The Influence of Remote Work on Personality Trait–Performance Linkages: A Two-Wave Longitudinal Study
Abstract
1. Introduction
2. Theoretical Background
2.1. Hypotheses: Personality Traits and Performance Outcomes
2.2. Hypotheses: Moderating Role of Remote Work
2.3. Open Research Questions
3. Methods
3.1. Participants and Procedures
3.2. Measures
3.3. Data Analysis
4. Results
4.1. Preliminary Analysis
4.2. Personality Traits–Performance Linkages
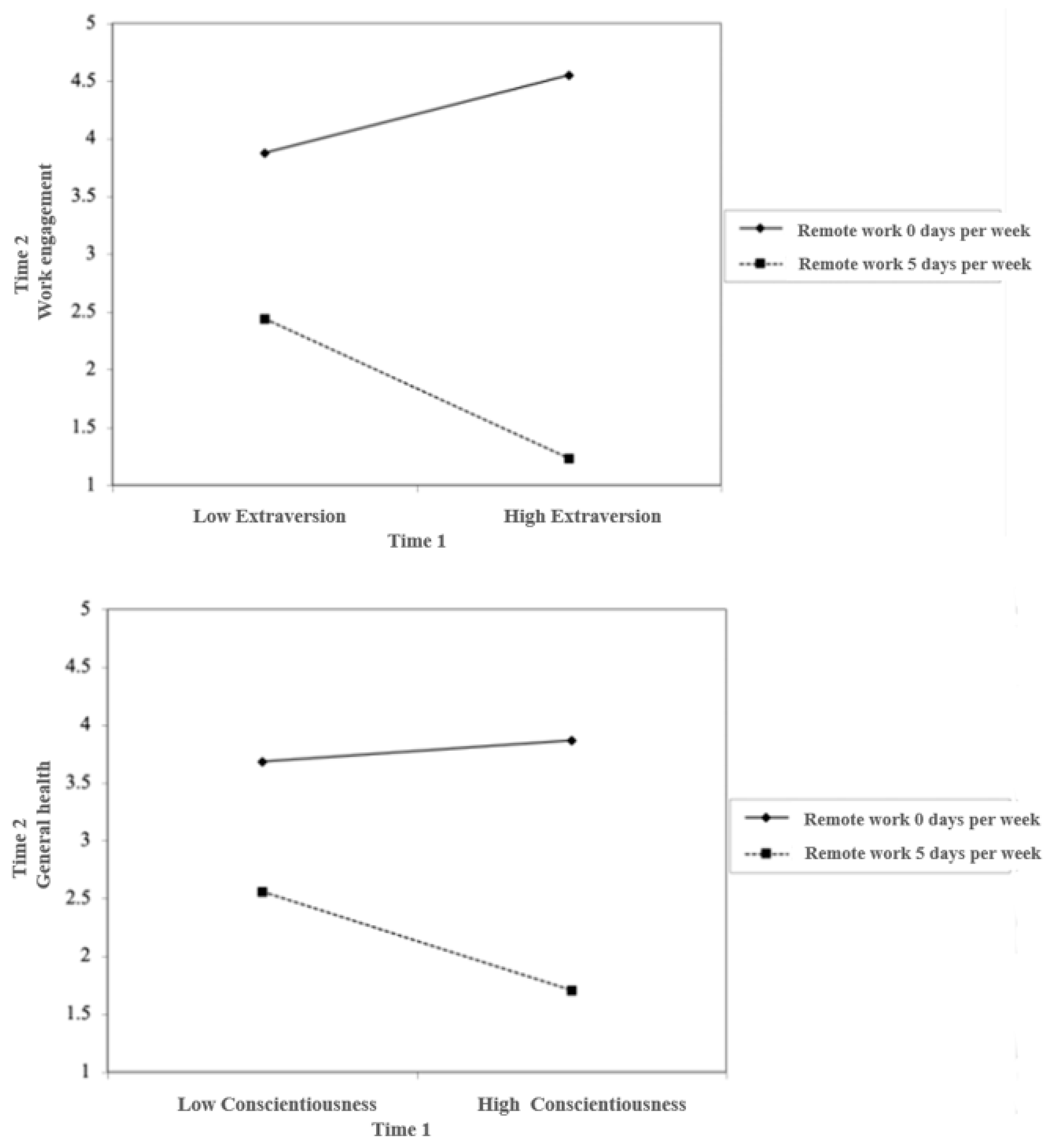
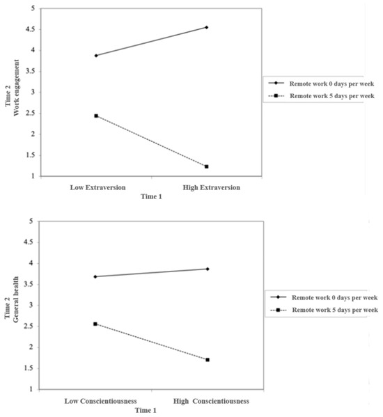
4.3. Remote Work as a Moderator on the Association between Personality Traits and Work Outcomes
5. Discussion
5.1. Personality Traits and Performance Outcomes
5.2. Moderating Role of Remote Work
6. Implications
6.1. Theoretical Implications
6.2. Practical Implications
7. Limitations
8. Concluding Remarks
Author Contributions
Funding
Institutional Review Board Statement
Informed Consent Statement
Data Availability Statement
Conflicts of Interest
Correction Statement
Appendix A
| χ2 | df | CFI | TLI | RMSEA | SRMR | |
|---|---|---|---|---|---|---|
| M1. One overall factor | 358.104 | 27 | 0.934 | 0.912 | 0.124 | 0.044 |
| M2. Three correlated factors | 54.849 | 24 | 0.994 | 0.991 | 0.040 | 0.016 |
| M3. Second-order factor | 54.849 | 24 | 0.994 | 0.991 | 0.040 | 0.016 |
| Δχ2 | Δdf | p-value | ||||
| M1 vs. M2/M3 | 303.255 | 3 | <0.001 |
Appendix B
| Item | β | |
|---|---|---|
| Agreeableness T1 | 2. Sympathise with others’ feelings. | 0.687 |
| 7. Am not interested in other people’s problems. (R) | 0.802 | |
| 12. Feel others’ emotions. | 0.739 | |
| 17. Am not really interested in others. (R) | 0.717 | |
| Extraversion T1 | 1. Am the life of the party. | 0.703 |
| 6. Don’t talk a lot. (R) | 0.763 | |
| 11. Talk to a lot of different people at parties. | 0.665 | |
| 16. Keep in the background. (R) | 0.794 | |
| Conscientiousness T1 | 8. Often forget to put things back in their proper place. (R) | 0.551 |
| 18. Make a mess of things. (R) | 0.905 | |
| Neuroticism T1 | 4. Have frequent mood swings. | 0.784 |
| 9. Am relaxed most of the time. (R) | 0.580 | |
| 14. Get upset easily. | 0.732 | |
| 19. Seldom feel blue. (R) | 0.534 | |
| Intellect/imagination T1 | 10. Am not interested in abstract ideas. (R) | 0.784 |
| 15. Have difficulty understanding abstract ideas. (R) | 0.793 | |
| Idea generation_IWB T2 | 1. Creating new ideas for improvements. | 0.831 |
| 2. Searching out new working methods, techniques, or instruments. | 0.824 | |
| 3. Generating original solutions to problems. | 0.721 | |
| Idea promotion_IWB T2 | 4. Mobilising support for innovative ideas. | 0.849 |
| 5. Acquiring approval for innovative ideas. | 0.871 | |
| 6. Making important organisational members enthusiastic for innovative ideas. | 0.844 | |
| Idea realisation_IWB T2 | 7. Transforming innovative ideas into useful applications. | 0.872 |
| 8. Introducing innovative ideas into the work environment in a systematic way. | 0.816 | |
| 9. Evaluating the utility of innovate ideas. | 0.799 | |
| Work engagement T2 | 1. At my work, I feel bursting with energy. | 0.794 |
| 2. I am enthusiastic about my job. | 0.898 | |
| 3. I am immersed in my work. | 0.683 |
References
- Abuhav, Itay. 2017. A Complete Guide to Quality Management Systems. ISO 9001:2015. Boca Raton: CRC Press. [Google Scholar]
- Aiken, Leona S., Stephen G. West, and Raymond R. Reno. 1991. Multiple Regression: Testing and Interpreting Interactions. Londdon: Sage. [Google Scholar]
- Anglim, Jeromy, and Sharon Horwood. 2021. Effect of the COVID-19 pandemic and big five personality on subjective and psychological well-being. Social Psychological and Personality Science 12: 1527–37. [Google Scholar] [CrossRef]
- Anglim, Jeromy, Sharon Horwood, Luke D. Smillie, Rosario J. Marrero, and Joshua K. Wood. 2020. Predicting psychological and subjective well-being from personality: A meta-analysis. Psychological Bulletin 146: 279–323. [Google Scholar] [CrossRef] [PubMed]
- Aronsson, Gunnar, and Tomas Lindh. 2004. Långtidsfriskas arbetsvillkor: En populationsstudie. Arbete och Halsa 10: 1–21. [Google Scholar]
- Bakker, Arnold B., Maria Tims, and Daantje Derks. 2012. Proactive personality and job performance: The role of job crafting and work engagement. Human Relations 65: 1359–78. [Google Scholar] [CrossRef]
- Barrick, Murray R., and Michael K. Mount. 1991. The Big 5 Personality Dimensions And Job-Performance—A Metaanalysis. Personnel Psychology 44: 1–26. [Google Scholar] [CrossRef]
- Blank, Lindsay, Emma Hock, Anna Cantrell, Susan Baxter, and Elizabeth Goyder. 2023. Exploring the relationship between working from home, mental and physical health and wellbeing: A systematic review. Public Health Research 11: 1–100. [Google Scholar] [CrossRef] [PubMed]
- Buecker, Susanne, Marlies Maes, Jaap J. A. Denissen, and Maike Luhmann. 2020. Loneliness and the Big Five personality traits: A meta–analysis. European Journal of Personality 34: 8–28. [Google Scholar] [CrossRef]
- Cohen, Patricia, Stephen G. West, and Leona S. Aiken. 2013. Applied Multiple Regression/Correlation Analysis for the Behavioral Sciences. London: Routledge. [Google Scholar]
- DeCoster, Jamie, Anne-Marie R. Iselin, and Marcello Gallucci. 2009. A conceptual and empirical examination of justifications for dichotomization. Psychological Methods 14: 349–66. [Google Scholar] [CrossRef] [PubMed]
- DeSalvo, Karen B., William P. Fisher, Ky Tran, Nicole Bloser, William Merrill, and John Peabody. 2006. Assessing measurement properties of two single-item general health measures. Quality of Life Research 15: 191–201. [Google Scholar] [CrossRef]
- Digman, John M. 1990. Personality structure: Emergence of the five-factor model. Annual Review of Psychology 41: 417–40. [Google Scholar] [CrossRef]
- Donnellan, M. Brent, Frederick L. Oswald, Brendan M. Baird, and Richard E. Lucas. 2006. The mini-IPIP scales: Tiny-yet-effective measures of the Big Five factors of personality. Psychological Assessment 18: 192–203. [Google Scholar] [CrossRef] [PubMed]
- Enders, Craig K. 2001. The impact of nonnormality on full information maximum-likelihood estimation for structural equation models with missing data. Psychological Methods 6: 352–70. [Google Scholar] [CrossRef] [PubMed]
- Evans, Anthony M., M. Christina Meyers, Philippe P. F. M. Van De Calseyde, and Olga Stavrova. 2022. Extroversion and conscientiousness predict deteriorating job outcomes during the COVID-19 transition to enforced remote work. Social Psychological and Personality Science 13: 781–91. [Google Scholar] [CrossRef]
- Feher, Anita, and Philip A. Vernon. 2021. Looking beyond the Big Five: A selective review of alternatives to the Big Five model of personality. Personality and Individual Differences 169: 110002. [Google Scholar] [CrossRef]
- Fornell, Claes, and David F. Larcker. 1981. Evaluating structural equation models with unobservable variables and measurement error. Journal of Marketing Research 18: 39–50. [Google Scholar] [CrossRef]
- Galanti, Teresa, Gloria Guidetti, Elisabetta Mazzei, Salvatore Zappalà, and Ferdinando Toscano. 2021. Work from home during the COVID-19 outbreak: The impact on employees’ remote work productivity, engagement, and stress. Journal of Occupational and Environmental Medicine 63: e426–32. [Google Scholar] [CrossRef] [PubMed]
- Guion, Robert M., and Richard F. Gottier. 1965. Validity of personality measures in personnel selection. Personnel Psychology 18: 135. [Google Scholar] [CrossRef]
- Hurtz, Gregory M., and John J. Donovan. 2000. Personality and job performance: The Big Five revisited. Journal of Applied Psychology 85: 869–79. [Google Scholar] [CrossRef]
- Judge, Timothy A., and Cindy P. Zapata. 2015. The person–situation debate revisited: Effect of situation strength and trait activation on the validity of the Big Five personality traits in predicting job performance. Academy of Management Journal 58: 1149–79. [Google Scholar] [CrossRef]
- Klein, Andreas, and Helfried Moosbrugger. 2000. Maximum likelihood estimation of latent interaction effects with the LMS method. Psychometrika 65: 457–74. [Google Scholar] [CrossRef]
- Kline, Rex B. 2015. Principles and Practice of Structural Equation Modeling. New York: Guilford Publications. [Google Scholar]
- Kniffin, Kevin M., Jayanth Narayanan, Frederik Anseel, John Antonakis, Susan P. Ashford, Arnold B. Bakker, Peter Bamberger, Hari Bapuji, Devasheesh P. Bhave, Virginia K. Choi, and et al. 2021. COVID-19 and the workplace: Implications, issues, and insights for future research and action. American Psychologist 76: 63–77. [Google Scholar] [CrossRef]
- Leonardi, Paul M., and Jeffrey W. Treem. 2020. Behavioral visibility: A new paradigm for organization studies in the age of digitization, digitalization, and datafication. Organization Studies 41: 1601–25. [Google Scholar] [CrossRef]
- Leonardi, Paul M., Sienna Helena Parker, and Roni Shen. 2024. How remote work changes the world of work. Annual Review of Organizational Psychology and Organizational Behavior 11: 193–219. [Google Scholar] [CrossRef]
- Macias, Cathaleene, Paul B. Gold, Dost Öngür, Bruce M. Cohen, and Trishan Panch. 2015. Are single-item global ratings useful for assessing health status? Journal of Clinical Psychology in Medical Settings 22: 251–64. [Google Scholar] [CrossRef]
- Muthén, Linda K., and Bengt O. Muthén. 2017. 1998–2017 Mplus User’s Guide. Los Angeles: Muthén and Muthén. [Google Scholar]
- Oksa, Reetta, Anne Mäkikangas, Nina Savela, Rita Latikka, and Atte Oksanen. 2023. Longitudinal development of well-being among Finnish employees during 2019–21: Relationships with personality trait profiles. Scandinavian Journal of Psychology 64: 179–93. [Google Scholar] [CrossRef]
- Olsen, Espen, Seth Ayisi Junior Addo, Susanne Sørensen Hernes, Marit Halonen Christiansen, Arvid Steinar Haugen, and Ann-Chatrin Linqvist Leonardsen. 2024. Psychometric properties and criterion related validity of the Norwegian version of hospital survey on patient safety culture 2.0. BMC Health Services Research 24: 642. [Google Scholar] [CrossRef]
- O’Neill, Thomas A., Laura A. Hambley, and Gina S. Chatellier. 2014. Cyberslacking, engagement, and personality in distributed work environments. Computers in Human Behavior 40: 152–60. [Google Scholar] [CrossRef]
- Oshio, Atsushi, Kanako Taku, Mari Hirano, and Gul Saeed. 2018. Resilience and Big Five personality traits: A meta-analysis. Personality and Individual Differences 127: 54–60. [Google Scholar] [CrossRef]
- Østby, K. A., A. Mykletun, and W. Nilsen. 2018. Personality and long-term health-related benefits. Occupational Medicine 68: 444–47. [Google Scholar] [CrossRef]
- Parra, Carlos M., Manjul Gupta, and Trevor Cadden. 2022. Towards an understanding of remote work exhaustion: A study on the effects of individuals’ big five personality traits. Journal of Business Research 150: 653–62. [Google Scholar] [CrossRef]
- Patitsa, Christina D., Kyriaki Sotiropoulou, Venetia Giannakouli, Panagiotis A. Tsaknis, and Alexandros G. Sahinidis. 2023. The relationship between personality, well-being, and gratitude in teleworking. Corporate and Business Strategy Review 4: 98–107. [Google Scholar] [CrossRef]
- Raynik, Yulia I., Hans-Helmut König, and André Hajek. 2020. Personality Factors and Sick Leave Days. Evidence from a Nationally Representative Longitudinal Study in Germany. International Journal of Environmental Research and Public Health 17: 1089. [Google Scholar] [CrossRef] [PubMed]
- Schaufeli, Wilmar B., Akihito Shimazu, Jari Hakanen, Marisa Salanova, and Hans De Witte. 2019. An ultra-short measure for work engagement. European Journal of Psychological Assessment 35: 577–91. [Google Scholar] [CrossRef]
- Soldz, Stephen, and George E. Vaillant. 1999. The Big Five personality traits and the life course: A 45-year longitudinal study. Journal of Research in Personality 33: 208–32. [Google Scholar] [CrossRef]
- Tett, Robert P., Margaret J. Toich, and S. Burak Ozkum. 2021. Trait activation theory: A review of the literature and applications to five lines of personality dynamics research. Annual Review of Organizational Psychology and Organizational Behavior 8: 199–233. [Google Scholar] [CrossRef]
- Van der Vegt, Gerben S., and Onne Janssen. 2003. Joint impact of interdependence and group diversity on innovation. Journal of Management 29: 729–51. [Google Scholar] [CrossRef]
- Wilmot, Michael P., and Deniz S. Ones. 2019. A century of research on conscientiousness at work. Proceedings of the National Academy of Sciences the United States of America 116: 23004–10. [Google Scholar] [CrossRef]
- Wilmot, Michael P., Connie R. Wanberg, John D. Kammeyer-Mueller, and Deniz S. Ones. 2019. Extraversion advantages at work: A quantitative review and synthesis of the meta-analytic evidence. Journal of Applied Psychology 104: 1447–70. [Google Scholar] [CrossRef]
- Zell, Ethan, and Tara L. Lesick. 2022. Big five personality traits and performance: A quantitative synthesis of 50+ meta-analyses. Journal of Personality 90: 559–73. [Google Scholar] [CrossRef]



| n | % | |
|---|---|---|
| Gender | ||
| Female | 365 | 45.6% |
| Male | 436 | 54.4% |
| Age | ||
| 20–24 | 13 | 1.6% |
| 25–39 | 267 | 33.3% |
| 40–54 | 276 | 34.5% |
| 55–66 | 203 | 25.3% |
| 67–74 | 42 | 5.2% |
| Education | ||
| Primary and lower secondary school | 15 | 1.9% |
| Secondary school (incl. former vocational school) | 100 | 12.5% |
| Vocational school and other 1–2 year programmes after upper secondary school | 145 | 18.1% |
| University/college up to 3 years (bachelor’s degree) | 250 | 31.2% |
| University/college 4 years or more (master’s degree and higher) | 287 | 35.8% |
| Other | 4 | 0.5% |
| Remote work | ||
| 0 day per week | 523 | 65.9% |
| 1 day per week | 128 | 16.1% |
| 2 days per week | 81 | 10.2% |
| 3 days per week | 28 | 3.5% |
| 4 days per week | 13 | 1.6% |
| 5 days per week | 21 | 2.6% |
| Total | 801 | - |
| Mean | SD | AVE | CR | 1 | 2 | 3 | 4 | 5 | 6 | 7 | 8 | 9 | 10 | |
|---|---|---|---|---|---|---|---|---|---|---|---|---|---|---|
| 1. Agreeableness T1 | 3.83 | 0.79 | 0.54 | 0.83 | 0.74 | |||||||||
| 2. Extraversion T1 | 3.15 | 0.91 | 0.54 | 0.82 | 0.36 * | 0.73 | ||||||||
| 3. Conscientiousness T1 | 3.92 | 0.89 | 0.56 | 0.68 | 0.12 * | 0.11 * | 0.75 | |||||||
| 4. Neuroticism T1 | 2.6 | 0.82 | 0.44 | 0.76 | 0.07 * | −0.10 * | −0.32 * | 0.67 | ||||||
| 5. Intellect/imaginationT1 | 3.4 | 0.93 | 0.62 | 0.77 | 0.27 * | 0.20 * | 0.11 * | −0.12 * | 0.79 | |||||
| 6. Work engagement T2 | 3.33 | 0.93 | 0.63 | 0.84 | 0.16 * | 0.27 * | 0.14 * | −0.22 * | 0.13 * | 0.8 | ||||
| 7. Innovative work behaviour T2 | 3.18 | 0.75 | 0.85 | 0.94 | 0.18 * | 0.28 * | 0.05 | −0.12 * | 0.22 * | 0.47 * | 0.92 | |||
| 8. General health T2 | 3.72 | 0.87 | - | - | −0.02 | 0.13 * | 0.18 * | −0.26 * | 0.01 | 0.21 * | 0.13 * | - | ||
| 9. Sick leave T2 | 2.2 | 1.31 | - | - | 0.14 * | 0.01 | −0.07 * | 0.28 * | −0.01 | −0.17 * | −0.06 | −0.34 * | - | |
| 10. Remote work T2 | 0.67 | 1.17 | - | - | −0.12 * | 0.01 | −0.02 | −0.10 * | 0.05 | 0.06 | 0.05 | 0.03 | 0.01 | - |
| Outcome (Time 2) | ||||||||
|---|---|---|---|---|---|---|---|---|
| Predictor | Behaviour | Worker Health | ||||||
| (Time 1) | Work Engagement | Innovative Work Behaviour | General Health | Sick Leave | ||||
| B | β | B | β | B | β | B | β | |
| Agreeableness | 0.10 | 0.09 | 0.08 | 0.09 | −0.07 | −0.06 | 0.19 * | 0.11 |
| Extraversion | 0.28 *** | 0.25 | 0.21 *** | 0.26 | 0.17 *** | 0.16 | −0.04 | −0.02 |
| Conscientiousness | 0.11 * | 0.11 | 0.01 | 0.01 | 0.11 * | 0.11 | −0.04 | −0.02 |
| Neuroticism | −0.18 ** | −0.16 | −0.06 | −0.07 | −0.23 *** | −0.21 | 0.38 *** | 0.23 |
| Intellect/imagination | <0.01 | <0.01 | 0.10 ** | 0.13 | −0.10 * | −0.09 | 0.06 | 0.04 |
| Control variables | ||||||||
| Age | 0.01 | 0.05 | −0.01 ** | −0.10 | −0.01 | −0.03 | −0.01 | −0.01 |
| Gender | −0.10 | −0.05 | −0.13 ** | −0.10 | −0.07 | −0.04 | 0.38 *** | 0.15 |
| Education | 0.05 | 0.07 | 0.05 * | 0.08 | 0.12 *** | 0.15 | −0.10 * | −0.08 |
Disclaimer/Publisher’s Note: The statements, opinions and data contained in all publications are solely those of the individual author(s) and contributor(s) and not of MDPI and/or the editor(s). MDPI and/or the editor(s) disclaim responsibility for any injury to people or property resulting from any ideas, methods, instructions or products referred to in the content. |
© 2024 by the authors. Licensee MDPI, Basel, Switzerland. This article is an open access article distributed under the terms and conditions of the Creative Commons Attribution (CC BY) license (https://creativecommons.org/licenses/by/4.0/).
Share and Cite
Olsen, E.; Fu, Y.; Jensen, M.T. The Influence of Remote Work on Personality Trait–Performance Linkages: A Two-Wave Longitudinal Study. Adm. Sci. 2024, 14, 144. https://doi.org/10.3390/admsci14070144
Olsen E, Fu Y, Jensen MT. The Influence of Remote Work on Personality Trait–Performance Linkages: A Two-Wave Longitudinal Study. Administrative Sciences. 2024; 14(7):144. https://doi.org/10.3390/admsci14070144
Chicago/Turabian StyleOlsen, Espen, Yusheng Fu, and Maria Therese Jensen. 2024. "The Influence of Remote Work on Personality Trait–Performance Linkages: A Two-Wave Longitudinal Study" Administrative Sciences 14, no. 7: 144. https://doi.org/10.3390/admsci14070144
APA StyleOlsen, E., Fu, Y., & Jensen, M. T. (2024). The Influence of Remote Work on Personality Trait–Performance Linkages: A Two-Wave Longitudinal Study. Administrative Sciences, 14(7), 144. https://doi.org/10.3390/admsci14070144

