Abstract
This study examined the potential of organic solid waste for biohydrogen production using immobilized anaerobic sludge. Biohydrogen was produced under batch mode at process conditions of 7.9, 30.3 °C and 90 h for pH, temperature and fermentation time, respectively. A maximum biohydrogen fraction of 48.67%, which corresponded to a biohydrogen yield of 215.39 mL H2/g Total Volatile Solids (TVS), was achieved. Therefore, the utilization of immobilized cells could pave the way for a large-scale biohydrogen production process.
1. Introduction
Among the biohydrogen-producing methods, dark fermentation is considered a cost-effective process because it uses less energy input and uses diverse feedstocks and microorganisms [1,2]. Most biohydrogen production processes documented in the literature are carried out using suspended biocatalysts. This leads to cell washout during continuous modes which in turn limits the biohydrogen production rates and process yields [3,4,5]. Therefore, it is imperative to maintain high cell concentrations for stable and enhanced biohydrogen production processes [6,7].
Immobilization of biohydrogen-producing cells has been proposed in biohydrogen process development because they are resistant to cell washout and metal toxicity, stabilize pH, shorten the fermentation periods, produce better yields and are reusable [8,9,10,11,12,13]. Moreover, they have been used in different biohydrogen-producing bioreactors such as continuous stirred tank reactors, fluidized bed reactors, up-flow anaerobic sludge bed reactors and carrier-induced granular sludge bed reactors [14,15,16,17,18]. These cells are immobilized using adsorption, entrapment and encapsulation methods [19,20]. The support materials include agar, alginate, cellulose, carrageenan, polyacrylamide, polyurethane, polyvinyl, polypropylene and other materials [15].
Alginate has been identified as the most preferred immobilizing material. It is a linear hetero-polysaccharide of d-mannuronic and l-guluronic acid extracted from various species of algae [21,22]. The beads of alginate can be formed by both extrusion and emulsion methods. The use of alginate is favoured because of its affordability, simplicity and biocompatibility [11]. Microorganisms are well retained in the alginate gel matrix and estimated to have a pore size of less than 17 nm [23,24]. They also allow a better retention under low hydraulic retention times and create anaerobic microenvironments for microbial cells [24].
South Africa has been experiencing a sporadic increase with regards to the disposal of its organic solid waste. Consequently, about 59 million tons of organic solid waste was produced in 2014 from the agricultural, municipal and industrial sectors [25]. This value is expected to increase in subsequent years due to the high level of urbanization and industrialization that is occurring in most cities across the country [25]. The challenge is that these waste materials are mostly disposed in landfills and rivers, causing serious adverse effects on environmental and aquatic systems. Besides, their disposal also poses serious health hazards to people living near these sites. These landfills have been indicated as the possible cause of illnesses such as cancer, asthma and bronchitis [26]. The disposal of these wastes in open dumps has resulted in an increase in the breeding of disease vectors such as rats, houseflies and mosquitoes [27].
South African legislation mandates municipalities and industries to dispose their waste in a manner that does not pose a threat to both the environment and the people. Nonetheless, the current waste disposal methods such as landfills and incinerators do not comply with the environmental regulations. Studies have also shown that the cost of waste disposal and the penalties imposed on municipalities and industries have increased drastically over the past few years, usually reaching millions of dollars. These fines are sometimes combined with other penalties, such as the obligation to decontaminate polluted areas which can involve considerable expenses for private and government institutions [28]. Therefore, new and innovative approaches for waste management are needed to address these challenges. The utilization of organic solid waste for the biohydrogen fermentation process is increasingly gaining global recognition due to its several merits. In addition, this process demonstrates a feasible and attractive approach towards sustainable energy development as these waste materials are abundant, renewable, rich in carbohydrate content and easily accessible. Furthermore, South Africa will increasingly generate more waste due to the high level of infrastructure development that is occurring across the country. The production of biohydrogen from these waste materials will have a significant contribution towards the generation of clean energy and the mitigation of environmental pollution.
Research is currently underway to address some of the limiting factors of biohydrogen production such as (i) low yields; (ii) finding feedstocks that are cheap and rich in carbohydrate content; (iii) finding suitable storage materials; and (iv) optimizing the operational setpoint parameters. However, most dark fermentative biohydrogen production studies are still carried out at bench scale. Hence, this does not truly indicate the process dynamics of fermentative biohydrogen production process since other contributing factors such as pressure, heat transfer and mass transfer affect the overall process on a large scale. To the best of our knowledge, there are no studies in the literature that have reported the production of dark fermentative biohydrogen at a semi-pilot scale using immobilized anaerobic sludge under batch process. Therefore, a semi-pilot process was carried out in our laboratory to examine the possibility of attaining an enhanced production of biohydrogen from organic solid waste using immobilized bacteria of anaerobic sludge in a batch 10 L reactor.
2. Materials and Methods
2.1. Pretreatment of Substrate
The organic solid waste was obtained from food stores in Johannesburg CBD, South Africa. They were dried at room temperature and then reduced to small particle size of 2.00–2.80 mm using a milling machine (Retch GmbH, Haan, Germany) as described by Gomez et al. [29]. The waste consisted of 2% paper, 8% bread, 10% apple, 10% orange, 35% cabbage and 35% potato, respectively [29]. The Total Volatile Solid (TVS) of these materials was calculated using the American Public Health Association (APHA) standard method [30].
2.2. Inoculum Development
The anaerobic digested sludge was collected from the Bushkoppies wastewater treatment facility in Johannesburg, South Africa. It was pretreated using an autoclave (121 °C, 15 min) to suppress the activity of biohydrogen-consuming microorganisms and enumerate the biohydrogen-producers as reported in literature [31]. Thereafter, it was centrifuged (10,000 rpm, 15 min) to harvest the biohydrogen-producing cells which were immobilized with calcium alginate solution. The characteristics of the anaerobic sludge are summarized in Table 1.
Table 1.
Characteristics of anaerobic sludge.
2.3. Immobilization of Bacteria with Calcium Alginate
A 2% (w/v) aqueous solution of alginate was prepared by suspending 2 g of alginate powder in 100 mL of distilled water. The solution was stirred for 2 h to attain homogeneity. The bacterial cells were entrapped into the alginate matrix by mixing the resulting pellets with the alginate solution. Alginate gel beads containing entrapped bacteria were extruded drop-wisely through a peristaltic pump into a 2% CaCl2 solution. The diameter of the beads was 3–4 mm and stored in 0.05% CaCl2 solution at ambient temperature prior to use.
2.4. Batch Fermentative Biohydrogen Production Process
Biohydrogen production process was carried out in a 10 L bioreactor (Infors HT, Basel, Switzerland). Prior to use, the reactor was sterilized by autoclaving at 121 °C for 15 min. It was fed with 30 g/L of organic waste and 4500 mL synthetic medium consisting of inorganic salts (g/L): MgCl2·6H2O 0.3, NH4Cl 0.5, FeCl3 0.025, KH2PO4 0.25, K2HPO4 0.25, ZnCl2 0.0115, CuCl2 0.0105, CaCl2 0.005 and MnCl2 0.015. The bioreactor was inoculated with immobilized sludge beads (total weight 130 g). The operational setpoint parameters for temperature, initial pH (adjusted without further control), agitation and fermentation time were 30 ± 0.5 °C, 7.9, 100 rpm and 90 h respectively. These conditions were obtained from our previously published work that carried out biohydrogen fermentation process using suspended cells at semi-pilot scale as well [31]. The bioreactor was flushed with nitrogen gas for 10 min to remove oxygen in the headspace and maintain anaerobic conditions. The process was conducted in duplicate.
2.5. Analytical Methods
The fraction of biogas consisting of hydrogen, carbon dioxide, and methane was measured at 1 min interval using BCP-H2, BCP-CH4 and BCP-CO2 GmbH sensors (Bluesens, Herten, Germany). Meanwhile, the cumulative volume of biogas was measured using the water displacement method [31]. The volatile fatty acids analysis was conducted at Nutrilab (Pretoria, South Africa). Samples were analyzed using gas chromatography (Varian 3700 FID GC, Palo Alto, CA, USA), equipped with SP2330 column (2 m × 3 mm). Nitrogen was used as a carrier gas at a flow rate of 30 mL/min. The Chemical Oxygen Demand (Soluble COD and Total COD), Biochemical Oxygen Demand (BOD), Total Kjeldahl Nitrogen (TKN), Total Solids (TS), Volatile Suspended Solids (VSS) and Total Volatile Solids (TVS) were calculated according to the standard methods [30]. The pH was measured using a pH Meter Basic 20+ (Crison, Barcelona, Spain) whereas carbon, hydrogen, nitrogen and sulphur were detected using a Flash 2000 CHNS Analyzer (Thermo Scientific, Waltham, MA, USA). The chararacteristics of organic solid waste are presented in Table 2.
Table 2.
Characteristics of organic solid waste.
3. Results and Discussion
3.1. Effects of Immobilized Bacteria on Biohydrogen Production
This study was carried out to enhance the production of biohydrogen using immobilized anaerobic sludge at a semi-pilot scale. The biohydrogen-producing bioreactor was run in a batch mode for a period of 90 h. A fermentation period beyond 90 h proved to be unfavourable for biohydrogen production because biohydrogen-inhibiting organisms such as methanogens and homoacetogens thrive at this stage and therefore compete with biohydrogen-producing reactions, thereby reducing its process yield [3].
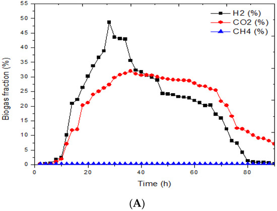
The biohydrogen evolution profile from the immobilized anaerobic sludge beads is shown in Figure 1A–C, respectively. Biohydrogen production started after a short lag period of 2 h and reached a peak of 48.67% (Figure 1A), a cumulative volume of 4000 mL (Figure 1B) and a cumulative yield of 215.39 mL H2/g TVS (Figure 1C). Thereafter, biohydrogen decreased steadily for an extended period of 44 h, reaching a biohydrogen fraction of 0.32% as nutrients were being exhausted as shown in Figure 1A. During this stage, there is a shift in the metabolic pathway; biohydrogen-inhibiting biochemical reactions occur and thus compete with biohydrogen-producing pathways, thereby decreasing the overall yield, as reported in the literature [30]. This shift is known as the acidogenic-solventogenic transition and is associated with the production of biohydrogen-consuming microorganisms such as homoacetogens, sulphate-reducing bacteria and methanogenic archaea, as mentioned above [30]. Soluble metabolites such as organic acids and alcohols are produced and decrease the pH of the fermentation medium [3].

Figure 1.
(A) Evolution of biogas fraction of hydrogen, methane and carbon dioxide; (B) cumulative biogas volume during biohydrogen fermentation process using immobilized bacteria; and (C) cumulative hydrogen yield.
The use of immobilized bacteria proved to be effective for enhancing biohydrogen production; a 4.21% increase in biohydrogen fraction was generated using the alginate beads compared to our previous work which employed suspended cultures at semi-pilot scale [31]. These results correlate with the literature. A recent study by Akinbomi et al. [32] reported a biohydrogen increment of 1.3, 2.2 and 2.7 from a fruit-flavored medium of hexanal, myrcene and octanol, respectively, when the biohydrogen-producing anaerobic sludge was immobilized with polyvinylidene fluoride membrane. Keskin et al. [33] compared two bioreactor systems consisting of suspended and immobilized cells. The immobilized reactor produced a biohydrogen increase that was five times higher than that of suspended cell cultures. In another study, Zhang et al. [16] examined the production of biohydrogen using three inoculum types of suspended, biofilm and granular sludge in a continuous stirred tank reactor (CSTR). A 10-fold and 20-fold biohydrogen increased was achieved using granular and biofilm sludge. A plausible reason for these findings may be due to the fact that these biocatalysts are entrapped within a matrix and therefore can withstand inhibitory fermentative end-products (e.g., alcohols) and extremely low pH during biohydrogen production, unlike suspended cultures which are in direct contact with the fermentation medium [34].
Nonetheless, alginate beads still suffer from several limitations such as weak mechanical stability and poor porosity. Therefore, several approaches have been applied to alginate beads to improve their mechanical stability and permeability (these are discussed in Section 3.3). Besides, other immobilization materials have been investigated in biohydrogen production. For instance, Seol et al. [20] evaluated the effect of the bacteria-immobilizing agents of agar, agarose, and calcium alginate, respectively. Agar and agarose exhibited a mechanical stability and no breakage of beads or leakage of cells was observed. A maximum volumetric production rate of 2.4 H2 mL/L/h was obtained from agar. Barros and Silva [11] assessed three support materials of polystyrene, grounded tire, and polyethylene terephthalate on biohydrogen production using three anaerobic fluidized bed reactors and achieved a biohydrogen fraction and production rate of 60% and 300 mL H2/L/h, respectively, from cells immobilized with grounded tire. Meanwhile, Wongthanate and Polprasert [13] immobilized biohydrogen-producing bacteria using both biological (ramie and loofah) and synthetic (acrylic, polyethylene, polyvinylchloride) polymers and achieved a maximum biohydrogen production yield of 1210 mL H2/L wastewater using acrylic material. Other support materials reported in literature include activated carbon, nanoparticles, cations, and micelles [3].
Even though this study assessed the feasibility of a batch fermentation process using immobilized cells, most studies reported in the literature have used continuous modes of fermentation to prolong its production which in turn enhances its yield. Parameters such as the organic loading rate (OLR) and hydraulic retention time (HRT) are evaluated and are conducted at optimal conditions in order to maintain sufficient biomass concentration and inhibit the biohydrogen-consuming methanogens during the dark fermentation process. In studies that examined these parameters, Keskin et al. [33] varied various HRTs (1.5–24 h) and obtained an optimum production rate of 0.11 H2/L/h at a short HRT of 3 h. Junior et al. [35] evaluated the effect of various OLRs (6.5–51.4 g COD/L/d) on the biohydrogen production rate and reported a high production rate of 0.98 L H2/L/h at 51.4 g COD/L/d. High OLRs are preferred in the dark fermentative biohydrogen production process because they increase the substrate conversion efficiency, while short HRTs inhibit the growth of methanogenic bacteria which requires longer times to grow as compared to acidogenic biohydrogen-producing bacteria [35]. From these findings, it can also be concluded that an appropriate fermentation time (not more than 90 h in this study) is very crucial in a batch fermentative biohydrogen production process because if this parameter is overlooked, biohydrogen-consuming methanogens might thrive during the process and inhibit the biohydrogen-producers as reported in various studies of dark fermentation [2,29].
3.2. Volatile Fatty Acids Production during Biohydrogen Fermentation
The dark fermentation process is associated with the production of metabolites such as acetate, butyrate, propionate, valerate and ethanol which reflect changes in the metabolic pathways of biohydrogen-producing consortia during the acidogenic-solventogenic transition. A better knowledge of such changes could improve our understanding of the mechanisms of the biochemical reactions involved and the conditions favourable for its production when using different substrates [15]. During the course of biohydrogen production process, liquid samples from the bioreactor were collected and analyzed for individual volatile fatty acids (VFAs). The VFAs detected were acetate, butyrate and propionate as shown in Table 3, and they accounted for 56.37%, 41.86%, and 1.77%, respectively, during the lag phase of biohydrogen production (4 h). Meanwhile, acetate increased to 68.09% and butyrate decreased to 29.82% when biohydrogen was produced at an exponential phase (20 h). The acetate-fermentation pathway was therefore favoured in this process. During this process, there is a high production of NAD+/NADH which maximize the yields of biohydrogen [20,36]. These results are consistent with the stoichiometric relationship of Equations (1) and (2). Based on these equations, 4 mols of biohydrogen are produced from the acetate-fermentation pathway and 2 mols of biohydrogen are produced from the butyrate-fermentation pathway. Earlier studies on biohydrogen production have also shown that biohydrogen-producing bacteria such as Clostridium species form these metabolites during their exponential growth phase [34]. The production of the aforementioned VFA components suggested that both fermentation pathways occurred simultaneously during the biohydrogen fermentation process, as reported in the literature [18]. It has been shown that there might be an optimal acetate/butyrate ratio for biohydrogen production but the ratio depends on the biohydrogen-producing bacteria and substrate used [9,10]. A similar pattern was also reported by Wu et al. [1]; VFAs (butyrate, acetate and propionate) accounted for more than 95% of the soluble metabolites during the dark fermentative biohydrogen production process using cells immobilized with calcium alginate.
Table 3.
Production of volatile fatty acids during biohydrogen production.
Acetate: C6H12O6 + 2H2O → 2CH3COOH + 2CO2 + 4H2
Butyrate: C6H12O6 → CH3CH2CH2COOH + 2CO2 + 2H2
Propionate: C6H12O6 + 2H2 → 2CH3CH2COOH + 2H2O
Ethanol: C6H12O6 → CH3CH2OH + CO2
Studies on biohydrogen production processes have pointed out that metabolites such as propionate and ethanol are not suitable for its production as shown in Equations (3) and (4), respectively [6]. It has been indicated in the literature that these intermediates may be associated with the growth of other microorganisms which do not favour the production of biohydrogen [1]. Higher acetate/butyrate ratios and lower concentrations of propionic acid reflect a higher efficiency of the biological biohydrogen production because thermal treatment of anaerobic sludge is predominated by spore-forming microorganisms, most of which are clostridia species, which produce biohydrogen during acetic and butyric acid production [1,3]. The ratio of acetate decreased to 53.07% when biohydrogen reached the death phase (40 h); however, the butyrate remained relatively high (45.8%). These results are in correlation with previous studies of biohydrogen from organic fractions of municipal solid waste and food waste. Lin et al. [9] reported high acetate and butyrate concentrations of 0.97 and 2.81 g/L, respectively, from the organic fraction of municipal solid waste. Leino et al. [8] reported acetate and butyrate concentrations of 137 and 898 mg/L from food waste. Similar results were confirmed by Seelert et al. [10]; they reported a high acetate/butyrate ratio and a low concentration of propionate for biohydrogen production from food waste.
3.3. Strategies Used to Improve the Mechanical Stability of Calcium Alginate Matrix
It has also been shown that incorporating the alginate matrix with supplemental materials such as cellulose, metals, and carbon-source nutrients improves the porosity and mechanical stability of alginate beads [28,29,30,31,32,33,34,35,36,37,38]. Wu et al. [1] obtained a three-fold increase in biohydrogen production when alginate beads were supplemented with aluminum oxide and titanium oxide, giving a biohydrogen production rate of 20.3 and 21.3 mmol/L/h, respectively. Lin et al. [14] obtained a two-fold increase in biohydrogen production when the calcium alginate beads were supplemented with activated carbon. In another study, Singh et al. [24] successfully enhanced the production of biohydrogen using immobilized Clostridium LS2 cells with polyethylene glycol in a continuous process. The biohydrogen content in the biogas and the COD removal was maintained in the range of 68%–70% and 66%–68% during the 96 h fermentation period [24]. Furthermore, Lin et al. [9] maintained a relatively stable biohydrogen fraction of 40% using immobilized sewage sludge with ethylene-vinyl acetate copolymer. Studies have shown that synthetic polymeric-immobilizing matrices are not easily degraded and have a stable mechanical performance as compared to natural carries. Hence, materials such as polyacrylamide, polyvinyl-alcohol, polyethylene-glycol and polycarbamoyl-sulphonate are highly favoured as encapsulation carriers in continuous fermentation processes [39,40].
Other less-known immobilization carriers are being exploited as well; a recent study by Pekguzel et al. [41] compared two different types of support materials, glass beads and raschig rings, on the biohydrogen production performance. Glass beads were shown to be a suitable immobilization matrix as compared to raschig rings. Thus, a six-fold increase in the biohydrogen production was obtained using glass beads [41]. Utilization of these immobilization matrices could pave a way for biohydrogen process development; however, more studies need to be carried out at a large-scale to fully understand the process dynamics involved during the biohydrogen fermentation process when applying these materials.
4. Conclusions
This work demonstrated the potential of attaining a high biohydrogen production using immobilized anaerobic sludge with calcium alginate beads in a semi-pilot process. A maximum biohydrogen fraction of 48.67%, which corresponded to a biohydrogen yield of 215.39 mL H2/g TVS, was achieved at batch fermentation conditions of 7.9, 30.3 °C and 90 h for pH, temperature and fermentation time, respectively. The volatile fatty acids (acetate and butyrate) which are generated during biohydrogen production accounted for 68.09% and 29.82%, respectively, at peak production. The utilization of immobilized cells could help to surpass some of the biohydrogen production limitations, especially those related to low yields.
Acknowledgments
The authors wish to acknowledge financial support from the National Research Foundation, Department of Science and Technology, South Africa (NRF-DST, Grant Numbers 95061 and 94874, respectively) and the University of the Witwatersrand (Johannesburg, South Africa) for the Postgraduate Merit Award (PMA) to pursue their postgraduate studies.
Author Contributions
Patrick T. Sekoai wrote the manuscript, Kelvin O. Yoro critically revised it. Michael O. Daramola is a supervisor to both authors and is guiding them in their postgraduate studies and was also helpful in revising this manuscript.
Conflicts of Interest
The authors declare no conflict of interest to the publication of this manuscript.
References
- Wu, K.; Chang, J.; Chang, C. Biohydrogen production using suspended and immobilized mixed microflora. J. Chin. Inst. Chem. Eng. 2006, 37, 545–550. [Google Scholar]
- Faloye, F.D.; Gueguim Kana, E.B. Optimization of biohydrogen inoculum development via a hybrid pH and microwave treatment technique—Semi pilot scale production assessment. Int. J. Hydrogen Energy 2014, 39, 5607–5616. [Google Scholar] [CrossRef]
- Ghimire, A.; Frunzo, L.; Pirozzi, F.; Trably, E.; Escudie, R.; Lens, P.N.L.; Esposito, G. A review on dark fermentative biohydrogen production from organic biomass: Process parameters and use of by-products. Appl. Energy 2015, 144, 73–95. [Google Scholar] [CrossRef]
- Chen, C.; Lin, C.; Chang, J. Kinetics of hydrogen production with continuous anaerobic cultures utilizing sucrose as the limiting substrate. Appl. Microbiol. Biotechnol. 2002, 57, 56–64. [Google Scholar]
- Wu, S.Y.; Lin, C.N.; Chang, J.S. Biohydrogen production with anaerobic sludge immobilized by ethylene-vinyl acetate copolymer. Int. J. Hydrogen Energy 2005, 30, 1375–1381. [Google Scholar] [CrossRef]
- Chang, J.S.; Lee, K.S.; Lin, P.J. Biohydrogen production with fixed-bed bioreactors. Int. J. Hydrogen Energy 2002, 27, 1167–1174. [Google Scholar] [CrossRef]
- Kumar, N.; Das, D. Continuous hydrogen production by immobilized Enterobacter cloacae IIT-BT 08 using lignocellulosic materials as solid matrices. Enzym. Microb. Technol. 2001, 29, 280–287. [Google Scholar] [CrossRef]
- Leino, H.; Kosourov, S.N.; Saari, L.; Sivonen, K.; Tsygankov, A.A.; Aro, E.M.; Allahverdiyeva, Y. Extended H2 photoproduction by N2-fixing cyanobacteria immobilized in thin alginate films. Int. J. Hydrogen Energy 2011, 37, 151–161. [Google Scholar] [CrossRef]
- Lin, C.N.; Wu, S.Y.; Chang, J.S.; Chang, J.S. Biohydrogen production in a three-phase fluidized bed bioreactor using sewage sludge immobilized by ethylene-vinyl acetate copolymer. Bioresour. Technol. 2009, 100, 3298–3301. [Google Scholar] [CrossRef] [PubMed]
- Seelert, T.; Ghosh, D.; Yargeau, V. Improving biohydrogen production using Clostridium beijerinckii immobilized with magnetite nanoparticles. Appl. Microbiol. Biotechnol. 2015, 9, 4107–4116. [Google Scholar] [CrossRef] [PubMed]
- Barros, A.R.; Silva, E.L. Hydrogen and ethanol production in anaerobic fluidized bed reactors: Performance evaluation for three support materials under different operating conditions. Biochem. Eng. J. 2012, 61, 59–65. [Google Scholar] [CrossRef]
- Krasaekoopt, W.; Bhandari, B.; Deeth, H. The influence of coating materials on some properties of alginate beads and survivability of microencapsulated probiotic bacteria. Int. Dairy J. 2004, 14, 737–743. [Google Scholar] [CrossRef]
- Wongthanate, J.; Polprasert, C. Immobilized Biofilm in Thermophilic Biohydrogen Production using Synthetic versus Biological Materials. Braz. Arch. Biol. Technol. 2015, 58, 124–130. [Google Scholar] [CrossRef]
- Lin, S.Y.; Lin, C.N.; Chang, J.S.; Lee, K.S.; Lin, P.J. Microbial hydrogen production with immobilized sewage sludge. Biotechnol. Prog. 2002, 18, 921–926. [Google Scholar]
- Lin, C.Y.; Lee, C.Y.; Tseng, I.; Shiao, I. Biohydrogen production from sucrose using base-enriched anaerobic mixed microflora. Process Biochem. 2006, 41, 915–919. [Google Scholar] [CrossRef]
- Zhang, Z.P.; Show, K.Y.; Tay, J.H.; Liang, D.T.; Lee, D.J. Enhanced Continuous Biohydrogen Production by Immobilized Anaerobic Microflora. Energy Fuels 2007, 22, 87–92. [Google Scholar] [CrossRef]
- Chang, F.Y.; Lin, C.Y. Biohydrogen production using an up-flow anaerobic sludge blanket reactor. Int. J. Hydrogen Energy 2004, 29, 33–39. [Google Scholar] [CrossRef]
- Lee, K.S.; Lin, P.J.; Chang, J.S. Temperature effects on biohydrogen production in a granular sludge bed induced by activated carbon carriers. Int. J. Hydrogen Energy 2006, 31, 465–472. [Google Scholar] [CrossRef]
- Wu, S.Y.; Hung, C.H.; Lin, C.N.; Chen, H.W.; Lee, A.S.; Chang, J.S. Fermentative hydrogen production and bacterial community structure in high-rate anaerobic bioreactors containing silicone-immobilized and self-flocculated sludge. Biotechnol. Bioeng. 2006, 93, 934–946. [Google Scholar] [CrossRef] [PubMed]
- Seol, E.; Manimaran, A.; Jang, Y.; Kim, S.; Oh, Y.K.; Park, S. Sustained hydrogen production from formate using immobilized recombinant Escherichia coli SH5. Int. J. Hydrogen Energy 2011, 36, 8681–8686. [Google Scholar] [CrossRef]
- Smidsrod, O. Alginate as immobilization matrix for cells. Trends Biotechnol. 1990, 8, 71–78. [Google Scholar] [CrossRef]
- Tan, T.W.; Jin, X.H.; Hu, B.; Zhang, M.J. Release behavior of ketoprofen from chitosan/alginate microcapsules. Bioact. Compat. Polym. 2003, 18, 207–218. [Google Scholar] [CrossRef]
- Klein, J.; Stock, J.; Vorlop, K.D. Pore size and properties of spherical Ca-alginate biocatalysts. Eur. J. Appl. Microbiol. Biotechnol. 1983, 18, 86–91. [Google Scholar] [CrossRef]
- Singh, L.; Wahid, Z.A.; Siddiqui, M.F.; Ahmad, A.; Ab Rahim, M.H.; Sakinah, M. Application of immobilized upflow anaerobic sludge blanket reactor using Clostridium LS2 for enhanced biohydrogen production and treatment efficiency of palm oil mill effluent. Int. J. Hydrogen Energy 2012, 38, 2221–2229. [Google Scholar] [CrossRef]
- Department of Environmental Affairs. National Waste Information Baseline Report; Department of Environmental Affairs: Pretoria, South Africa, 2014.
- Broomfield, M.; Davies, J.; Harrison, R. Review of Environmental and Health Effects of Management of Municipal Solid Waste; Department for Environment, Food and Rural Affairs: London, UK, 2004.
- Tadesse, T. Solid and Hazardous Waste Management; Ethiopia Public Health Training Initiative: Addis Ababa, Ethiopia, 2004. [Google Scholar]
- Devesa-Rey, R.; Vecino, X.; Varela-Alende, J.L.; Barral, M.T.; Cruz, J.M.; Moldes, A.B. Valorization of winery waste vs. the costs of not recycling. Waste Manag. 2011, 31, 2327–2335. [Google Scholar] [CrossRef] [PubMed]
- Gomez, X.; Moran, A.; Cuetos, M.; Sanchez, M. The production of hydrogen by dark fermentation of municipal solid wastes and slaughterhouse waste. J. Power Sources 2006, 157, 727–732. [Google Scholar] [CrossRef]
- American Public Health Association (APHA). Standard Methods for the Examination of Water and Wastewater, 20th ed.; APHA: Washington, DC,USA, 1998. [Google Scholar]
- Sekoai, P.T.; Gueguim Kana, E.B. Semi-pilot scale production of hydrogen from Organic Fraction of Solid Municipal Waste and electricity generation from process effluents. Biomass Bioenergy 2014, 60, 156–163. [Google Scholar] [CrossRef]
- Akinbomi, J.; Wikandari, R.; Taherzadeh, M.J. Enhanced Fermentative Hydrogen and Methane Production from an Inhibitory Fruit-Flavored Medium with Membrane-Encapsulated Cells. Membranes 2015, 5, 616–631. [Google Scholar] [CrossRef] [PubMed]
- Keskin, T.; Giusti, L.; Azbar, N. Continuous biohydrogen production in immobilized biofilm system versus suspended cell culture. Int. J. Hydrogen Energy 2012, 37, 1418–1424. [Google Scholar] [CrossRef]
- Cai, G.; Jin, B.; Monis, P.; Saint, C. Metabolic flux network and analysis of fermentative hydrogen production. Biotechnol. Adv. 2011, 29, 375–387. [Google Scholar] [CrossRef] [PubMed]
- Junior, A.D.N.Z.; Zaiat, M.; Gupta, M.; Elbeshbishy, E.; Hafez, H.; Nakhla, G. Impact of organic loading rate on biohydrogen production in an up-flow anaerobic packed bed reactor (UAnPBR). Bioresour. Technol. 2014, 164, 371–379. [Google Scholar] [CrossRef] [PubMed]
- Cheng, X.Y.; Liu, C.Z. Hydrogen production via thermophilic fermentation of cornstalk by Clostridium thermocellum. Energy Fuels 2011, 25, 1714–1720. [Google Scholar] [CrossRef]
- Wang, X.; Jin, B. Process optimization of biological hydrogen production from molasses by a newly isolated Clostridium butyricum W5. Biosci. Bioeng. 2009, 107, 138–144. [Google Scholar] [CrossRef] [PubMed]
- Yokoi, H.; Tokushige, T.; Hirose, J.; Hayashi, S.; Takasaki, Y. Hydrogen production by immobilized cells of aciduric Enterobacter aerogenes strain HO-39. J. Ferment. Bioeng. 1997, 83, 481–484. [Google Scholar] [CrossRef]
- Leenen, E.J.; Dos Santos, V.A.; Grolle, K.C.; Tramper, J.; Wijffels, R. Characteristics of and selection criteria for support materials for cell immobilization in wastewater treatment. Water Res. 1996, 30, 2985–2996. [Google Scholar] [CrossRef]
- Moreno-Garrido, I. Microalgae immobilization: Current techniques and uses. Bioresour. Technol. 2008, 99, 3949–3964. [Google Scholar] [CrossRef] [PubMed]
- Pekguzel, E.A.; Gundogdu, T.K.; Azbar, N. Enhancement of Biohydrogen Production via Thermophilic Cell Culture Immobilized on Glass Beads and Raschig Rings of Different Sizes in a Packed Bed Reactor. Chem. Biochem. Eng. Q. 2015, 24, 541–547. [Google Scholar] [CrossRef]
© 2016 by the authors; licensee MDPI, Basel, Switzerland. This article is an open access article distributed under the terms and conditions of the Creative Commons Attribution (CC-BY) license (http://creativecommons.org/licenses/by/4.0/).