Evaluating the Use of Alternative Normalization Approaches on SARS-CoV-2 Concentrations in Wastewater: Experiences from Two Catchments in Northern Sweden
Abstract
:1. Introduction
2. Materials and Methods
2.1. Sampling Site Description
2.2. Wastewater Sampling and Wastewater Quality Characterisation
2.3. Clinical Case Data
2.4. SARS-CoV-2 Concentration and RNA Extraction
2.5. RT-qPCR
2.6. Estimations of Popualtion Size and Normalization of SARS-CoV-2 Concentrations
2.7. Statistical Analyses
3. Results and Discussion
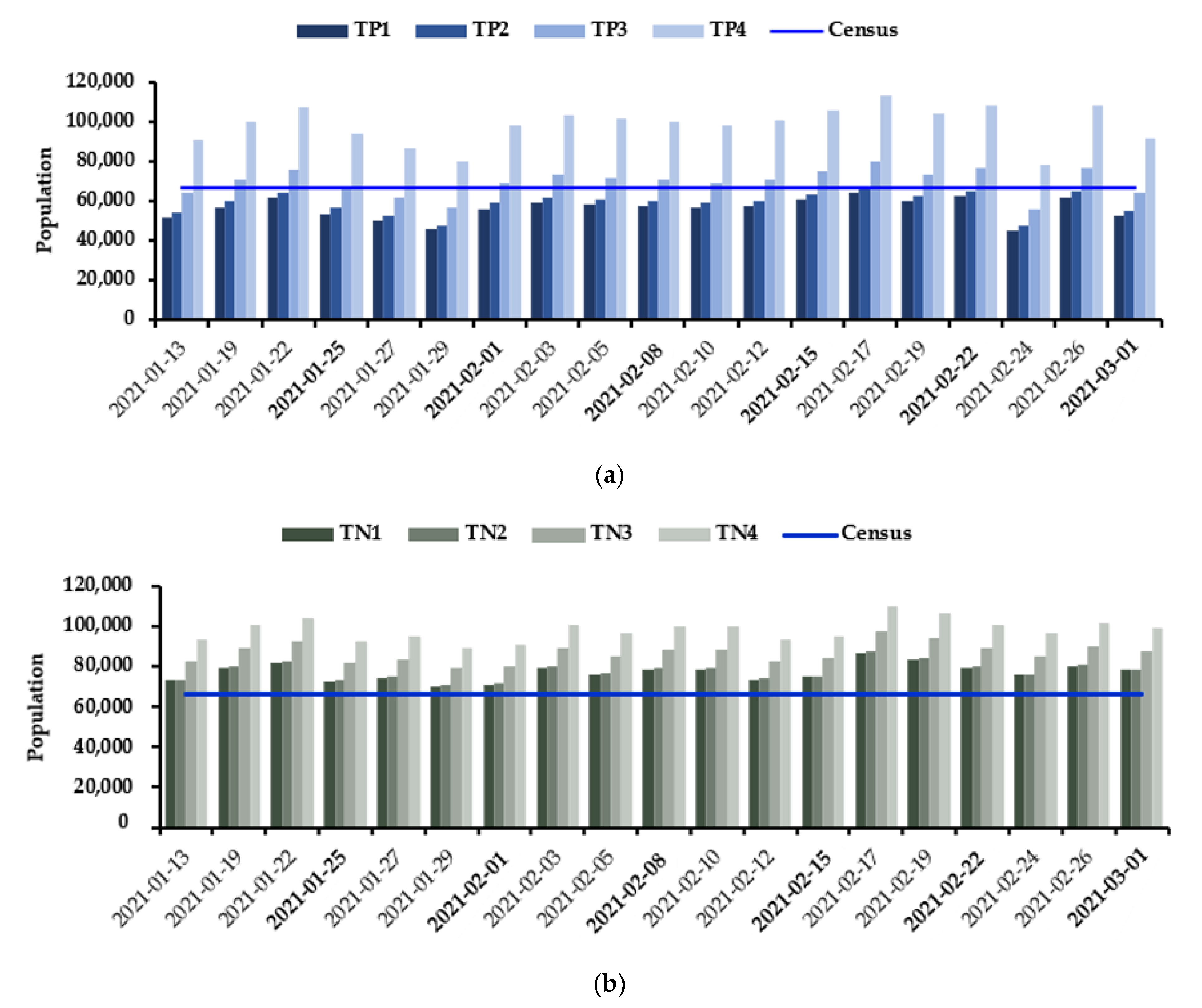
3.1. Estimations of Population Size
3.2. Detection and Quantification of SARS-CoV-2 RNA in Wastewater Samples
3.3. Detection and Quantification of PMMoV RNA in Wastewater Samples
3.4. Different Normalization Approaches for SARS-CoV-2 in Wastewater and Correlation to Clinical Case Data
3.4.1. SARS-CoV-2 WWTP Flow Normalization
3.4.2. SARS-CoV-2 Population and PMMoV Normalization
3.5. Future Research Recommendations
4. Conclusions
Supplementary Materials
Author Contributions
Funding
Institutional Review Board Statement
Informed Consent Statement
Data Availability Statement
Acknowledgments
Conflicts of Interest
References
- WHO Coronavirus (COVID-19) Dashboard. Available online: https://covid19.who.int (accessed on 8 January 2022).
- Zhu, Y.; Oishi, W.; Maruo, C.; Saito, M.; Chen, R.; Kitajima, M.; Sano, D. Early warning of COVID-19 via wastewater-based epidemiology: Potential and bottlenecks. Sci. Total Environ. 2021, 767, 145124. [Google Scholar] [CrossRef] [PubMed]
- Michael-Kordatou, I.; Karaolia, P.; Fatta-Kassinos, D. Sewage analysis as a tool for the COVID-19 pandemic response and management: The urgent need for optimised protocols for SARS-CoV-2 detection and quantification. J. Environ. Chem. Eng. 2020, 8, 104306. [Google Scholar] [CrossRef] [PubMed]
- Ahmed, W.; Tscharke, B.; Bertsch, P.M.; Bibby, K.; Bivins, A.; Choi, P.; Clarke, L.; Dwyer, J.; Edson, J.; Nguyen, T.; et al. SARS-CoV-2 RNA monitoring in wastewater as a potential early warning system for COVID-19 transmission in the community: A temporal case study. Sci. Total Environ. 2021, 761, 144216. [Google Scholar] [CrossRef] [PubMed]
- Walsh, K.A.; Jordan, K.; Clyne, B.; Rohde, D.; Drummond, L.; Byrne, P.; Ahern, S.; Carty, P.G.; O’Brian, K.K.; O’Murchu, E.; et al. SARS-CoV-2 detection, viral load and infectivity over the course of an infection. J. Infect. 2020, 81, 357–371. [Google Scholar] [CrossRef]
- Jones, D.; Baluja, M.Q.; Graham, D.W.; Corbishley, A.; McDonald, J.E.; Malham, S.K.; Hillary, L.S.; Connor, T.R.; Gaze, W.H.; Moura, I.B.; et al. Shedding of SARS-CoV-2 in feaces and urine and its potential role in person-to-person transmission and the environment-based spread of COVID-19. Sci. Total Environ. 2020, 749, 141364. [Google Scholar] [CrossRef]
- Wu, Y.; Guo, C.; Tang, L.; Hong, Z.; Zhou, J.; Dong, X.; Yin, H.; Xiao, Q.; Tang, Y.; Qu, X.; et al. Prolonged presence of SARS-CoV-2 viral RNA in faecal samples. Lancet Gastroenterol. Hepatol. 2020, 5, 434–435. [Google Scholar] [CrossRef]
- Xu, Y.; Li, X.; Zhu, B.; Liang, H.; Fang, C.; Gong, Y.; Guo, Q.; Sun, X.; Zhao, D.; Shen, J.; et al. Characteristics of pediatric SARS-CoV-2 infection and potential evidence for persistent fecal viral shedding. Nat. Med. 2020, 26, 502–505. [Google Scholar] [CrossRef] [Green Version]
- Zuccato, E.; Chiabrando, C.; Castiglioni, S.; Calamari, D.; Bagnati, R.; Schiarea, S.; Fanelli, R. Cocaine in surface waters: A new evidence-based tool to monitor community drug abuse. Environ. Health 2005, 4, 14. [Google Scholar] [CrossRef] [Green Version]
- Brouwer, A.F.; Eisenberg, J.; Pomeroy, C.D.; Shulman, L.M.; Hindiyeh, M.; Manor, Y.; Grotto, I.; Koopman, J.S.; Eisenberg, M.C. Epidemiology of the silent polio outbreak in Rahat, Israel, based on modeling of environmental surveillance data. Proc. Natl. Acad. Sci. USA 2018, 115, E10625–E10633. [Google Scholar] [CrossRef] [Green Version]
- Iaconelli, M.; Ferraro, G.B.; Mancini, P.; Suffredini, E.; Veneri, C.; Ciccaglione, A.R.; Bruni, R.; Libera, S.D.; Bignami, F.; Brambilla, M.; et al. Nine-Year Nationwide Environmental Surveillance of Hepatitis E Virus in Urban Wastewaters in Italy (2011–2019). Int. J. Environ. Res. Public Health 2020, 17, 2059. [Google Scholar] [CrossRef] [Green Version]
- Polo, D.; Quintela-Baluja, M.; Corbishley, A.; Jones, D.; Singer, A.; Graham, D.; Romalde, J. Making waves: Wastewater-based epidemiology for COVID-19—Approaches and challenges for surveillance and prediction. Water Res. 2020, 186, 116404. [Google Scholar] [CrossRef] [PubMed]
- Thompson, J.N.; Gu, X.; Lee, E.; Rajal, V.; Haines, M.; Girones, R.; Ng, L.C.; Alm, E.J.; Wuertz, S. Makingwaves: Wastewater surveillance of SARS-CoV-2 for population-based health management. Water Res. 2020, 184, 116181. [Google Scholar] [CrossRef] [PubMed]
- Hamouda, M.; Mustafa, F.; Maraqa, M.; Rizvi, T.; Hassan, A.A. Wastewater surveillance for SARS-CoV-2: Lessons learnt from recent studies to define future applications. Sci. Total Environ. 2021, 759, 143493. [Google Scholar] [CrossRef] [PubMed]
- Lundy, L.; Fatta-Kassinos, D.; Solbodnik, J.; Karaolia, P.; Cirka, L.; Kreuzinger, N.; Castiglioni, S.; Bijlsma, L.; Dulio, V.; Deviller, G.; et al. Making Waves: Collaboration in the time of SARS-CoV-2—Rapid development of an international co-operation and wastewater surveillance database to support public health decision-making. Water Res. 2021, 199, 117167. [Google Scholar] [CrossRef] [PubMed]
- Ahmed, W.; Bertsch, P.M.; Bibby, K.; Haramoto, E.; Hewitt, J.; Huygens, F.; Gyawali, P.; Korajkic, A.; Ridell, S.; Sherchan, S.P.; et al. Decay of SARS-CoV-2 and surrogate murine hepatitis virus RNA in untreated wastewater to inform application in wastewater-based epidemiology. Environ. Res. 2020, 191, 110092. [Google Scholar] [CrossRef] [PubMed]
- Tran, J.N.; Gu, X.; Lee, E.; Rajal, V.; Haines, M.; Girones, R.; Ng, L.C.; Alm, E.J.; Wuertz, S. SARS-CoV-2 coronavirus in water and wastewater: A critical review about presence and concern. Environ. Res. 2021, 193, 110265. [Google Scholar] [CrossRef] [PubMed]
- Wang, X.W.; Li, J.S.; Jin, M.; Zhen, B.; Kong, Q.X.; Song, N.; Xiao, W.J.; Chao, F.H.; Li, J.W. Study in the resistance of severe acute respiratory syndrome-associated coronavirus. J. Virol. Methods 2005, 126, 171–177. [Google Scholar] [CrossRef] [PubMed]
- Wölfel, R.; Corman, V.M.; Guggemos, W.; Seilmaier, M.; Zange, S.; Mueller, M.A.; Niemeyer, D.; Vollmar, P.; Rothe, C.; Hoelscher, M.; et al. Virological assessment of hospitalized patients with COVID-19. Nature 2020, 581, 465–469. [Google Scholar] [CrossRef] [PubMed] [Green Version]
- Muira, F.; Kitajima, M.; Omori, R. Duration of SARS-CoV-2 viral shedding in faeces as a parameter for wastewater-based epidemiology: Re-analysis of patient data using a shedding dynamics model. Sci. Total Environ. 2021, 769, 144549. [Google Scholar] [CrossRef] [PubMed]
- Foladori, P.; Cutrupi, F.; Segata, N.; Manara, S.; Pinto, F.; Malpei, F.; Bruni, L.; Rosa, G. SARS-CoV-2 from faeces to wastewater treatment: What do we know? A review. Sci. Total Environ. 2020, 743, 140444. [Google Scholar] [CrossRef] [PubMed]
- Medema, G.; Heijnen, L.; Elsinga, G.; Italiaander, R.; Brouwer, A. Presence of SARS-Coronavirus-2 RNA in Sewage and Correlation with Reported COVID-19 Prevalence in the Early Stage of the Epidemic in The Netherlands. Environ. Sci. Technol. Lett. 2020, 7, 511–516. [Google Scholar] [CrossRef]
- D’Aoust, P.M.; Graber, T.E.; Mercier, E.; Montpetit, I.; Neault, N.; Baig, A.T.; Mayne, J.; Zhang, X.; Alin, T.; Servos, M.R.; et al. Catching a resurgence: Increase in SARS-CoV-2 viral RNA identified in wastewater 48 h before COVID-19 test and 96 h before hospitalizations. Sci. Total Environ. 2021, 770, 145319. [Google Scholar] [CrossRef] [PubMed]
- Peccia, J.; Zulli, A.; Brackney, D.E.; Grubaugh, N.D.; Kaplan, E.H.; Casanovas-Massana, A.; Ko, A.I.; Malik, A.A.; Wang, D.; Wang, M.; et al. Measurement of SARS-CoV-2 RNA in wastewater tracks community infection dynamics. Nat. Biotecnol. 2020, 38, 1164–1167. [Google Scholar] [CrossRef] [PubMed]
- Randazzo, W.; Truchado, P.; Cuevas-Ferrando, E.; Simón, P.; Allende, A.; Sánchez, G. SARS-CoV-2 RNA in wastewater anticipated COVID-19 occurrence in a low prevalence area. Water Res. 2020, 181, 115942. [Google Scholar] [CrossRef] [PubMed]
- Been, F.; Rossi, L.; Ort, C.; Rudaz, A.; Delémont, O.; Esseiva, P. Population Normalization with Ammonium in Wastewater-Based Epidemiology: Application on Illicit Drug Monitoring. Environ. Sci. Technol. 2014, 48, 8162–8169. [Google Scholar] [CrossRef] [PubMed]
- D’Aoust, P.M.; Mercier, E.; Montpetit, D.; Jia, J.J.; Alexandrov, I.; Neault, N.; Baig, A.T.; Mayne, J.; Zhang, X.; Alain, T.; et al. Quantitative analysis of SARS-CoV-2 RNA from wastewater solids in communities with low COVID-19 incidence and prevalence. Water Res. 2021, 188, 116560. [Google Scholar] [CrossRef] [PubMed]
- O’Brien, J.W.; Thai, P.K.; Eaglesham, G.; Ort, C.; Scheidegger, A.; Carter, S.; Lai, F.Y.; Mueller, J.F. A Model to Estimate the Population Contributing to the Wastewater Using Samples Collected on Census Day. Environ. Sci. Technol. 2014, 48, 517–525. [Google Scholar] [CrossRef]
- Norrbottens Klimat. Available online: https://www.smhi.se/kunskapsbanken/klimat/klimatet-i-sveriges-landskap/norrbottens-klimat-1.5008 (accessed on 6 June 2021).
- Dataserier Med Normalvärden för Perioden 1991–2020. Available online: https://www.smhi.se/data/meteorologi/dataserier-med-normalvarden-for-perioden-1991-2020-1.167775 (accessed on 28 April 2021).
- Luleå Kommun. Miljörapport Uddebo Avloppsreningsverk; Version 2; Luleå Kommun: Luleå, Sweden, 2019. [Google Scholar]
- Luleå Kommun. Miljörapport Råneå Avloppsreningsverk; Version 1; Luleå Kommun: Luleå, Sweden, 2019. [Google Scholar]
- Nystedt, A. (Norrbotten County Council, Luleå, Sweden). Personal communication, 2021. [Google Scholar]
- Mondal, S.; Feirer, N.; Brockman, M.; Preston, M.A.; Teter, S.J.; Ma, D.; Goueli, S.A.; Moorji, S.; Saul, B.; Cali, J.J. A direct capture method for purification and detection of viral nucleic acid enables epidemiological surveillance of SARS-CoV-2. Sci. Total Environ. 2021, 795, 148834. [Google Scholar] [CrossRef] [PubMed]
- Vogels, C.B.F.; Brito, A.F.; Wyllie, A.L.; Fauver, J.R.; Ott, I.M.; Kalinich, C.C.; Petrone, M.E.; Casanovas-Massana, A.; Muenker, M.C.; Moore, A.J.; et al. Analytical sensitivity and efficiency comparisons of SARS-CoV-2 RT–qPCR primer–probe sets. Nat. Microbiol. 2020, 5, 1299–1305. [Google Scholar] [CrossRef]
- Zhang, T.; Breitbart, M.; Lee, W.H.; Run, J.-Q.; Wie, C.L.; Soh, S.W.L.; Hibberd, M.L.; Liu, E.T.L.; Rohwer, F.; Ruan, Y. RNA viral community in human feces: Prevalence of plant pathogenic viruses. PLoS Biol. 2006, 4, 108–118. [Google Scholar] [CrossRef] [PubMed] [Green Version]
- Bustin, S.A.; Benes, V.; Garson, J.A.; Hellemans, J.; Huggett, J.; Kubista, M.; Mueller, R.; Nolan, T.; Pfaffl, M.W.; Shipley, G.L.; et al. The MIQE Guidelines: Minimum Information for Publication of Quantitative Real-Time PCR Experiments. Clin. Chem. 2009, 55, 611–622. [Google Scholar] [CrossRef] [PubMed] [Green Version]
- Jönsson, H.; Baky, A.; Jeppsson, U.; Hellström, D.; Kärrman, E. Composition of Urine, Faeces, Greywater and Biowaste for Utilization in the URWARE Model; Report 2005:6; Chalmers University of Technology: Göteborg, Sweden, 2005. [Google Scholar]
- Vinnerås, B.; Palmquist, H.; Balmér, P.; Jönsson, H. The characteristics of household wastewater and biodegradable solid waste–A proposal for new Swedish design values. Urban Water J. 2006, 3, 3–11. [Google Scholar] [CrossRef]
- Van Nuijs, A.; Mougel, J.-F.; Tarcomnicu, I.; Bervoets, L.; Blust, R.; Jorens, P.G.; Neels, H.; Covaci, A. Sewage epidemiology-A real-time approach to estimate the consumption of illicit drugs in Brussels, Belgium. Environ. Int. 2011, 37, 612–621. [Google Scholar] [CrossRef] [PubMed]
- Press, C.; Davidsson, F.; Wellsjö, L.; Grubbström, E.; Ridelius, A. Hushållspillvattenundersökning. Report 2019:5, Gryaab. Available online: https://www.gryaab.se/om-gryaab/publikationer-och-informationsmaterial/ (accessed on 18 August 2021).
- Zheng, Q.D.; Wang, Z.; Liu, C.Y.; Yan, J.H.; Pei, W.; Wang, Z.; Wang, D.G. Applying a population model based on hydrochemcial parameters in wastewater-based epidemiology. Sci. Total Environ. 2019, 657, 466–475. [Google Scholar] [CrossRef] [PubMed]
- Rico, M.; Andrés-Costa, M.J.; Picó, Y. Estimating population size in wastewater-based epidemiology. Valencia metropolitan area as a case study. J. Hazard Mater. 2017, 323, 156–165. [Google Scholar] [CrossRef] [PubMed]
- Pandopulos, A.J.; Bade, R.; Tscharke, B.J.; O’Brian, J.W.; Simpson, B.S.; White, J.M.; Gerber, C. Application of catecholamine metabolites as endogenous population biomarkers for wastewater-based epidemiology. Sci. Total Environ. 2021, 763, 142992. [Google Scholar] [CrossRef] [PubMed]
- Choi, P.M.; Tscharke, B.J.; Donner, E.; O’Brian, J.W.; Grant, S.C.; Kaserzon, S.L.; Mackie, R.; O’Malley, E.; Crosbie, N.D.; Thomas, K.V.; et al. Wastewater-based epidemiology biomarker: Past, present and future. Trends Anal. Chem. 2018, 105, 453–469. [Google Scholar] [CrossRef]
- Lai, F.; Anuj, S.; Bruna, R.; Carter, S.; Gartner, C.; Hall, W.; Kirkbride, K.P.; Mueller, J.F.; O’Brian, J.W.; Prichard, J.; et al. Systematic and day-to-day effects of chemical-derived population estimates on wastewater-based drug epidemiology. Environ. Sci Technol. 2015, 49, 999–1008. [Google Scholar] [CrossRef] [PubMed] [Green Version]
- Symonds, E.M.; Rosario, K.; Breitbart, M. Pepper mild mottle virus: Agricultural menace turned effective tool for microbial water quality monitoring and assessing (waste) water treatment technologies. PLoS Pathog. 2019, 15, e0208552. [Google Scholar] [CrossRef]
- Kitajima, M.; Sassi, H.P.; Torrey, J.R. Pepper mild mottle virus as a water quality indicator. Npj Clean Water 2018, 1, 19. [Google Scholar] [CrossRef] [Green Version]
- Jafferali, M.H.; Khatami, K.; Atasoy, M.; Birgersson, M.; Williams, C.; Cetecioglu, Z. Benchmarking virus concentrations methods for quantification of SARS-CoV-2 in raw wastewater. Sci. Total Environ. 2021, 755, 142939. [Google Scholar] [CrossRef] [PubMed]








| Daily Offset | |||||||||||
|---|---|---|---|---|---|---|---|---|---|---|---|
| 0 | 1 | 2 | 3 | 4 | 5 | 6 | 7 | 8 | 9 | 10 | |
| Un-normalized | 0.764 | 0.771 | 0.776 | 0.771 | 0.768 | 0.766 | 0.739 | 0.707 | 0.632 | 0.572 | 0.508 |
| Normalized to WWTP flow | 0.763 | 0.766 | 0.768 | 0.761 | 0.755 | 0.752 | 0.723 | 0.690 | 0.613 | 0.553 | 0.487 |
| Normalized to TN estimated population | 0.752 | 0.750 | 0.749 | 0.741 | 0.735 | 0.736 | 0.702 | 0.667 | 0.592 | 0.530 | 0.465 |
| Normalized to TP estimated population | 0.776 | 0.759 | 0.748 | 0.731 | 0.725 | 0.724 | 0.679 | 0.640 | 0.562 | 0.495 | 0.432 |
| Normalized to PMMoV viral loads | 0.734 | 0.735 | 0.748 | 0.746 | 0.695 | 0.667 | 0.652 | 0.615 | 0.549 | 0.507 | 0.447 |
| Daily Offset | |||||||||||
|---|---|---|---|---|---|---|---|---|---|---|---|
| 0 | 1 | 2 | 3 | 4 | 5 | 6 | 7 | 8 | 9 | 10 | |
| Un-normalized | 0.408 | 0.591 | 0.629 | 0.732 | 0.781 | 0.854 | 0.878 | 0.862 | 0.860 | 0.851 | 0.780 |
| Normalized to WWTP flow | 0.418 | 0.586 | 0.627 | 0.726 | 0.758 | 0.835 | 0.846 | 0.826 | 0.828 | 0.815 | 0.753 |
| Normalized to TN estimated population | 0.421 | 0.592 | 0.623 | 0.695 | 0.737 | 0.824 | 0.784 | 0.774 | 0.746 | 0.733 | 0.674 |
| Normalized to TP estimated population | 0.230 | 0.397 | 0.434 | 0.499 | 0.596 | 0.691 | 0.704 | 0.686 | 0.754 | 0.731 | 0.746 |
| Normalized to PMMoV viral loads | 0.435 | 0.649 | 0.653 | 0.711 | 0.841 | 0.841 | 0.888 | 0.875 | 0.766 | 0.773 | 0.636 |
Publisher’s Note: MDPI stays neutral with regard to jurisdictional claims in published maps and institutional affiliations. |
© 2022 by the authors. Licensee MDPI, Basel, Switzerland. This article is an open access article distributed under the terms and conditions of the Creative Commons Attribution (CC BY) license (https://creativecommons.org/licenses/by/4.0/).
Share and Cite
Isaksson, F.; Lundy, L.; Hedström, A.; Székely, A.J.; Mohamed, N. Evaluating the Use of Alternative Normalization Approaches on SARS-CoV-2 Concentrations in Wastewater: Experiences from Two Catchments in Northern Sweden. Environments 2022, 9, 39. https://doi.org/10.3390/environments9030039
Isaksson F, Lundy L, Hedström A, Székely AJ, Mohamed N. Evaluating the Use of Alternative Normalization Approaches on SARS-CoV-2 Concentrations in Wastewater: Experiences from Two Catchments in Northern Sweden. Environments. 2022; 9(3):39. https://doi.org/10.3390/environments9030039
Chicago/Turabian StyleIsaksson, Frida, Lian Lundy, Annelie Hedström, Anna J. Székely, and Nahla Mohamed. 2022. "Evaluating the Use of Alternative Normalization Approaches on SARS-CoV-2 Concentrations in Wastewater: Experiences from Two Catchments in Northern Sweden" Environments 9, no. 3: 39. https://doi.org/10.3390/environments9030039
APA StyleIsaksson, F., Lundy, L., Hedström, A., Székely, A. J., & Mohamed, N. (2022). Evaluating the Use of Alternative Normalization Approaches on SARS-CoV-2 Concentrations in Wastewater: Experiences from Two Catchments in Northern Sweden. Environments, 9(3), 39. https://doi.org/10.3390/environments9030039

