Planned Happenstance and Entrepreneurship Development: The Case of Japanese Undergraduate Students
Abstract
1. Introduction
2. Literature Review
2.1. Theory of Planned Behaviour
2.2. Other Entrepreneurship-Related Factors
2.3. Happenstance Learning Theory
3. Hypotheses
3.1. Risk Propensity and Lifetime Employment Orientation
3.2. Risk Propensity and Entrepreneurship-Related Exploratory Behaviour
3.3. Lifetime Employment Orientation and Entrepreneurial Intention
3.4. Exploratory Behaviour and Entrepreneurial Intention
3.5. Mediating Roles of Exploratory Behaviour and Lifetime Employment Orientation
3.6. Leadership Experience as a Boundary Condition
4. Materials and Methods
4.1. Sample
4.2. Measures
4.3. Analytic Strategy
5. Results
5.1. Descriptive Statistics and Factor Analysis
5.2. Regression Analyses
5.3. Mediating Effects
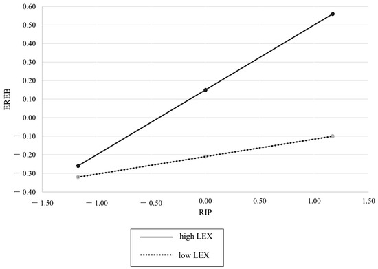
5.4. Moderating Effects
5.5. Other Results
6. Discussion
6.1. Our Findings
6.2. Theoretical Implications
6.3. Practical Implications
6.4. Limitations and Future Research Directions
Author Contributions
Funding
Institutional Review Board Statement
Informed Consent Statement
Data Availability Statement
Conflicts of Interest
References
- Adu, Isaac Nyarko, Kwame Owusu Boakye, Abdul-Razak Suleman, and Bernard Bekuni Boawei Bingab. 2020. Exploring the factors that mediate the relationship between entrepreneurial education and entrepreneurial intentions among undergraduate students in Ghana. Asia Pacific Journal of Innovation and Entrepreneurship 14: 215–28. [Google Scholar] [CrossRef]
- Ahn, Sungsik, Sun Hwa Jung, Sun Hee Jang, Xin Du, Bo Hyun Lee, Eunjeong Rhee, Norm Gysbers, and Sang Min Lee. 2015. Planned happenstance skills and occupational identity status in high school students. The Career Development Quarterly 63: 31–43. [Google Scholar] [CrossRef]
- Aiken, Leona S., and Stephen G. West. 1991. Multiple Regression: Testing and Interpreting Interactions. New York: Sage. [Google Scholar]
- Ajzen, Icek. 1991. The theory of planned behavior. Organizational Behavior and Human Decision Processes 50: 179–211. [Google Scholar] [CrossRef]
- Antoncic, Bostjan, Tina Bratkovic Kregar, Gangaram Singh, and Alex F. DeNoble. 2015. The big five personality-entrepreneurship relationship: Evidence from Slovenia. Journal of Small Business Management 53: 819–41. [Google Scholar] [CrossRef]
- Ascher, Jacques. 2012. Female entrepreneurship—An appropriate response to gender discrimination. Journal of Entrepreneurship, Management and Innovation 8: 97–114. [Google Scholar] [CrossRef]
- Bae, Tae Jun, Shanshan Qian, Chao Miao, and James O. Fiet. 2014. The relationship between entrepreneurship education and entrepreneurial intentions: A meta–analytic review. Entrepreneurship Theory and Practice 38: 217–54. [Google Scholar] [CrossRef]
- Baum, J. Robert, Michael Frese, Robert A. Baron, and Jerome A. Katz. 2007. Entrepreneurship as an area of psychology study: An introduction. In The psychology of entrepreneurship. Edited by Baum J. Robert, Michael Frese and Robert A. Baron. London: Psychology Press, pp. 1–18. [Google Scholar]
- Bergner, Sabine, Anna Kanape, and Robert Rybnicek. 2019. Taking an interest in taking the lead: The influence of vocational interests, leadership experience and success on the motivation to lead. Applied Psychology 68: 202–19. [Google Scholar] [CrossRef]
- Bird, Barbara. 1988. Implementing entrepreneurial ideas: The case for intention. Academy of Management Review 13: 442–53. [Google Scholar] [CrossRef]
- Brandstätter, Hermann. 2011. Personality aspects of entrepreneurship: A look at five meta-analyses. Personality & Individual Differences 51: 222–30. [Google Scholar] [CrossRef]
- Carr, Jon C., and Jennifer M. Sequeira. 2007. Prior family business exposure as intergenerational influence and entrepreneurial intent: A theory of planned behavior approach. Journal of Business Research 60: 1090–98. [Google Scholar] [CrossRef]
- Chan, Kim-Yin, and Fritz Drasgow. 2001. Toward a theory of individual differences and leadership: Understanding the motivation to lead. Journal of Applied Psychology 86: 481–98. [Google Scholar] [CrossRef] [PubMed]
- Chaturvedi, Ramesh Kumar. 2022. Enhancing the productive engagement of COVID-19-driven workers’ exodus through micro-entrepreneurship: Accentuated role of de-globalization and local innovations. Journal of Global Entrepreneurship Research 12: 385–94. [Google Scholar] [CrossRef]
- Chell, Elizabeth, David E. Wicklander, Shane G. Sturman, and L. Wayne Hoover. 2008. The Entrepreneurial Personality: A Social Construction. London: Routledge. [Google Scholar]
- Cohen, Jacob. 1978. Partialed products are interactions; Partialed powers are curve components. Psychological Bulletin 85: 858–66. [Google Scholar] [CrossRef]
- Cui, Yu, Chuan Sun, Hongjun Xiao, and Chunming Zhao. 2016. How to become an excellent entrepreneur: The moderating effect of risk propensity on alertness to business ideas and entrepreneurial capabilities. Technological Forecasting and Social Change 112: 171–77. [Google Scholar] [CrossRef]
- Deloitte Tohmatsu Consulting/Deloitte Tohmatsu Financial Advisory. 2013. Nihon kigyo no inobeisyon zittai tyousa houkoku 2012: Seityo kigyo no sousyutu ni mukete [Innovation Survey of Japanese Firms 2012: Toward the Creation of Growth Companies]. Available online: https://www2.deloitte.com/jp/ja/pages/strategy/articles/cbs/innovation-research.html (accessed on 5 January 2024).
- Dutta, Dev K., Jun Li, and Michael Merenda. 2011. Fostering entrepreneurship: Impact of specialization and diversity in education. International Entrepreneurship and Management Journal 7: 163–79. [Google Scholar] [CrossRef]
- Enatsu, Ikutaro, Masato Horio, and Nobutaka Ishiyama. 2023. Interaction between individual and collective learning in an entrepreneurial setting: Case study of SoftBank Academia in Japan. Asia Pacific Business Review 29: 439–61. [Google Scholar] [CrossRef]
- Engle, Robert L., Nikolay Dimitriadi, Jose V. Gavidia, Christopher Schlaegel, Servane Delanoe, Irene Alvarado, Xiaohong He, Samuel Buame, and Birgitta Wolff. 2010. Entrepreneurial intent: A twelve-country evaluation of Ajzen’s model of planned behavior. International Journal of Entrepreneurial Behavior & Research 16: 35–57. [Google Scholar] [CrossRef]
- Fedor, Donald B., Walter D. Davis, John M. Maslyn, and Kieran Mathieson. 2001. Performance improvement efforts in response to negative feedback: The roles of source power and recipient self-esteem. Journal of Management 27: 79–97. [Google Scholar] [CrossRef]
- Fitzsimmons, Jason R., and Evan J. Douglas. 2011. Interaction between feasibility and desirability in the formation of entrepreneurial intentions. Journal of Business Venturing 26: 431–40. [Google Scholar] [CrossRef]
- Forlani, David, and John W. Mullins. 2000. Perceived risks and choices in entrepreneurs’ new venture decisions. Journal of Business Venturing 15: 305–22. [Google Scholar] [CrossRef]
- García-Granero, Ana, Óscar Llopis, Anabel Fernández-Mesa, and Joaquín Alegre. 2015. Unraveling the link between managerial risk-taking and innovation: The mediating role of a risk-taking climate. Journal of Business Research 68: 1094–104. [Google Scholar] [CrossRef]
- Global Entrepreneurship Research Association. n.d. Entrepreneurial Behaviour and Attitudes (Japan, Most Recent Data: 2022). Global Entrepreneurship Monitor. Available online: https://www.gemconsortium.org/economy-profiles/japan-2 (accessed on 5 January 2024).
- Goldberg, Lewis R. 1999. International Personality Item Pool: A Scientific Collaboratory for the Development of Advanced Measures of Personality and Other Individual Differences. Available online: http://ipip.ori.org (accessed on 5 January 2024).
- Gu, Jibao, Lingyu Hu, Jianlin Wu, and Augustine A. Lado. 2018. Risk propensity, self-regulation, and entrepreneurial intention: Empirical evidence from China. Current Psychology 37: 648–60. [Google Scholar] [CrossRef]
- Hansemark, Ove C. 1998. The effects of an entrepreneurship program on need for achievement and locus of control of reinforcement. International Journal of Entrepreneurial Behavior and Research 4: 28–50. [Google Scholar] [CrossRef]
- Hansemark, Ove C. 2003. Need for achievement, locus of control and the prediction of business start-ups: A longitudinal study. Journal of Economic Psychology 24: 301–19. [Google Scholar] [CrossRef]
- Hayes, Andrew F. 2017. Introduction to Mediation, Moderation, and Conditional Process Analysis: A Regression-Based Approach. New York: Guilford Publications. [Google Scholar]
- Holland, John L. 1997. Making Vocational Choices: A Theory of Vocational Personalities and Work Environments, 3rd ed. Odessa: Psychological Assessment Resources. [Google Scholar]
- Karimi, Saeid, Harm J. A. Biemans, Thomas Lans, Mohammad Chizari, and Martin Mulder. 2016. The impact of entrepreneurship education: A study of Iranian students’ entrepreneurial intentions and opportunity identification. Journal of Small Business Management 54: 187–209. [Google Scholar] [CrossRef]
- Kautonen, Teemu, Seppo Luoto, and Erno T. Tornikoski. 2010. Influence of work history on entrepreneurial intentions in ‘prime age’ and ‘third age’: A preliminary study. International Small Business Journal 28: 583–601. [Google Scholar] [CrossRef]
- Kautonen, Teemu, Marco Van Gelderen, and Matthias Fink. 2015. Robustness of the theory of planned behavior in predicting entrepreneurial intentions and actions. Entrepreneurship Theory and Practice 39: 655–74. [Google Scholar] [CrossRef]
- Kawana, Kazumi. 2014. Wagakuni no kigyouka kyouiku no igi to kadai: Kigyokyoiku to kigyoka gakusyu no tameno tiki dukuri [The significance and challenges of entrepreneurship education in Japan: Entrepreneurship education and creating local connections for entrepreneurial learning]. Nihon seisaku kinyu kouko ronshu 25: 59–80. [Google Scholar]
- Kiekel, Jean, Jennifer Courduff, and Peter Hessling. 2022. A series of happenstances: How the pandemic created opportunities with technology. Education Sciences 12: 835. [Google Scholar] [CrossRef]
- Kim, Boram, Sun Hwa Jung, Sun Hee Jang, Bohyun Lee, Eunjeong Rhee, Soo Hyun Cho, and Sang Min Lee. 2014. Construction and initial validation of the planned happenstance career inventory. The Career Development Quarterly 62: 239–53. [Google Scholar] [CrossRef]
- Kim, Boyoung, So Rin Kim, Na Yeon Yang, Huk Yaung, Gyu Young Ha, Joon Young Yang, and Bora Lee. 2018. Longitudinal relationships between planned happenstance skills and life adjustment and the moderating role of career barriers. Journal of Career Development 45: 215–26. [Google Scholar] [CrossRef]
- Kolvereid, Lars. 1996. Prediction of employment status choice intentions. Entrepreneurship Theory and Practice 21: 47–58. [Google Scholar] [CrossRef]
- Krueger, Norris F., and Alan L. Carsrud. 1993. Entrepreneurial intentions: Applying the theory of planned behaviour. Entrepreneurship and Regional Development 5: 315–30. [Google Scholar] [CrossRef]
- Krumboltz, John D. 1996. A learning theory of career counseling. In Handbook of Career Counselling Theory and Practice. Edited by Mark L. Savickas and W. Bruce Walsh. Boston: Davies-Black Publishing, pp. 55–80. [Google Scholar]
- Krumboltz, John D. 2009. The happenstance learning theory. Journal of Career Assessment 17: 135–54. [Google Scholar] [CrossRef]
- Krumboltz, John D., Pamela F. Foley, and Elizabeth W. Cotter. 2013. Applying the happenstance learning theory to involuntary career transitions. The Career Development Quarterly 61: 15–26. [Google Scholar] [CrossRef]
- Kutsuna, Kenji. 2013. Antorepurenasippu wo manabu zyuyosei to tanosimi [Importance and fun to learn Entrepreneurship]. In Antorepurenasippu nyumon [Introduction to Entrepreneurship]. Edited by Kenji Kutsuna, Hirokazu Hasegawa, Noriyuki Takahashi, Shingo Igarashi and Junichiro Yamada. Tokyo: Yuhikaku, pp. 1–18. [Google Scholar]
- Lee, Soo Hoon, and Poh Kam Wong. 2004. An exploratory study of technopreneurial intentions: A career anchor perspective. Journal of Business Venturing 19: 7–28. [Google Scholar] [CrossRef]
- Loewenstein, George. 1994. The psychology of curiosity: A review and reinterpretation. Psychological Bulletin 116: 75–98. [Google Scholar] [CrossRef]
- Low, Murray B., and Ian C. MacMillan. 1988. Entrepreneurship: Past research and future challenges. Journal of Management 14: 139–61. [Google Scholar] [CrossRef]
- Mars, Matthew M. 2007. The diverse agendas of faculty within an institutionalized model of entrepreneurship education. Journal of Entrepreneurship Education 10: 43–62. [Google Scholar]
- Matsuda, Syuiti. 1997. Kigyoron: Antorepurena no sisitu/tisiki/senryaku [Entrepreneurship theory: Entrepreneurs’ Attributes/knowledge/strategies]. Tokyo: Nihon Keizai Shimbun. [Google Scholar]
- Minkov, Michael, Geert Hofstede, and Gert Jan Hofstede. 2010. Cultures and Organizations: Software for the Mind. Maidenhead: McGraw-Hill. [Google Scholar]
- Mitchell, Kathleen E., S. Al Levin, and John D. Krumboltz. 1999. Planned happenstance: Constructing unexpected career opportunities. Journal of Counseling & Development 77: 115–24. [Google Scholar] [CrossRef]
- Mokhber, Mozhdeh, Wan Khairuzzaman, and Amin Vakilbashi. 2018. Leadership and innovation: The moderator role of organization support for innovative behaviors. Journal of Management & Organization 24: 108–28. [Google Scholar] [CrossRef]
- Mullins, John W., and David Forlani. 2005. Missing the boat or sinking the boat: A study of new venture decision making. Journal of Business Venturing 20: 47–69. [Google Scholar] [CrossRef]
- Muthén, Bengt, and Bengt O. Muthén. 1998–2017. Mplus User’s Guide, 8th ed. Los Angeles: Muthén and Muthén. [Google Scholar]
- Nabi, Ghulam, and Francisco Liñán. 2013. Considering business start-up in recession time: The role of risk perception and economic context in shaping the entrepreneurial intent. International Journal of Entrepreneurial Behavior & Research 19: 633–55. [Google Scholar] [CrossRef]
- Okamuro, Hiroyuki. 2014. Kaigyoritu no teka to seisaku soti no yukose [The effectiveness of policy measures in relation to the decline in the opening rate of employment]. Japan Journal of Labor Journal 649: 30–38. [Google Scholar]
- Oosterbeek, Hessel, Mirjam Van Praag, and Auke Ijsselstein. 2010. The impact of entrepreneurship education on entrepreneurship skills and motivation. European Economic Review 54: 442–54. [Google Scholar] [CrossRef]
- Otache, Innocent, Kadiri Umar, Yakubu Audu, and Ugbede Onalo. 2021. The effects of entrepreneurship education on students’ entrepreneurial intentions: A longitudinal approach. Education + Training 63: 967–91. [Google Scholar] [CrossRef]
- Padilla-Angulo, Laura. 2019. Student associations and entrepreneurial intentions. Studies in Higher Education 44: 45–58. [Google Scholar] [CrossRef]
- Pittaway, Luke Alan, Jim Gazzard, Adam Shore, and Tom Williamson. 2015. Student clubs: Experiences in entrepreneurial learning. Entrepreneurship & Regional Development 27: 127–53. [Google Scholar] [CrossRef]
- Podsakoff, Philip M., Scott B. MacKenzie, Jeong-Yeon Lee, and Nathan P. Podsakoff. 2003. Common method biases in behavioral research: A critical review of the literature and recommended remedies. Journal of Applied Psychology 88: 879–903. [Google Scholar] [CrossRef]
- Politis, Diamanto. 2005. The process of entrepreneurial learning: A conceptual framework. Entrepreneurship Theory and Practice 29: 399–424. [Google Scholar] [CrossRef]
- Preedy, Sarah, Paul Jones, Gideon Maas, and Hilary Duckett. 2020. Examining the perceived value of extracurricular enterprise activities in relation to entrepreneurial learning processes. Journal of Small Business and Enterprise Development 27: 1085–105. [Google Scholar] [CrossRef]
- Prieto, Leon C. 2010. Proactive personality and entrepreneurial leadership: Exploring the moderating role of organizational identification and political skill. Academy of Entrepreneurship Journal 16: 107–22. [Google Scholar]
- Rauch, Andreas, and Willem Hulsink. 2015. Putting entrepreneurship education where the intention to act lies: An investigation into the impact of entrepreneurship education on entrepreneurial behavior. Academy of Management Learning & Education 14: 187–204. [Google Scholar] [CrossRef]
- Rhee, Eunjeong, Bo Hyun Lee, Boyoung Kim, Gyuyoung Ha, and Sang Min Lee. 2016. The relationship among the six vocational identity statuses and five dimensions of planned happenstance career skills. Journal of Career Development 43: 368–78. [Google Scholar] [CrossRef]
- Rojewski, Jay W. 1999. Occupational and educational aspirations and attainment of young adults with and without LD 2 years after high school completion. Journal of Learning Disabilities 32: 533–52. [Google Scholar] [CrossRef] [PubMed]
- Sanno University. 2019. 2019 nendo shinnyushain no kaisya seikatu tyosa [Survey on Company Life of New Employees in 2019]. Available online: https://www.jpc-net.jp/research/assets/pdf/R37attached.pdf (accessed on 5 January 2024).
- Sekiguchi, Tomoki. 2015. Kigyonai zinzai no zigyosozo koryokukan wo takameru koudotokusei [Behavioral characteristics that enhance business creation efficacy of human resources in companies]. Hitotsubashi Business Review 63: 180–93. [Google Scholar]
- Shaver, Kelly G., and Linda R. Scott. 1991. Person, process, choice: The psychology of new venture creation. Entrepreneurship, Theory, and Practice 16: 23–45. [Google Scholar] [CrossRef]
- Sim, Mandy Siew Chen, Joshua Edward Galloway, Hazel Melanie Ramos, and Michael James Mustafa. 2023. University’s support for entrepreneurship and entrepreneurial intention: The mediating role of entrepreneurial climate. Journal of Entrepreneurship in Emerging Economies 15: 360–78. [Google Scholar] [CrossRef]
- Simon, Mark, Susan M. Houghton, and Karl Aquino. 2000. Cognitive biases, risk perception, and venture formation: How individuals decide to start companies. Journal of Business Venturing 15: 113–34. [Google Scholar] [CrossRef]
- Sitkin, Sim B., and Amy L. Pablo. 1992. Reconceptualizing the determinants of risk behavior. Academy of Management Review 17: 9–38. [Google Scholar] [CrossRef]
- Small and Medium Enterprise Agency. 2017. White Paper on Small and Medium Enterprises, 2017th ed. Tokyo: Nikkei Publishing. [Google Scholar]
- Solesvik, Marina Z. 2013. Entrepreneurial motivations and intentions: Investigating the role of education major. Education + Training 55: 253–71. [Google Scholar] [CrossRef]
- Stewart, Wayne H., and Philip L. Roth. 2001. Risk propensity differences between entrepreneurs and managers: A meta-analytic review. Journal of Applied Psychology 86: 145–53. [Google Scholar] [CrossRef] [PubMed]
- Stumpf, Stephen A., Stephen M. Colarelli, and Karen Hartman. 1983. Development of the career exploration survey (CES). Journal of Vocational Behaviour 22: 191–226. [Google Scholar] [CrossRef]
- Sugimoto, Hideharu, Masanori Urakami, Yumiko Yazaki, and Mutsumi Takatsuna. 2023. Temperamental basis of circumstance utilization skills based on happenstance learning theory: Contribution of Gray’s behavioral inhibition/approach systems [Haputansu raningu seori ni motozuku kyogu katuyo sukiru no kisituteki kiban- Gurei no kodo yokusei kodo hukatu sisutemu karano kento]. Kyaria Kyoiku Kenkyu 42: 15–26. [Google Scholar] [CrossRef]
- Syed, Imran, Jonathan Craig Butler, Ronda M. Smith, and Xian Cao. 2020. From entrepreneurial passion to entrepreneurial intentions: The role of entrepreneurial passion, innovativeness, and curiosity in driving entrepreneurial intentions. Personality and Individual Differences 157: 109758. [Google Scholar] [CrossRef]
- Timmons, Jeffry A., and Stephen Spinelli. 1994. New Venture Creation: Entrepreneurship for the 21st Century, 4th ed. New York: Irwin-McGraw-Hill. [Google Scholar]
- Valickas, Andrius, Agota Giedrė Raišienė, and Violeta Rapuano. 2019. Planned happenstance skills as personal resources for students’ psychological wellbeing and academic adjustment. Sustainability 11: 3401. [Google Scholar] [CrossRef]
- Vecchio, Robert P. 2003. Entrepreneurship and leadership: Common trends and common threads. Human Resource management Review 13: 303–27. [Google Scholar] [CrossRef]
- Vo, Michelle, Gary Beck Dallaghan, Nicole Borges, Anne C. Gill, Brian Good, Nathan Gollehon, Jay J. Mehta, Boyd Richards, Rachel Richards, Erna Serelzic, and et al. 2021. Planning for happenstance: Helping students optimize unexpected career developments. MedEdPORTAL 17: 11087. [Google Scholar] [CrossRef]
- Yamashita, Masaru. 2010. Zinzi ido: Kaisya no naka deno kyaria kaihatu [Staff reassignment: Career development in the companies]. In Kyaria de kataru keiei soshiki- Kozin no ronri to soshiki no ronri [Management Organisation as Told by Career: Logic of Individuals and Logic of Organisations]. Edited by Inaba Yushi, Tatuhiko Inoue, Ryuta Suzuki and Masaru Yamashita. Tokyo: Yuhikaku, pp. 89–115. [Google Scholar]
- Yazaki, Yumiko, Mutsumi Takatsuna, Hideharu Sugimoto, and Masanori Urakami. 2023. Relationship between for utilized circumstances skills and stress coping, subjective adjustment in working adult [Syakaizin ni okeru kyogu katuyo sukiru to sutoresu heno taisyo koudo oyobi tekiokan tono kanren]. Kyaria Kyoiku Kenkyu 42: 27–36. [Google Scholar] [CrossRef]
- Yoshikawa, Masaya. 2023. Theoretical framework and contemporary significance for implementing happenstance learning theory [Hapunsutansu gakushu riron zissen no tameno rironteki wakugumi to gendaiteki igi]. Kyaria kyoiku Kenkyu 42: 3–13. [Google Scholar] [CrossRef]
- Zhao, Hao, Scott E. Seibert, and Gerald E. Hills. 2005. The mediating role of self-efficacy in the development of entrepreneurial intentions. Journal of Applied Psychology 90: 1265–72. [Google Scholar] [CrossRef]



| n | M | SD | 1 | 2 | 3 | 4 | 5 | 6 | 7 | ||||||||
|---|---|---|---|---|---|---|---|---|---|---|---|---|---|---|---|---|---|
| 1 | Gender a | 214 | 0.72 | 0.45 | - | ||||||||||||
| 2 | Faculty b | 214 | 0.83 | 0.37 | 0.00 | - | |||||||||||
| 3 | School year c | 202 | 0.49 | 0.50 | 0.10 | 0.19 | ** | - | |||||||||
| 4 | Risk propensity | 184 | 3.46 | 1.14 | 0.08 | −0.03 | 0.12 | - | |||||||||
| 5 | Lifetime employment orientation | 179 | 4.41 | 1.49 | −0.12 | 0.01 | −0.10 | −0.32 | ** | - | |||||||
| 6 | Entrepreneurship-related exploratory behaviour | 178 | 2.79 | 1.15 | −0.19 | * | −0.17 | * | 0.01 | 0.29 | ** | −0.15 | * | - | |||
| 7 | Leadership experience | 168 | 1.63 | 1.52 | 0.05 | −0.05 | 0.08 | 0.23 | ** | −0.04 | 0.25 | ** | - | ||||
| 8 | Entrepreneurial intention | 178 | 2.70 | 1.55 | 0.11 | 0.01 | 0.03 | 0.47 | ** | −0.34 | ** | 0.52 | ** | 0.17 | * | ||
| Variable | Β | SE | t | p | 95% CI |
|---|---|---|---|---|---|
| LEOR | |||||
| Constant | 0.11 | 0.32 | 0.34 | 0.73 | [−0.52, 0.74] |
| RIP | −0.44 | 0.10 | −4.43 | 0.00 | [−0.63, −0.24] |
| LEX | 0.04 | 0.07 | 0.49 | 0.63 | [−0.11, 0.18] |
| RIP × LEX | 0.01 | 0.05 | 0.19 | 0.85 | [−0.09, 0.11] |
| R2 | 0.15 | ||||
| EREB | |||||
| Constant | 0.55 | 0.25 | 2.21 | 0.03 | [0.06, 1.04] |
| RIP | 0.22 | 0.08 | 2.91 | 0.00 | [0.07, 0.37] |
| LEX | 0.12 | 0.06 | 2.02 | 0.05 | [0.00, 0.23] |
| RIP × LEX | 0.08 | 0.04 | 2.15 | 0.03 | [0.01, 0.16] |
| R2 | 0.19 | ||||
| EI | |||||
| Constant | 2.12 | 0.29 | 7.25 | 0.00 | [1.54, 2.70] |
| RIP | 0.32 | 0.10 | 3.23 | 0.00 | [0.12, 0.51] |
| LEOR | −0.23 | 0.08 | −2.90 | 0.00 | [−0.38, −0.07] |
| EREB | 0.60 | 0.10 | 6.09 | 0.00 | [0.41, 0.80] |
| LEX | −0.04 | 0.07 | −0.53 | 0.60 | [−0.18, 0.10] |
| LEOR × LEX | 0.07 | 0.05 | 1.40 | 0.16 | [−0.03, 0.16] |
| EREB × LEX | 0.14 | 0.06 | 2.22 | 0.03 | [0.02, 0.27] |
| R2 | 0.46 | ||||
| Effect | Bootstrap SE | Bootstrap 95% CI | |
|---|---|---|---|
| Total effect | 0.27 | 0.07 | [0.14, 0.42] |
| Lifetime employment orientation | 0.10 | 0.04 | [0.03, 0.19] |
| Entrepreneurship-related exploratory behaviour | 0.18 | 0.05 | [0.07, 0.28] |
| Hypothesis | Result | |
|---|---|---|
| H1a | Risk propensity is negatively related to lifetime employment orientation. | 〇 |
| H1b | Risk propensity is positively related to entrepreneurship-related exploratory behaviour. | 〇 |
| H2a | Lifetime employment orientation is negatively related to entrepreneurial intention. | 〇 |
| H2b | Entrepreneurship-related exploratory behaviour is positively related to entrepreneurial intention. | 〇 |
| H3a | Risk propensity indirectly influences entrepreneurial intention by reducing lifetime employment intention. | 〇 |
| H3b | Risk propensity indirectly influences entrepreneurial intention by promoting entrepreneurship-related exploratory behaviour. | 〇 |
| H4a | Leadership experience moderates the negative relationship between lifetime employment orientation and entrepreneurial intention, such that the relationship is weaker for students with more leadership experience. | × |
| H4b | Leadership experience moderates the positive relationship between risk propensity and entrepreneurship-related exploratory behaviour, such that the relationship is stronger for students with more leadership experience. | 〇 |
| H4c | Leadership experience moderates the positive relationship between entrepreneurship-related exploratory behaviour and entrepreneurial intention, such that the relationship is stronger for students with more leadership experience. | 〇 |
Disclaimer/Publisher’s Note: The statements, opinions and data contained in all publications are solely those of the individual author(s) and contributor(s) and not of MDPI and/or the editor(s). MDPI and/or the editor(s) disclaim responsibility for any injury to people or property resulting from any ideas, methods, instructions or products referred to in the content. |
© 2024 by the authors. Licensee MDPI, Basel, Switzerland. This article is an open access article distributed under the terms and conditions of the Creative Commons Attribution (CC BY) license (https://creativecommons.org/licenses/by/4.0/).
Share and Cite
Hosomi, M.; Khalid, S.; Sekiguchi, T. Planned Happenstance and Entrepreneurship Development: The Case of Japanese Undergraduate Students. Adm. Sci. 2024, 14, 27. https://doi.org/10.3390/admsci14020027
Hosomi M, Khalid S, Sekiguchi T. Planned Happenstance and Entrepreneurship Development: The Case of Japanese Undergraduate Students. Administrative Sciences. 2024; 14(2):27. https://doi.org/10.3390/admsci14020027
Chicago/Turabian StyleHosomi, Masaki, Saddam Khalid, and Tomoki Sekiguchi. 2024. "Planned Happenstance and Entrepreneurship Development: The Case of Japanese Undergraduate Students" Administrative Sciences 14, no. 2: 27. https://doi.org/10.3390/admsci14020027
APA StyleHosomi, M., Khalid, S., & Sekiguchi, T. (2024). Planned Happenstance and Entrepreneurship Development: The Case of Japanese Undergraduate Students. Administrative Sciences, 14(2), 27. https://doi.org/10.3390/admsci14020027

