Characterization of Gas Transport Properties of Compacted Solid Waste Materials
Abstract
1. Introduction
2. Materials and Methods
2.1. Tested Waste Materials
2.2. Physical and Chemical Properties, Waste Composition
2.3. Measurements of Compaction Property, Compressibility, Hydraulic Conductivity, and Gas Transport Parameters
3. Results and Discussion
3.1. Compaction, Compressibility, and Hydraulic Properties
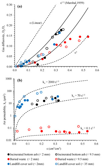
3.2. Gas Transport Parameters and Pore Tortuosity Characteristics
4. Conclusions
Author Contributions
Funding
Data Availability Statement
Conflicts of Interest
References
- Ministry of the Environment in Japan. Report on the Management and Disposal of Industrial Waste in Japan; Ministry of the Environment in Japan: Tokyo, Japan, 2020. Available online: http://www.env.go.jp/recycle/waste/sangyo.html (accessed on 6 December 2020). (In Japanese)
- Ministry of the Environment in Japan. Report on the Investigation of Actual Condition of Municipal Solid Waste Treatment in Japan; Ministry of the Environment in Japan: Tokyo, Japan, 2020. Available online: https://www.env.go.jp/recycle/waste_tech/ippan/index.html (accessed on 6 December 2020). (In Japanese)
- Dixon, N.; Jones, D.R.V.J. Engineering properties of municipal solid waste. Geotext. Geomembr. 2005, 23, 205–233. [Google Scholar] [CrossRef]
- Madon, I.; Drev, D.; Likar, J. Long-term risk assessments comparing environmental performance of different types of sanitary landfills. Waste Manag. 2019, 96, 96–107. [Google Scholar] [CrossRef] [PubMed]
- Bogner, J.E.; Spokas, K.A.; Burton, E.; Sweeney, R.; Corona, V. Landfills as atmospheric methane sources and sinks. Chemosphere 1995, 31, 4119–4130. [Google Scholar] [CrossRef]
- Eklund, B.; Anderson, E.P.; Walker, B.L.; Burrows, D.B. Characterization of landfill gas composition at the fresh kills municipal solid waste landfill. Environ. Sci. Technol. 1998, 32, 2233–2237. [Google Scholar] [CrossRef]
- Redfearn, A.; Roberts, R.D.; Dockerty, J.C.; May, M.; Hughes, S.H. Predictive health risk assessment for landfill gas. CIWM Scientific & Technical Review. Waste Manag. 2002, 12, 14–27. [Google Scholar]
- Song, S.K.; Shon, Z.H.; Kim, K.H.; Kim, S.C.; Kim, Y.K.; Kim, J.-K. Monitoring of atmospheric reduced sulfur compounds and their oxidation in two coastal landfill areas. Atmos. Environ. 2007, 41, 974–988. [Google Scholar] [CrossRef]
- Van, V.C.J.W.; Gebert, J. Effect of compaction and soil moisture on the effective permeability of sands for use in methane oxidation systems. Waste Manag. 2020, 107, 44–53. [Google Scholar] [CrossRef]
- Hamamoto, S.; Moldrup, P.; Kawamoto, K.; Wickramarachchi, P.N.; Nagamori, M.; Komatsu, T. Extreme compaction effects on gas transport parameters and estimated climate gas exchange for a landfill final cover soil. J. Geotech. Geoenviron. Eng. 2011, 137, 653–662. [Google Scholar] [CrossRef]
- Duan, Z.; Scheutz, C.; Kjeldsen, P. Trace gas emissions from municipal solid waste landfills: A review. Waste Manag. 2020, 119, 39–62. [Google Scholar] [CrossRef] [PubMed]
- Lu, X.; Fan, C.; He, W.; Deng, J.; Yin, H. Sulfur-containing amino acid methionine as the precursor of volatile organic sulfur compounds in algea-induced black bloom. J. Environ. Sci. 2013, 25, 33–43. [Google Scholar] [CrossRef]
- Wickramarachchi, P.; Kawamoto, K.; Hamamoto, S.; Nagamori, M.; Moldrup, P.; Komatsu, T. Effects of dry bulk density and particle size fraction on gas transport parameters in variably saturated landfill cover soil. Waste Manag. 2011, 31, 2464–2472. [Google Scholar] [CrossRef]
- Reddy, K.R.; Hettiarachchi, H.; Parakalla, N.S.; Gangathulasi, J.; Bogner, J.E. Geotechnical properties of fresh municipal solid waste at orchard hills landfill, USA. Waste Manag. 2009, 29, 952–959. [Google Scholar] [CrossRef]
- Hanson, J.L.; Yesiller, N.; Stockhausen, S.A.V.; Wong, W.W. Compaction characteristics of municipal solid waste. J. Geotech. Geoenviron. Eng. 2010, 136, 1095–1102. [Google Scholar] [CrossRef]
- ASTM International. ASTM D698-12e2 (2012): Standard Test Methods for Laboratory Compaction Characteristics of Soil Using Standard Effort (12 400 ft-lbf/ft3 (600 kN-m/m3)); ASTM International: West Consthohohcken, PA, USA, 2012. [Google Scholar]
- Rolston, D.E.; Moldrup, P. Gas diffusivity. In Methods of Soil Analysis; SSSA Book Series 5; Dane, J.H., Topp, G.C., Eds.; SSSA: Madison, WI, USA, 2002; Part 4; pp. 1113–1139. [Google Scholar]
- Ball, B.C.; Schjønning, P. Air permeability. In Methods of Soil Analysis; SSSA Book Series 5; Dane, J.H., Topp, G.C., Eds.; SSSA: Madison, WI, USA, 2002; Part 4; pp. 1141–1158. [Google Scholar]
- Huang, W.H. The Use of Bottom Ash in Highway Embankments, Subgrades, and Subbases; Indiana Department of Transportation and Purdue University: West Lafayette, IN, USA, 1990. [Google Scholar] [CrossRef][Green Version]
- Iqbal, M.R.; Hashimoto, K.; Tachibana, S.; Kawamoto, K. Geotechnical properties of sludge blended with crushed concrete and incineration ash. Int. J. Geomate 2019, 16, 116–123. [Google Scholar] [CrossRef]
- Iqbal, M.R.; Kawamoto, K.; Uchimura, T.; Dung, N.T.; Ton, T.K.; Tuan, N.V.; Giang, N.H. Compaction characteristics and CBR of sludge blended with recycled clay bricks for road subgrade application. Int. J. Geomate 2020, 19, 133–143. [Google Scholar] [CrossRef]
- Disfani, M.M.; Arulrajah, A.; Bo, M.W.; Hankour, R. Recycled crushed glass in road work applications. Waste Manag. 2011, 31, 2341–2351. [Google Scholar] [CrossRef]
- Acar, Y.B.; Seals, R.K.; Puppala, A.J. Engineering and Compaction Characteristics of Boiler Slag; Landva, A., Knowles, G.D., Eds.; ASTM International: West Conshohocken, PA, USA, 1990; pp. 123–141. [Google Scholar]
- Gabr, M.A.; Valero, S.N. Geotechnical properties of municipal solid waste. Geotech. Test. J. 1995, 18, 225–241. [Google Scholar] [CrossRef]
- Vilar, O.M.; Carvalho, M.F. Shear strength and consolidation properties of municipal solid waste. In Proceedings of the International Workshop, Hydro-Physico-Mechanics of Landfills, LIRIGM, Grenoble, France, 21–22 March 2005; pp. 1–5. [Google Scholar]
- Chen, Y.M.; Zhan, T.L.T.; Wei, H.Y.; Ke, H. Aging and compressibility of municipal solid wastes. Waste Manag. 2009, 29, 86–95. [Google Scholar] [CrossRef] [PubMed]
- Bareither, C.A.; Breitmeyer, R.J.; Benson, C.H.; Barlaz, M.A.; Edil, T.B. Deer track bioreactor experiment: Field-scale evaluation of municipal solid waste bioreactor performance. J. Geotech. Geoenviron. 2012, 138, 658–670. [Google Scholar] [CrossRef]
- Reddy, K.R.; Hettiarachchi, H.; Parakalla, N.; Gangathulasi, J.; Bogner, J. Hydraulic conductivity of municipal solid waste in landfills. Int. J. Environ. Eng. 2009, 135, 677–683. [Google Scholar] [CrossRef]
- Bleiker, D.E.; Farquhar, G.; McBean, E. Landfill settlement and the impact on site capacity and refuse hydraulic conductivity. Waste Manag. Res. 1995, 13, 533–554. [Google Scholar] [CrossRef]
- Buckingham, E. Contributions to Our Knowledge of the Aeration of Soils; Bulletin Series No. 25; U.S. Department of Agriculture, Bureau of Soils, Government Printing Office: Washington, DC, USA, 1904; pp. 1–52.
- Marshall, T.J. The diffusion of gases through porous media. J. Soil Sci. 1959, 10, 79–82. [Google Scholar] [CrossRef]
- Deepagoda, T.K.K.C.; Moldrup, P.; Schjønning, P.; Kawamoto, K.; Kpmatsu, T.; Jonge, W.D. Generalized density-corrected model for gas diffusivity in variably saturated soils. Soil Sci. Soc. Am. J. 2011, 75, 1315–1329. [Google Scholar] [CrossRef]
- Baniya, A.; Kawamoto, K.; Hamamoto, S.; Sakaki, T.; Saito, T.; Müller, K.; Moldrup, P.; Komatsu, T. Linking pore network structure derived by micro-focus X-ray CT to mass transport parameters in differently compacted loamy soils. Soil Res. 2019, 57, 642–656. [Google Scholar] [CrossRef]
- Moldrup, P.; Olesen, T.; Komatsu, T.; Schjonning, P.; Rolston, D.E. Tortuosity, diffusivity, and permeability in the soil liquid and gaseous phases. Soil Sci. Soc. Am. J. 2001, 65, 613–623. [Google Scholar] [CrossRef]









| Name | Gs | Size Fraction (%) | D50 | Cu | LOI (%) | pH * | EC (mS/cm) | ||
|---|---|---|---|---|---|---|---|---|---|
| <0.075 mm | 0.075–4.25 mm | 4.75–75 mm | |||||||
| Incinerated bottom ash | 2.67 | 0.3 | 83 | 17 | 0.95 | 4.4 | 1.7 | 11 | 2.0 |
| Buried waste (dumped for 20 years) | 2.62 | 2.2 | 63 | 35 | 1.6 | 27 | 17 | 8.8 | 2.8 |
| Unburnable mixed waste (1) | 2.45 | 0.2 | 47 | 53 | 5.5 | 5.8 | 1.2 | 7.2 | 0.3 |
| Unburnable mixed waste (2) | 1.37 | 0.3 | 4 | 95 | 16 | 2.7 | 81 | 7.8 | 0.4 |
| Landfill cover soil [13] | 2.66 | 22 | 42 | 36 | 0.2 (<2 mm) 1.0 (<35 mm) | 38 4.3 × 102 | 2.1 | 5.6 | 27 |
| Name | Size (mm) | Compaction | Compressibility | Saturated Hydraulic Conductivity | Source | ||
|---|---|---|---|---|---|---|---|
| ρmax (g/cm3) | OMC (%) | eo | Cc | ks (m/s) | |||
| Incinerated bottom ash | <2 <9.5 | 1.75 | N.D. * | 0.56 | 0.042 | 5.14 × 10−6 (2 mm) 2.12 × 10−6 (<9.5 mm) | This study |
| Buried waste (dumped for 20 years) | <2 | 1.34 | 34 | 1.03 | 0.083 | 5.04 × 10−8 (<2 mm) | |
| <9.5 | 1.39 | 31 | 0.85 | 0.071 | 4.29 × 10−8 (<9.5 mm) | ||
| Unburnable mixed waste (1) | <9.5 | 0.62 | N.D. * | 0.30 | 0.013 | 1.07 × 10−4 (<9.5 mm) | |
| Unburnable mixed waste (2) | <9.5 | 1.83 | N.D. * | 1.16 | 0.23 | 2.02 × 10−4 (<9.5 mm) | |
| Landfill cover soil | <2 | 1.85 | 12 | – | – | 4.87 × 10−5 (<2 mm) | [13] |
| <35 | 1.90 | 10 | – | – | 5.37 × 10−5 (<35 mm) | ||
| Boiler slag | <19 | 1.78 | 18.5 | 0.71 | 0.11 | – | [23] |
| Coal bottom ash | – | 1.19–1.87 | 12–22 | – | – | – | [19] |
| Dumped MSW (15~30 years) | <9.5 | 0.95 | 21 | 1.0–3.0 | 0.4–0.8 | 1 × 10−7–10−5 | [24] |
| Dumped MSW (~15 years) | <50 | – | – | 2.4–2.7 | 0.52–0.92 | 1 × 10−8–10−6 | [25] |
| Dumped MSW (>5 years) (1~5 years) (<1 year) | – – – | – – – | – – – | 1.1–2.8 1.2–4.2 3.4–3.8 | 0.13-0.74 0.36–1.12 0.81–1.42 | – | [26] |
| Dumped MSW | <25 | – | – | – | 0.23 | 2 × 10−7–4 × 10−5 | [27] |
| Fresh MSW | <40 | 0.42 | 70 | – | 0.24–0.33 | 1 × 10−8–10−4 | [28] |
Publisher’s Note: MDPI stays neutral with regard to jurisdictional claims in published maps and institutional affiliations. |
© 2021 by the authors. Licensee MDPI, Basel, Switzerland. This article is an open access article distributed under the terms and conditions of the Creative Commons Attribution (CC BY) license (https://creativecommons.org/licenses/by/4.0/).
Share and Cite
Iqbal, M.R.; Nandika, H.L.D.; Isobe, Y.; Kawamoto, K. Characterization of Gas Transport Properties of Compacted Solid Waste Materials. Environments 2021, 8, 26. https://doi.org/10.3390/environments8040026
Iqbal MR, Nandika HLD, Isobe Y, Kawamoto K. Characterization of Gas Transport Properties of Compacted Solid Waste Materials. Environments. 2021; 8(4):26. https://doi.org/10.3390/environments8040026
Chicago/Turabian StyleIqbal, Muhammad Rashid, Hiniduma Liyanage Damith Nandika, Yugo Isobe, and Ken Kawamoto. 2021. "Characterization of Gas Transport Properties of Compacted Solid Waste Materials" Environments 8, no. 4: 26. https://doi.org/10.3390/environments8040026
APA StyleIqbal, M. R., Nandika, H. L. D., Isobe, Y., & Kawamoto, K. (2021). Characterization of Gas Transport Properties of Compacted Solid Waste Materials. Environments, 8(4), 26. https://doi.org/10.3390/environments8040026

