SSOL | 2.12 | 0.81 | 1.18 | 1.65 | General agreement on strategic culture, but with noticeable variability and a skew towards agreement. Responses are clustered around agree, but neutrality and higher scores appear more often. |
| SVISION | 2 | 0.77 | 0.45 | −0.8 | Agreement with strategic vision, with moderate spread of responses and a more balanced skew. The kurtosis suggests a flatter distribution, meaning more varied responses. |
| OrgC | 2.2 | 1.08 | 0.6 | −1.07 | Neutral-to-agree responses on organizational change. Some of the respondents expressed neutrality or disagreement, resulting in a more balanced distribution. |
| INTL | 2.25 | 0.91 | 0.95 | 0.55 | Mixed responses on international influence. While there is agreement, a notable proportion of respondents are neutral or disagree, and the positive skew reflects more agreement overall. |
| Factor 1 Strategic Change | Factor 2 Strategic Formulation | Factor 3 Strategic Alignment | |
| INTL | 0.03 | **0.36** | 0.21 |
| OrgC | 0.15 | 0.28 | 0.3 |
| SC1 | **0.58** | 0.1 | 0.08 |
| SC2 | **0.53** | 0.18 | 0.1 |
| SCOMMIT | 0.27 | **0.37** | 0.21 |
| SSOL | 0.07 | 0.13 | **0.52** |
| SDM | 0.07 | 0.04 | **0.56** |
| SO1 | 0 | 0.15 | **0.42** |
| SO2 | 0.16 | **0.47** | 0.06 |
| SP | 0.07 | **0.43** | 0.18 |
| SSCS | **0.50** | 0.15 | 0.07 |
| SVISION | 0.01 | **0.38** | 0.05 |
Disclaimer/Publisher’s Note: The statements, opinions and data contained in all publications are solely those of the individual author(s) and contributor(s) and not of MDPI and/or the editor(s). MDPI and/or the editor(s) disclaim responsibility for any injury to people or property resulting from any ideas, methods, instructions or products referred to in the content. |
© 2025 by the authors. Licensee MDPI, Basel, Switzerland. This article is an open access article distributed under the terms and conditions of the Creative Commons Attribution (CC BY) license (https://creativecommons.org/licenses/by/4.0/).
Share and Cite
Zhang, X.; Saadé, R.G. Towards a Deeper Understanding of Strategic Management Factors in International Non-Governmental Organizations. Adm. Sci. 2025, 15, 34. https://doi.org/10.3390/admsci15020034
Zhang X, Saadé RG. Towards a Deeper Understanding of Strategic Management Factors in International Non-Governmental Organizations. Administrative Sciences. 2025; 15(2):34. https://doi.org/10.3390/admsci15020034
Chicago/Turabian StyleZhang, Xue, and Raafat George Saadé. 2025. "Towards a Deeper Understanding of Strategic Management Factors in International Non-Governmental Organizations" Administrative Sciences 15, no. 2: 34. https://doi.org/10.3390/admsci15020034
APA StyleZhang, X., & Saadé, R. G. (2025). Towards a Deeper Understanding of Strategic Management Factors in International Non-Governmental Organizations. Administrative Sciences, 15(2), 34. https://doi.org/10.3390/admsci15020034

