Reviewing Treatment Options for Organohalogen Contamination: From Established Methods to Fungal Prospects
Abstract
1. Introduction
2. Overview of Halogenated Compounds and Their Applications
2.1. Halogenated Nitrophenols (HNCs)
2.2. Trichloroethylene (TCE)
2.3. Per- and Polyfluoroalkyl Substances (PFAS)
3. Overview of Current Treatment Methods and Research Gaps
3.1. Treatment Methods
3.2. Chemical Methods
3.2.1. Advanced Oxidation Processes (Halogenated Nitrophenol, Trichloroethylene, and per- and Polyfluoroalkyl Substances)
3.2.2. Photocatalysis (TiO2/UV ZnO/UV, UV/O3 and UV/H2O2)
3.2.3. Electrochemical Oxidation (EO) for PFAS Remediation
3.3. Adsorption Methods
3.3.1. Ion Exchange
3.3.2. Activated Carbon and Biochar
3.4. Physical Methods
3.4.1. Membrane Technologies: Reverse Osmosis and Nanofiltration
3.4.2. Soil Vapor Extraction (SVE) for TCE Remediation
3.5. Thermal Treatment for Contaminant Removal
3.6. Biodegradation of Halogenated Nitrophenol, Trichloroethylene, and per- and Polyfluoroalkyl Substances
4. Mycodegradation Potential
4.1. Comparative Evaluation of Mycodegradation and Conventional Approaches
4.2. Mycodegradation of Organohalogen Compounds
4.2.1. Mycodegradation of Halogenated Nitrophenol
4.2.2. Mycodegradation of Trichloroethylene
4.2.3. Mycodegradation of PFAS
4.3. Mycodegradation of Halogenated Organic Pollutants and Halogenated Substrates
4.3.1. Mycodegradation of Reactive Halogenated Dyes and Colorants
4.3.2. Mycodegradation of Halogenated Pesticides and Herbicides
4.3.3. Mycodegradation of Halogenated Pharmaceuticals
4.3.4. Fungal Chloroperoxidase Producers and Potassium Fluoride Utilization
4.4. Limitations of Mycodegradation Approaches
5. Conclusions
Author Contributions
Funding
Data Availability Statement
Acknowledgments
Conflicts of Interest
References
- Hardman, D.J. Biotransformation of halogenated compounds. Crit. Rev. Biotechnol. 1991, 11, 1–40. [Google Scholar] [CrossRef] [PubMed]
- Hayes, R.B. Dry Cleaning, Some Chlorinated Solvents and Other Industrial Chemicals. IARC Monographs on the Evaluation of Carcinogenic Risks to Humans; JSTOR: Lyon, France, 1996; Volume 63, Available online: https://publications.iarc.fr/Book-And-Report-Series/Iarc-Monographs-On-The-Identification-Of-Carcinogenic-Hazards-To-Humans/Dry-Cleaning-Some-Chlorinated-Solvents-And-Other-Industrial-Chemicals-1995 (accessed on 23 May 2025).
- Wanninayake, D.M. Comparison of currently available PFAS remediation technologies in water: A review. J. Environ. Manag. 2021, 283, 111977. [Google Scholar] [CrossRef] [PubMed]
- Neonicotinoid Pesticide Market—By Type (Imidacloprid, Thiamethoxam, Clothianidin, Dinotefuran, Acetamiprid) By Crop Type (Cereals, Oilseed, Fruits, Vegetables, Pulses), By Application Method & Forecast, 2024–2032. Available online: https://www.gminsights.com/industry-analysis/neonicotinoid-pesticide-market#:~:text=Neonicotinoid%20Pesticide%20Market%20was%20valued,owing%20to%20its%20versatile%20applications (accessed on 31 August 2024).
- Global Fluorinated Compounds Market Growth 2024–2030. Available online: https://www.researchreportsworld.com/global-fluorinated-compounds-market-26325246 (accessed on 31 August 2024).
- E.P.A, U.S. Sources, Emission and Exposure to Trichloroethylene (TCE) and Related Chemicals. Available online: https://cfpub.epa.gov/ncea/risk/recordisplay.cfm?deid=21006 (accessed on 6 March 2025).
- Wu, C.; Schaum, J. Exposure assessment of trichloroethylene. Environ. Health Perspect. 2000, 108 (Suppl. 2), 359–363. [Google Scholar] [CrossRef]
- Gagliano, E.; Sgroi, M.; Falciglia, P.P.; Vagliasindi, F.G.; Roccaro, P. Removal of poly-and perfluoroalkyl substances (PFAS) from water by adsorption: Role of PFAS chain length, effect of organic matter and challenges in adsorbent regeneration. Water Res. 2020, 171, 115381. [Google Scholar] [CrossRef]
- Dixit, F.; Barbeau, B.; Mostafavi, S.G.; Mohseni, M. Removal of legacy PFAS and other fluorotelomers: Optimized regeneration strategies in DOM-rich waters. Water Res. 2020, 183, 116098. [Google Scholar] [CrossRef]
- Evich, M.G.; Davis, M.J.; McCord, J.P.; Acrey, B.; Awkerman, J.A.; Knappe, D.R.; Lindstrom, A.B.; Speth, T.F.; Tebes-Stevens, C.; Strynar, M.J. Per-and polyfluoroalkyl substances in the environment. Science 2022, 375, eabg9065. [Google Scholar] [CrossRef]
- Gribble, G.W. Naturally Occurring Organohalogen Compounds—A Comprehensive Review. In Naturally Occurring Organohalogen Compounds; Kinghorn, A.D., Falk, H., Gibbons, S., Asakawa, Y., Liu, J.-K., Dirsch, V.M., Eds.; Springer Nature: Cham, Switzerland, 2023; pp. 1–546. [Google Scholar] [CrossRef]
- Gribble, G.W. The diversity of naturally produced organohalogens. Chemosphere 2003, 52, 289–297. [Google Scholar] [CrossRef]
- U.S. Department of Health and Human Services. N.T.P. Report on Carcinogens Background Document for Trichloroethylene. Available online: https://ntp.niehs.nih.gov/sites/default/files/ntp/newhomeroc/roc10/tce.pdf (accessed on 21 December 2024).
- Zahm, S.; Bonde, J.P.; Chiu, W.A.; Hoppin, J.; Kanno, J.; Abdallah, M.; Blystone, C.R.; Calkins, M.M.; Dong, G.-H.; Dorman, D.C.; et al. Carcinogenicity of perfluorooctanoic acid and perfluorooctanesulfonic acid. Lancet Oncol. 2024, 25, 16–17. [Google Scholar] [CrossRef] [PubMed]
- Yadav, S.; Ibrar, I.; Al-Juboori, R.A.; Singh, L.; Ganbat, N.; Kazwini, T.; Karbassiyazdi, E.; Samal, A.K.; Subbiah, S.; Altaee, A. Updated review on emerging technologies for PFAS contaminated water treatment. Chem. Eng. Res. Des. 2022, 182, 667–700. [Google Scholar] [CrossRef]
- Das, S.; Ronen, A. A Review on Removal and Destruction of Per- and Polyfluoroalkyl Substances (PFAS) by Novel Membranes. Membranes 2022, 12, 662. [Google Scholar] [CrossRef]
- Vaksmaa, A.; Guerrero-Cruz, S.; Ghosh, P.; Zeghal, E.; Hernando-Morales, V.; Niemann, H. Role of fungi in bioremediation of emerging pollutants. Front. Mar. Sci. 2023, 10, 1070905. [Google Scholar] [CrossRef]
- Mayans, B.; Camacho-Arévalo, R.; García-Delgado, C.; Alcántara, C.; Nägele, N.; Antón-Herrero, R.; Escolástico, C.; Eymar, E. Mycoremediation of Soils Polluted with Trichloroethylene: First Evidence of Pleurotus Genus Effectiveness. Appl. Sci. 2021, 11, 1354. [Google Scholar] [CrossRef]
- Tseng, N.; Wang, N.; Szostek, B.; Mahendra, S. Biotransformation of 6:2 Fluorotelomer Alcohol (6:2 FTOH) by a Wood-Rotting Fungus. Environ. Sci. Technol. 2014, 48, 4012–4020. [Google Scholar] [CrossRef]
- Linde, D.; Ayuso-Fernández, I.; Laloux, M.; Aguiar-Cervera, J.E.; de Lacey, A.L.; Ruiz-Dueñas, F.J.; Martínez, A.T. Comparing Ligninolytic Capabilities of Bacterial and Fungal Dye-Decolorizing Peroxidases and Class-II Peroxidase-Catalases. Int. J. Mol. Sci. 2021, 22, 2629. [Google Scholar] [CrossRef] [PubMed]
- Min, J.; Zhang, J.-J.; Zhou, N.-Y. The gene cluster for para-nitrophenol catabolism is responsible for 2-chloro-4-nitrophenol degradation in Burkholderia sp. strain SJ98. Appl. Environ. Microbiol. 2014, 80, 6212–6222. [Google Scholar] [CrossRef] [PubMed]
- Arora, P.K.; Srivastava, A.; Garg, S.K.; Singh, V.P. Recent advances in degradation of chloronitrophenols. Bioresour. Technol. 2018, 250, 902–909. [Google Scholar] [CrossRef]
- Arora, P.K.; Sasikala, C.; Ramana, C.V. Degradation of chlorinated nitroaromatic compounds. Appl. Microbiol. Biotechnol. 2012, 93, 2265–2277. [Google Scholar] [CrossRef]
- Arora, P.K.; Srivastava, A.; Singh, V.P. Bacterial degradation of nitrophenols and their derivatives. J. Hazard. Mater. 2014, 266, 42–59. [Google Scholar] [CrossRef]
- Huang, M.-z.; Huang, K.-l.; Ren, Y.-g.; Lei, M.-x.; Huang, L.; Hou, Z.-k.; Liu, A.-p.; Ou, X.-m. Synthesis and Herbicidal Activity of 2-(7-Fluoro-3-oxo-3, 4-dihydro-2 H-benzo [b][1, 4] oxazin-6-yl) isoindoline-1, 3-diones. J. Agric. Food Chem. 2005, 53, 7908–7914. [Google Scholar] [CrossRef]
- Ilaš, J.; Anderluh, P.Š.; Dolenc, M.S.; Kikelj, D. Recent advances in the synthesis of 2H-1, 4-benzoxazin-3-(4H)-ones and 3, 4-dihydro-2H-1, 4-benzoxazines. Tetrahedron 2005, 61, 7325–7348. [Google Scholar] [CrossRef]
- Ganton, M.D.; Kerr, M.A. Aryl Amidation Routes to Dihydropyrrolo [3, 2-e] indoles and Pyrrolo [3, 2-f] tetrahydroquinolines: Total Synthesis of the (±)-CC-1065 CPI Subunit. J. Org. Chem. 2007, 72, 574–582. [Google Scholar] [CrossRef] [PubMed]
- Brunn, H.; Arnold, G.; Körner, W.; Rippen, G.; Steinhäuser, K.G.; Valentin, I. PFAS: Forever chemicals—Persistent, bioaccumulative and mobile. Reviewing the status and the need for their phase out and remediation of contaminated sites. Environ. Sci. Eur. 2023, 35, 20. [Google Scholar] [CrossRef]
- López, S.E.; Salazar, J. Trifluoroacetic acid: Uses and recent applications in organic synthesis. J. Fluor. Chem. 2013, 156, 73–100. [Google Scholar] [CrossRef]
- Pesticides & Bee Toxicity. Available online: https://www.mda.state.mn.us/protecting/bmps/pollinators/beetoxicity (accessed on 21 August 2024).
- Hladik, M.L.; Main, A.R.; Goulson, D. Environmental Risks and Challenges Associated with Neonicotinoid Insecticides. Environ. Sci. Technol. 2018, 52, 3329–3335. [Google Scholar] [CrossRef]
- Borsuah, J.F.; Messer, T.L.; Snow, D.D.; Comfort, S.D.; Mittelstet, A.R. Literature Review: Global Neonicotinoid Insecticide Occurrence in Aquatic Environments. Water 2020, 12, 3388. [Google Scholar] [CrossRef]
- Gershon, H.; Clarke, D.; Gershon, M. Antifungal activity of halophenols and halonitrophenols. Monatshefte Chem. 1995, 126, 1161. [Google Scholar] [CrossRef]
- Agency, E.P. TRI Basic Data Files: Calendar Years 1987-Present. Available online: https://www.epa.gov/toxics-release-inventory-tri-program/tri-basic-data-files-calendar-years-1987-present (accessed on 28 December 2024).
- Xu, B.; Liu, S.; Zhou, J.L.; Zheng, C.; Weifeng, J.; Chen, B.; Zhang, T.; Qiu, W. PFAS and their substitutes in groundwater: Occurrence, transformation and remediation. J. Hazard. Mater. 2021, 412, 125159. [Google Scholar] [CrossRef]
- Ministry of Economy, Trade and Industry. The 238th Chemical Substances Council—Review Subcommittee: Document 6 [in Japanese]. Available online: https://www.meti.go.jp/shingikai/kagakubusshitsu/shinsa/pdf/238_s06_00.pdf (accessed on 9 March 2025).
- Lindley, A.A. An Inventory of Fluorspar Production, Industrial Use, and Emissions of Trifluoroacetic Acid (TFA) in the Period 1930 to 1999. J. Geosci. Environ. Prot. 2023, 11, 1–16. [Google Scholar] [CrossRef]
- Jin, Y.H.; Liu, W.; Sato, I.; Nakayama, S.F.; Sasaki, K.; Saito, N.; Tsuda, S. PFOS and PFOA in environmental and tap water in China. Chemosphere 2009, 77, 605–611. [Google Scholar] [CrossRef]
- Wang, C.C.; Li, Q.F.; Lu, Y.L.; Wang, T.Y.; Khan, K.; Wang, P.; Meng, J.; Zhou, Y.G.; Yvette, B.; Suriyanarayanan, S. Simulating transport, flux, and ecological risk of perfluorooctanoate in a river affected by a major fluorochemical manufacturer in northern China. Sci. Total Environ. 2019, 657, 792–803. [Google Scholar] [CrossRef]
- Arp, H.P.H.; Gredelj, A.; Glüge, J.; Scheringer, M.; Cousins, I.T. The Global Threat from the Irreversible Accumulation of Trifluoroacetic Acid (TFA). Environ. Sci. Technol. 2024, 58, 19925–19935. [Google Scholar] [CrossRef] [PubMed]
- Neuwald, I.J.; Hübner, D.; Wiegand, H.L.; Valkov, V.; Borchers, U.; Nödler, K.; Scheurer, M.; Hale, S.E.; Arp, H.P.H.; Zahn, D. Ultra-short-chain PFASs in the sources of German drinking water: Prevalent, overlooked, difficult to remove, and unregulated. Environ. Sci. Technol. 2022, 56, 6380–6390. [Google Scholar] [CrossRef]
- Tian, Y.; Yao, Y.; Chang, S.; Zhao, Z.; Zhao, Y.; Yuan, X.; Wu, F.; Sun, H. Occurrence and phase distribution of neutral and ionizable per-and polyfluoroalkyl substances (PFASs) in the atmosphere and plant leaves around landfills: A case study in Tianjin, China. Environ. Sci. Technol. 2018, 52, 1301–1310. [Google Scholar] [CrossRef] [PubMed]
- Lee, J.W.; Choi, K.; Park, K.; Seong, C.; Yu, S.D.; Kim, P. Adverse effects of perfluoroalkyl acids on fish and other aquatic organisms: A review. Sci. Total Environ. 2020, 707, 135334. [Google Scholar] [CrossRef]
- Alexander, J.; Karaolia, P.; Fatta-Kassinos, D.; Schwartz, T. Impacts of Advanced Oxidation Processes on Microbiomes During Wastewater Treatment. In Advanced Treatment Technologies for Urban Wastewater Reuse; Fatta-Kassinos, D., Dionysiou, D.D., Kümmerer, K., Eds.; Springer International Publishing: Cham, Switzerland, 2016; pp. 129–144. [Google Scholar] [CrossRef]
- Saritha, P.; Aparna, C.; Himabindu, V.; Anjaneyulu, Y. Comparison of various advanced oxidation processes for the degradation of 4-chloro-2 nitrophenol. J. Hazard. Mater. 2007, 149, 609–614. [Google Scholar] [CrossRef]
- Liang, Z.; Zhang, M.; Zhang, S.; Qu, Y. Electron-Enriched Pd Nanoparticles for Selective Hydrogenation of Halonitrobenzenes to Haloanilines. Catalysts 2021, 11, 543. [Google Scholar] [CrossRef]
- Tang, H.Q.; Xiang, Q.Q.; Lei, M.; Yan, J.C.; Zhu, L.H.; Zou, J. Efficient degradation of perfluorooctanoic acid by UV-Fenton process. Chem. Eng. J. 2012, 184, 156–162. [Google Scholar] [CrossRef]
- Zhang, C.; Yu, Z.; Wang, X. A review of electrochemical oxidation technology for advanced treatment of medical wastewater. Front. Chem. 2022, 10, 1002038. [Google Scholar] [CrossRef]
- Najafinejad, M.S.; Chianese, S.; Fenti, A.; Iovino, P.; Musmarra, D. Application of Electrochemical Oxidation for Water and Wastewater Treatment: An Overview. Molecules 2023, 28, 4208. [Google Scholar] [CrossRef]
- Smith, S.J.; Lauria, M.; Ahrens, L.; McCleaf, P.; Hollman, P.; Bjälkefur Seroka, S.; Hamers, T.; Arp, H.P.H.; Wiberg, K. Electrochemical Oxidation for Treatment of PFAS in Contaminated Water and Fractionated Foam—A Pilot-Scale Study. ACS EST Water 2023, 3, 1201–1211. [Google Scholar] [CrossRef]
- Stroo, H.F.; Unger, M.; Ward, C.H.; Kavanaugh, M.C.; Vogel, C.; Leeson, A.; Marqusee, J.A.; Smith, B.P. Peer reviewed: Remediating chlorinated solvent source zones. Environ. Sci. Technol. 2003, 37, 224A–230A. [Google Scholar] [CrossRef]
- Friis, A.K.; Edwards, E.A.; Albrechtsen, H.J.; Udell, K.S.; Duhamel, M.; Bjerg, P.L. Dechlorination after thermal treatment of a TCE-contaminated aquifer: Laboratory experiments. Chemosphere 2007, 67, 816–825. [Google Scholar] [CrossRef] [PubMed]
- Costanza, J.; Davis, E.L.; Mulholland, J.A.; Pennell, K.D. Abiotic degradation of trichloroethylene under thermal remediation conditions. Environ. Sci. Technol. 2005, 39, 6825–6830. [Google Scholar] [CrossRef]
- Chalivendra, S. Mechanisms of PFAS degradation in thermal destruction processes. J. Res. Appl. Sci. Biotechnol. 2023, 2, 317–323. [Google Scholar] [CrossRef]
- Alinezhad, A.; Challa Sasi, P.; Zhang, P.; Yao, B.; Kubátová, A.; Golovko, S.A.; Golovko, M.Y.; Xiao, F. An Investigation of Thermal Air Degradation and Pyrolysis of Per- and Polyfluoroalkyl Substances and Aqueous Film-Forming Foams in Soil. ACS EST Eng. 2022, 2, 198–209. [Google Scholar] [CrossRef]
- Ellis, A.C.; Boyer, T.H.; Fang, Y.; Liu, C.J.; Strathmann, T.J. Life cycle assessment and life cycle cost analysis of anion exchange and granular activated carbon systems for remediation of groundwater contaminated by per-and polyfluoroalkyl substances (PFASs). Water Res. 2023, 243, 120324. [Google Scholar] [CrossRef]
- United States Environmental Protection Agency. Technical and Cost Considerations for Treatment Technologies to Remove PFAS from Drinking Water. Available online: https://www.epa.gov/system/files/documents/2024-04/2024-pfas-tech-cost_final-508.pdf (accessed on 9 March 2025).
- Belkouteb, N.; Franke, V.; McCleaf, P.; Köhler, S.; Ahrens, L. Removal of per-and polyfluoroalkyl substances (PFASs) in a full-scale drinking water treatment plant: Long-term performance of granular activated carbon (GAC) and influence of flow-rate. Water Res. 2020, 182, 115913. [Google Scholar] [CrossRef] [PubMed]
- Stoiber, T.; Evans, S.; Temkin, A.M.; Andrews, D.Q.; Naidenko, O.V. PFAS in Drinking Water: An Emergent Water Quality Threat. Available online: https://www.ewg.org/sites/default/files/u352/Stoiber_Evans_WaterSolutions_2020.pdf (accessed on 9 March 2025).
- (IARC), International Agency for Research on Cancer. Styrene (Group 2B). Available online: https://inchem.org/documents/iarc/vol82/82-07.html?utm (accessed on 7 January 2025).
- Taylor, J.S.; Jacobs, E.P. Reverse Osmosis and Nanofiltration; American Water Works Association: Denver, CO, USA, 1996; pp. 9.1–9.70. ISBN 0070015597/9780070015593. [Google Scholar]
- Elazhar, F.; Touir, J.; Elazhar, M.; Belhamidi, S.; El Harrak, N.; Zdeg, A.; Hafsi, M.; Amor, Z.; Taky, M.; Elmidaoui, A. Techno-economic comparison of reverse osmosis and nanofiltration in desalination of a Moroccan brackish groundwater. Desalination Water Treat. 2015, 55, 2471–2477. [Google Scholar] [CrossRef]
- Yahya, A.A.; Rashid, K.T.; Ghadhban, M.Y.; Mousa, N.E.; Majdi, H.S.; Salih, I.K.; Alsalhy, Q.F. Removal of 4-Nitrophenol from Aqueous Solution by Using Polyphenylsulfone-Based Blend Membranes: Characterization and Performance. Membranes 2021, 11, 171. [Google Scholar] [CrossRef]
- Valdés, H.; Saavedra, A.; Flores, M.; Vera-Puerto, I.; Aviña, H.; Belmonte, M. Reverse Osmosis Concentrate: Physicochemical Characteristics, Environmental Impact, and Technologies. Membranes 2021, 11, 753. [Google Scholar] [CrossRef]
- Shenvi, S.S.; Isloor, A.M.; Ismail, A. A review on RO membrane technology: Developments and challenges. Desalination 2015, 368, 10–26. [Google Scholar] [CrossRef]
- Lawler, W.; Bradford-Hartke, Z.; Cran, M.J.; Duke, M.; Leslie, G.; Ladewig, B.P.; Le-Clech, P. Towards new opportunities for reuse, recycling and disposal of used reverse osmosis membranes. Desalination 2012, 299, 103–112. [Google Scholar] [CrossRef]
- Ahmed, M.A.; Mahmoud, S.A.; Mohamed, A.A. Nanomaterials-modified reverse osmosis membranes: A comprehensive review. RSC Adv. 2024, 14, 18879–18906. [Google Scholar] [CrossRef]
- National Center for Biotechnology Information. PubChem Compound Summary for CID 78138, 1,3,5-Benzenetricarbonyl Trichloride. Available online: https://pubchem.ncbi.nlm.nih.gov/compound/78138 (accessed on 4 January 2025).
- National Center for Biotechnology Information. PubChem Compound Summary for CID 7935, m-Phenylenediamine. Available online: https://pubchem.ncbi.nlm.nih.gov/compound/m-Phenylenediamine (accessed on 4 January 2025).
- National Center for Biotechnology Information. PubChem Compound Summary for CID 4837, Piperazine. Available online: https://pubchem.ncbi.nlm.nih.gov/compound/Piperazine (accessed on 4 January 2025).
- Shi, Y.; Zhao, S.; Diao, Z.; Ye, Y.; Wang, Q.; Wang, Y. Modeling and Analysis of the Soil Vapor Extraction Equipment for Soil Remediation. Electronics 2023, 12, 151. [Google Scholar] [CrossRef]
- Cao, W.; Zhang, L.; Miao, Y.; Qiu, L. Research progress in the enhancement technology of soil vapor extraction of volatile petroleum hydrocarbon pollutants. Environ. Sci. Process. Impacts 2021, 23, 1650–1662. [Google Scholar] [CrossRef]
- Soares, A.A.; Pinho, M.T.; Albergaria, J.T.; Domingues, V.; da Conceição, M.; Alvim-Ferraz, M.; De Marco, P.; Delerue-Matos, C. Sequential Application of Soil Vapor Extraction and Bioremediation Processes for the Remediation of Ethylbenzene-Contaminated Soils. Water Air Soil Pollut. 2012, 223, 2601–2609. [Google Scholar] [CrossRef]
- United States Environmental Protection Agency Office of Solid Waste and Emergency Response Technology Innovation Office. Case Study: Verona Well Field Superfund Site Verona, Michigan. Available online: https://clu-in.org/download/remed/verona.pdf (accessed on 9 March 2025).
- EPA, U.S. Site Acceleration Approach Documents. Available online: https://www.clu-in.org/products/costperf/sve/saad2.htm (accessed on 5 March 2025).
- United States Environmental Protection Agency. Cost and Performance Report: Soil Vapor Extraction System at Intersil, Inc. Available online: https://www.frtr.gov/costperformance/pdf/Intersil.pdf (accessed on 5 March 2025).
- Sharma, I. Bioremediation techniques for polluted environment: Concept, advantages, limitations, and prospects. In Trace Metals in the Environment—New Approaches and Recent Advances; IntechOpen: London, UK, 2020. [Google Scholar] [CrossRef]
- Dar, A.; Naseer, A. Recent Applications of Bioremediation and Its Impact; Hazardous Waste Management; IntechOpen: London, UK, 2022; p. 49. ISBN 1803553782/9781803553788. [Google Scholar]
- Cervantes, P.A.M.; Ziarati, P.; de Frutos Madrazo, P. Bioremediation. In Encyclopedia of Sustainable Management; Idowu, S.O., Schmidpeter, R., Capaldi, N., Zu, L., Del Baldo, M., Abreu, R., Eds.; Springer International Publishing: Cham, Switzerland, 2023; pp. 298–305. [Google Scholar] [CrossRef]
- Lewis, T.; Clayton, J.; Skelton, N. Remediation of TCE-Impacted Groundwater via Enhanced Biodegradation in the Adelaide Plains. Available online: https://aclca.com.au/wp-content/uploads/2023/06/ACLCA-SA-Remediation-of-TCE-Impacted-Groundwater-via-Enhanced-Biodegrradation-in-the-Adelaide-Plains.pdf (accessed on 5 March 2025).
- Arora, P.K.; Jain, R.K. Metabolism of 2-chloro-4-nitrophenol in a Gram negative bacterium, Burkholderia sp. RKJ 800. PLoS ONE 2012, 7, e38676. [Google Scholar] [CrossRef]
- Čapek, A.; Šimek, A.; Leiner, J.; Weichet, J. Antimicrobial agents: VII. Microbial degradation of the antifungal agent 2-chloro-4-nitrophenol (Nitrofungin). Folia Microbiol. 1970, 15, 350–353. [Google Scholar] [CrossRef]
- Shukla, A.K.; Upadhyay, S.N.; Dubey, S.K. Current trends in trichloroethylene biodegradation: A review. Crit. Rev. Biotechnol. 2014, 34, 101–114. [Google Scholar] [CrossRef]
- Marco-Urrea, E.; Gabarrell, X.; Caminal, G.; Vicent, T.; Adinarayana Reddy, C. Aerobic degradation by white-rot fungi of trichloroethylene (TCE) and mixtures of TCE and perchloroethylene (PCE). J. Chem. Technol. Biotechnol. Int. Res. Process Environ. Clean Technol. 2008, 83, 1190–1196. [Google Scholar] [CrossRef]
- Huang, S.; Jaffé, P.R. Defluorination of perfluorooctanoic acid (PFOA) and perfluorooctane sulfonate (PFOS) by Acidimicrobium sp. strain A6. Environ. Sci. Technol. 2019, 53, 11410–11419. [Google Scholar] [CrossRef]
- Tseng, N.S.-l. Feasibility of Biodegradation of Polyfluoroalkyl and Perfluoroalkyl Substances. Master’s Thesis, UCLA, Los Angeles, CA, USA, 2012. [Google Scholar]
- Ayilara, M.S.; Babalola, O.O. Bioremediation of environmental wastes: The role of microorganisms. Front. Agron. 2023, 5, 1183691. [Google Scholar] [CrossRef]
- Service, N.N.O. What Is Hypoxia? Available online: https://oceanservice.noaa.gov/hazards/hypoxia/?utm (accessed on 5 February 2025).
- Azubuike, C.C.; Chikere, C.B.; Okpokwasili, G.C. Bioremediation techniques-classification based on site of application: Principles, advantages, limitations and prospects. World J. Microbiol. Biotechnol. 2016, 32, 180. [Google Scholar] [CrossRef] [PubMed]
- Machado, F.; Teixeira, A.C.S.C.; Ruotolo, L.A.M. Critical review of Fenton and photo-Fenton wastewater treatment processes over the last two decades. Int. J. Environ. Sci. Technol. 2023, 20, 13995–14032. [Google Scholar] [CrossRef]
- Fujihira, M.; Satoh, Y.; Osa, T. Heterogeneous photocatalytic oxidation of aromatic compounds on semiconductor materials: The photo-fenton type reaction. Chem. Lett. 2006, 10, 1053–1056. [Google Scholar] [CrossRef]
- Oturan, M.A.; Aaron, J.-J. Advanced Oxidation Processes in Water/Wastewater Treatment: Principles and Applications. A Review. Crit. Rev. Environ. Sci. Technol. 2014, 44, 2577–2641. [Google Scholar] [CrossRef]
- Pliego, G.; Zazo, J.A.; Garcia-Muñoz, P.; Munoz, M.; Casas, J.A.; Rodriguez, J.J. Trends in the Intensification of the Fenton Process for Wastewater Treatment: An Overview. Crit. Rev. Environ. Sci. Technol. 2015, 45, 2611–2692. [Google Scholar] [CrossRef]
- Miklos, D.B.; Remy, C.; Jekel, M.; Linden, K.G.; Drewes, J.E.; Hübner, U. Evaluation of advanced oxidation processes for water and wastewater treatment—A critical review. Water Res. 2018, 139, 118–131. [Google Scholar] [CrossRef]
- Malato, S.; Fernández-Ibáñez, P.; Maldonado, M.I.; Blanco, J.; Gernjak, W. Decontamination and disinfection of water by solar photocatalysis: Recent overview and trends. Catal. Today 2009, 147, 1–59. [Google Scholar] [CrossRef]
- Ameta, R.; Chohadia, A.K.; Jain, A.; Punjabi, P.B. Chapter 3—Fenton and Photo-Fenton Processes. In Advanced Oxidation Processes for Waste Water Treatment; Ameta, S.C., Ameta, R., Eds.; Academic Press: Cambridge, MA, USA, 2018; pp. 49–87. [Google Scholar] [CrossRef]
- Amaral-Silva, N.; Martins, R.C.; Nunes, P.; Castro-Silva, S.; Quinta-Ferreira, R.M. From a lab test to industrial application: Scale-up of Fenton process for real olive mill wastewater treatment. J. Chem. Technol. Biotechnol. 2017, 92, 1336–1344. [Google Scholar] [CrossRef]
- Gar Alalm, M.; Tawfik, A.; Ookawara, S. Investigation of optimum conditions and costs estimation for degradation of phenol by solar photo-Fenton process. Appl. Water Sci. 2017, 7, 375–382. [Google Scholar] [CrossRef]
- Smara, M.; Khalladi, R.; Moulai-Mostefa, N.; Madi, K.; Mansour, D.; Lekmine, S.; Benslama, O.; Tahraoui, H.; Zhang, J.; Amrane, A. Efficiency of Hydrogen Peroxide and Fenton Reagent for Polycyclic Aromatic Hydrocarbon Degradation in Contaminated Soil: Insights from Experimental and Predictive Modeling. Processes 2024, 12, 621. [Google Scholar] [CrossRef]
- Baciocchi, R. Principles, Developments and Design Criteria of In Situ Chemical Oxidation. Water Air Soil Pollut. 2013, 224, 1717. [Google Scholar] [CrossRef]
- Emilio, C.A.; Jardim, W.F.; Litter, M.I.; Mansilla, H.D. EDTA destruction using the solar ferrioxalate advanced oxidation technology (AOT): Comparison with solar photo-Fenton treatment. J. Photochem. Photobiol. A Chem. 2002, 151, 121–127. [Google Scholar] [CrossRef]
- Gázquez, M.J.; Bolívar, J.P.; García-Tenorio García-Balmaseda, R.; Vaca, F. A review of the production cycle of titanium dioxide pigment. Mater. Sci. Appl. 2014, 5, 441–458. [Google Scholar] [CrossRef]
- Kołodziejczak-Radzimska, A.; Jesionowski, T. Zinc Oxide-From Synthesis to Application: A Review. Materials 2014, 7, 2833–2881. [Google Scholar] [CrossRef]
- Wang, S.; Li, X.; Lai, C.; Zhang, Y.; Lin, X.; Ding, S. Recent advances in noble metal-based catalysts for CO oxidation. RSC Adv. 2024, 14, 30566–30581. [Google Scholar] [CrossRef]
- Chandra, T.; Zebrowski, J.P. Hazards associated with laboratory scale hydrogenations. J. Chem. Health Saf. 2016, 23, 16–25. [Google Scholar] [CrossRef]
- Namakka, M.; Rahman, M.R.; Said, K.A.B.M.; Muhammad, A. Insights into micro-and nano-zero valent iron materials: Synthesis methods and multifaceted applications. RSC Adv. 2024, 14, 30411–30439. [Google Scholar] [CrossRef]
- Mines, P.D.; Kaarsholm, K.M.; Droumpali, A.; Andersen, H.R.; Hwang, Y. Estimating dehalogenation reactivity of nanoscale zero-valent iron by simple colorimetric assay by way of 4-chlorophenol reduction. Environ. Eng. Res. 2020, 25, 197–204. [Google Scholar] [CrossRef]
- Jang, M.H.; Lim, M.; Hwang, Y.S. Potential environmental implications of nanoscale zero-valent iron particles for environmental remediation. Environ. Health Toxicol. 2014, 29, e2014022. [Google Scholar] [CrossRef] [PubMed]
- Huo, X.; Zhou, P.; Liu, Y.; Cheng, F.; Liu, Y.; Cheng, X.; Zhang, Y.; Wang, Q. Removal of contaminants by activating peroxymonosulfate (PMS) using zero valent iron (ZVI)-based bimetallic particles (ZVI/Cu, ZVI/Co, ZVI/Ni, and ZVI/Ag). RSC Adv. 2020, 10, 28232–28242. [Google Scholar] [CrossRef] [PubMed]
- Aulenta, F.; Catervi, A.; Majone, M.; Panero, S.; Reale, P.; Rossetti, S. Electron transfer from a solid-state electrode assisted by methyl viologen sustains efficient microbial reductive dechlorination of TCE. Environ. Sci. Technol. 2007, 41, 2554–2559. [Google Scholar] [CrossRef] [PubMed]
- Duinslaeger, N.; Radjenovic, J. Electrochemical degradation of per- and polyfluoroalkyl substances (PFAS) using low-cost graphene sponge electrodes. Water Res. 2022, 213, 118148. [Google Scholar] [CrossRef]
- Simon, G.P. Ion Exchange Training Manual; Springer: Berlin/Heidelberg, Germany, 1991; ISBN 0442006527. [Google Scholar]
- Dixit, F.; Dutta, R.; Barbeau, B.; Berube, P.; Mohseni, M. PFAS removal by ion exchange resins: A review. Chemosphere 2021, 272, 129777. [Google Scholar] [CrossRef]
- Maul, G.A.; Kim, Y.; Amini, A.; Zhang, Q.; Boyer, T.H. Efficiency and life cycle environmental impacts of ion-exchange regeneration using sodium, potassium, chloride, and bicarbonate salts. Chem. Eng. J. 2014, 254, 198–209. [Google Scholar] [CrossRef]
- Álvarez-Merino, M.; Fontecha-Cámara, M.; López-Ramón, M.; Moreno-Castilla, C. Temperature dependence of the point of zero charge of oxidized and non-oxidized activated carbons. Carbon 2008, 46, 778–787. [Google Scholar] [CrossRef]
- Xiang, W.; Zhang, X.; Chen, J.; Zou, W.; He, F.; Hu, X.; Tsang, D.C.; Ok, Y.S.; Gao, B. Biochar technology in wastewater treatment: A critical review. Chemosphere 2020, 252, 126539. [Google Scholar] [CrossRef]
- Niu, B.; Yang, S.; Li, Y.; Zang, K.; Sun, C.; Yu, M.; Zhou, L.; Zheng, Y. Regenerable magnetic carbonized Calotropis gigantea fiber for hydrophobic-driven fast removal of perfluoroalkyl pollutants. Cellulose 2020, 27, 5893–5905. [Google Scholar] [CrossRef]
- Hassan, M.; Liu, Y.; Naidu, R.; Du, J.; Qi, F. Adsorption of Perfluorooctane sulfonate (PFOS) onto metal oxides modified biochar. Environ. Technol. Innov. 2020, 19, 100816. [Google Scholar] [CrossRef]
- Dalahmeh, S.S.; Alziq, N.; Ahrens, L. Potential of biochar filters for onsite wastewater treatment: Effects of active and inactive biofilms on adsorption of per-and polyfluoroalkyl substances in laboratory column experiments. Environ. Pollut. 2019, 247, 155–164. [Google Scholar] [CrossRef] [PubMed]
- Jiang, J.; Zhang, X.; Zhu, X.; Li, Y. Removal of Intermediate Aromatic Halogenated DBPs by Activated Carbon Adsorption: A New Approach to Controlling Halogenated DBPs in Chlorinated Drinking Water. Environ. Sci. Technol. 2017, 51, 3435–3444. [Google Scholar] [CrossRef] [PubMed]
- Lyon, F. IARC Monographs on the Evaluation of Carcinogenic Risks to Humans. World Health Organization, International Agency for Research on Cancer. Available online: https://monographs.iarc.who.int/wp-content/uploads/2018/08/14-002.pdf (accessed on 21 December 2024).
- Yu, F.; Luo, G. Modeling of gaseous methylamines in the global atmosphere: Impacts of oxidation and aerosol uptake. Atmos. Chem. Phys. 2014, 14, 12455–12464. [Google Scholar] [CrossRef]
- Haneke, K.E. Toxicological Summary for Dimethylethanolamine (DMAE) and Selected Salts and Esters. Available online: https://ntp.niehs.nih.gov/ntp/htdocs/chem_background/exsumpdf/dimethylethanolamine_508.pdf (accessed on 21 December 2024).
- Luan, J.; Plaisier, A. Study on treatment of wastewater containing nitrophenol compounds by liquid membrane process. J. Membr. Sci. 2004, 229, 235–239. [Google Scholar] [CrossRef]
- Appleman, T.D.; Dickenson, E.R.; Bellona, C.; Higgins, C.P. Nanofiltration and granular activated carbon treatment of perfluoroalkyl acids. J. Hazard. Mater. 2013, 260, 740–746. [Google Scholar] [CrossRef]
- Bellona, C.; Drewes, J.E.; Xu, P.; Amy, G. Factors affecting the rejection of organic solutes during NF/RO treatment—A literature review. Water Res. 2004, 38, 2795–2809. [Google Scholar] [CrossRef]
- Sawyer, L.; James, M.N.G. Carboxyl–carboxylate interactions in proteins. Nature 1982, 295, 79–80. [Google Scholar] [CrossRef] [PubMed]
- Tang, C.Y.; Fu, Q.S.; Criddle, C.S.; Leckie, J.O. Effect of flux (transmembrane pressure) and membrane properties on fouling and rejection of reverse osmosis and nanofiltration membranes treating perfluorooctane sulfonate containing wastewater. Environ. Sci. Technol. 2007, 41, 2008–2014. [Google Scholar] [CrossRef]
- Liu, C.J.; Strathmann, T.J.; Bellona, C. Rejection of per-and polyfluoroalkyl substances (PFASs) in aqueous film-forming foam by high-pressure membranes. Water Res. 2021, 188, 116546. [Google Scholar] [CrossRef]
- Wang, J.; Wang, L.; Xu, C.; Zhi, R.; Miao, R.; Liang, T.; Yue, X.; Lv, Y.; Liu, T. Perfluorooctane sulfonate and perfluorobutane sulfonate removal from water by nanofiltration membrane: The roles of solute concentration, ionic strength, and macromolecular organic foulants. Chem. Eng. J. 2018, 332, 787–797. [Google Scholar] [CrossRef]
- Xiong, J.; Hou, Y.; Wang, J.; Liu, Z.; Qu, Y.; Li, Z.; Wang, X. The rejection of perfluoroalkyl substances by nanofiltration and reverse osmosis: Influencing factors and combination processes. Environ. Sci. Water Res. Technol. 2021, 7, 1928–1943. [Google Scholar] [CrossRef]
- Teixeira, M.R.; Rosa, M.J.; Nyström, M. The role of membrane charge on nanofiltration performance. J. Membr. Sci. 2005, 265, 160–166. [Google Scholar] [CrossRef]
- Soriano, A.l.; Gorri, D.; Urtiaga, A. Selection of high flux membrane for the effective removal of short-chain perfluorocarboxylic acids. Ind. Eng. Chem. Res. 2019, 58, 3329–3338. [Google Scholar] [CrossRef]
- Fouad, K.; Elhenawy, Y.; El-Hadek, M.A.; Bassyouni, M. A Critical Review of Sustainable Biodegradable Polymeric Reverse Osmosis Membranes. In Engineering Solutions Toward Sustainable Development; Springer: Cham, Switzerland, 2024; pp. 175–194. [Google Scholar]
- Schunke, A.J.; Hernandez Herrera, G.A.; Padhye, L.; Berry, T.-A. Energy recovery in SWRO desalination: Current status and new possibilities. Front. Sustain. Cities 2020, 2, 9. [Google Scholar] [CrossRef]
- Stewart, L.; Lutes, C.; Truesdale, R.; Schumacher, B.; Zimmerman, J.H.; Connell, R. Field Study of Soil Vapor Extraction for Reducing Off-Site Vapor Intrusion. Ground Water Monit. Remediat. 2020, 40, 74–85. [Google Scholar] [CrossRef] [PubMed]
- Guo, H.; Qian, Y.; Yuan, G.-X.; Wang, C.-X. Research progress on the soil vapor extraction. J. Groundw. Sci. Eng. 2020, 8, 57–66. [Google Scholar] [CrossRef]
- Truex, M.J.; Gillie, J.M.; Powers, J.G.; Lynch, K.P. Assessment of In Situ Thermal Treatment for Chlorinated Organic Source Zones. Remediat.-J. Environ. Cleanup Costs Technol. Tech. 2009, 19, 7–17. [Google Scholar] [CrossRef]
- Wang, B.; Wu, A.; Li, X.; Ji, L.; Sun, C.; Shen, Z.; Chen, T.; Chi, Z. Progress in fundamental research on thermal desorption remediation of organic compound-contaminated soil. Waste Dispos. Sustain. Energy 2021, 3, 83–95. [Google Scholar] [CrossRef]
- Meegoda, J.N.; Bezerra de Souza, B.; Casarini, M.M.; Kewalramani, J.A. A Review of PFAS Destruction Technologies. Int. J. Environ. Res. Public Health 2022, 19, 16397. [Google Scholar] [CrossRef]
- Syed, Z.; Sogani, M.; Rajvanshi, J.; Sonu, K. Microbial Biofilms for Environmental Bioremediation of Heavy Metals: A Review. Appl. Biochem. Biotechnol. 2023, 195, 5693–5711. [Google Scholar] [CrossRef]
- Liu, C.-J.; Deng, S.-G.; Hu, C.-Y.; Gao, P.; Khan, E.; Yu, C.-P.; Ma, L.Q. Applications of bioremediation and phytoremediation in contaminated soils and waters: CREST publications during 2018–2022. Crit. Rev. Environ. Sci. Technol. 2023, 53, 723–732. [Google Scholar] [CrossRef]
- Wu, B.; Hussain, M.; Zhang, W.; Stadler, M.; Liu, X.; Xiang, M. Current insights into fungal species diversity and perspective on naming the environmental DNA sequences of fungi. Mycology 2019, 10, 127–140. [Google Scholar] [CrossRef] [PubMed]
- Murphy, C.D. Fluorophenol oxidation by a fungal chloroperoxidase. Biotechnol. Lett. 2007, 29, 45–49. [Google Scholar] [CrossRef]
- Liu, P.-W.G.; Wu, Y.-J.; Whang, L.-M.; Lin, T.-F.; Hung, W.-N.; Cho, K.-C. Molecular tools with statistical analysis on trichloroethylene remediation effectiveness. Int. Biodeterior. Biodegrad. 2020, 154, 105050. [Google Scholar] [CrossRef]
- Torres-Farradá, G.; Thijs, S.; Rineau, F.; Guerra, G.; Vangronsveld, J. White Rot Fungi as Tools for the Bioremediation of Xenobiotics: A Review. J. Fungi 2024, 10, 167. [Google Scholar] [CrossRef]
- Marco-Urrea, E.; Parella, T.; Gabarrell, X.; Caminal, G.; Vicent, T.; Adinarayana Reddy, C. Mechanistics of trichloroethylene mineralization by the white-rot fungus Trametes versicolor. Chemosphere 2008, 70, 404–410. [Google Scholar] [CrossRef]
- Shahsavari, E.; Schwarz, A.; Aburto-Medina, A.; Ball, A.S. Biological Degradation of Polycyclic Aromatic Compounds (PAHs) in Soil: A Current Perspective. Curr. Pollut. Rep. 2019, 5, 84–92. [Google Scholar] [CrossRef]
- Yadav, J.S.; Bethea, C.; Reddy, C.A. Mineralization of Trichloroethylene (TCE) by the White Rot Fungus Phanerochaete chrysosporium. Bull. Environ. Contam. Toxicol. 2000, 65, 28–34. [Google Scholar] [CrossRef]
- Walter, M.; Boyd-Wilson, K.; Boul, L.; Ford, C.; McFadden, D.; Chong, B.; Pinfold, J. Field-scale bioremediation of pentachlorophenol by Trametes versicolor. Int. Biodeterior. Biodegrad. 2005, 56, 51–57. [Google Scholar] [CrossRef]
- Shakoori, A.; Qureshi, A.; Saquib, Z. Endosulfan Degrading Yeast Isolated from Food Industry Effluents and Their Role in Environmental Cleanup; CAB International: Wallingford, UK, 2001; Volume 21, pp. 69–94. [Google Scholar]
- Bisht, J.; Harsh, N.S.K.; Palni, L.M.S.; Agnihotri, V.; Kumar, A. Bioaugmentation of endosulfan contaminated soil in artificial bed treatment using selected fungal species. Bioremediat. J. 2019, 23, 196–214. [Google Scholar] [CrossRef]
- Li, X.; Wang, J.; Zhang, H.; Xiao, L.; Lei, Z.; Kaul, S.C.; Wadhwa, R.; Zhang, Z. Low Dose of Fluoride in the Culture Medium of Cordyceps militaris Promotes Its Growth and Enhances Bioactives with Antioxidant and Anticancer Properties. J. Fungi 2021, 7, 342. [Google Scholar] [CrossRef]
- Tigini, V.; Prigione, V.; Di Toro, S.; Fava, F.; Varese, G.C. Isolation and characterisation of polychlorinated biphenyl (PCB) degrading fungi from a historically contaminated soil. Microb. Cell Fact. 2009, 8, 5. [Google Scholar] [CrossRef] [PubMed]
- Rigas, F.; Dritsa, V.; Chatzidakis, J.; Marchant, R. Detoxification characteristics of selected Polyporus species for bioremediation applications. In Proceedings of the 8th International Conference on Environmental Science and Technology, Lemnos Island, Greece, 8–10 September 2003; pp. 739–746. [Google Scholar]
- Blanco-Orta, M.F.; Garcia-de la Cruz, R.F.; Paz-Maldonado, L.M.T.; Pedraza-Gonzalez, D.A.; Morales-Avila, M.M.; Balderas-Hernandez, V.E.; Gonzalez-Ortega, O.; Perez-Martinez, A.S. Assessing three industrially produced fungi for the bioremediation of diclofenac. J. Environ. Sci. Health Part A Toxic/Hazard. Subst. Environ. Eng. 2023, 58, 661–670. [Google Scholar] [CrossRef]
- Cameron, M.D.; Timofeevski, S.; Aust, S.D. Enzymology of Phanerochaete chrysosporium with respect to the degradation of recalcitrant compounds and xenobiotics. Appl. Microbiol. Biotechnol. 2000, 54, 751–758. [Google Scholar] [CrossRef] [PubMed]
- Rougeron, A.; Giraud, S.; Alastruey-Izquierdo, A.; Cano-Lira, J.; Rainer, J.; Mouhajir, A.; Le Gal, S.; Nevez, G.; Meyer, W.; Bouchara, J.P. Ecology of ScedosporiumSpecies: Present Knowledge and Future Research. Mycopathologia 2018, 183, 185–200. [Google Scholar] [CrossRef] [PubMed]
- Kumaravel, V.; Bankole, P.O.; Jooju, B.; Sadasivam, S.K. Degradation and detoxification of reactive yellow dyes by Scedosporium apiospermum: A mycoremedial approach. Arch. Microbiol. 2022, 204, 324. [Google Scholar] [CrossRef]
- Esterhuizen-Londt, M.; Hendel, A.-L.; Pflugmacher, S. Mycoremediation of diclofenac using Mucor hiemalis. Toxicol. Environ. Chem. 2017, 99, 795–808. [Google Scholar] [CrossRef]
- Maya, K.; Upadhyay, S.N.; Singh, R.S.; Dubey, S.K. Degradation kinetics of chlorpyrifos and 3,5,6-trichloro-2-pyridinol (TCP) by fungal communities. Bioresour. Technol. 2012, 126, 216–223. [Google Scholar] [CrossRef]
- Henn, C.; Arakaki, R.M.; Monteiro, D.A.; Boscolo, M.; da Silva, R.; Gomes, E. Degradation of the Organochlorinated Herbicide Diuron by Rainforest Basidiomycetes. Biomed. Res. Int. 2020, 2020, 5324391. [Google Scholar] [CrossRef]
- Vithalani, P.; Bhatt, N.S. Mycoremediation of Rhodamine B through Aspergillus fumigatus P5 and evaluation of degradative pathway. Int. J. Environ. Sci. Technol. 2023, 20, 13209–13218. [Google Scholar] [CrossRef]
- Vroumsia, T.; Steiman, R.; Seigle-Murandi, F.; Benoit-Guyod, J.L.; Groupe pour l’Étude du Devenir des Xénobiotiques dans l’Environnement (GEDEXE). Fungal bioconversion of 2,4-dichlorophenoxyacetic acid (2,4-D) and 2,4-dichlorophenol (2,4-DCP). Chemosphere 2005, 60, 1471–1480. [Google Scholar] [CrossRef] [PubMed]
- Tan, Z.; Losantos, D.; Li, Y.; Sarra, M. Biotransformation of chloramphenicol by white-rot-fungi Trametes versicolor under cadmium stress. Bioresour. Technol. 2023, 369, 128508. [Google Scholar] [CrossRef] [PubMed]
- Nykiel-Szymanska, J.; Bernat, P.; Slaba, M. Biotransformation and detoxification of chloroacetanilide herbicides by Trichoderma spp. with plant growth-promoting activities. Pestic. Biochem. Physiol. 2020, 163, 216–226. [Google Scholar] [CrossRef] [PubMed]
- Jałowiecki, Ł.; Płaza, G.; Ejhed, H.; Nawrotek, M. Aerobic biodegradation of norfloxacin and ofloxacin by a microbial consortium. Arch. Environ. Prot. 2023, 45, 40–47. [Google Scholar] [CrossRef]
- Fontes, B.D.; Kleingesinds, E.K.; Giovanella, P.; Pessoa, A.; Sette, L.D. Laccases produced by Peniophora from marine and terrestrial origin: A comparative study. Biocatal. Agric. Biotechnol. 2021, 35, 8. [Google Scholar] [CrossRef]
- Vanschijndel, J.; Vollenbroek, E.G.M.; Wever, R. The chloroperoxidase from the fungus curvularia-inaequalis—A novel vanadium enzyme. Biochim. Biophys. Acta 1993, 1161, 249–256. [Google Scholar] [CrossRef]




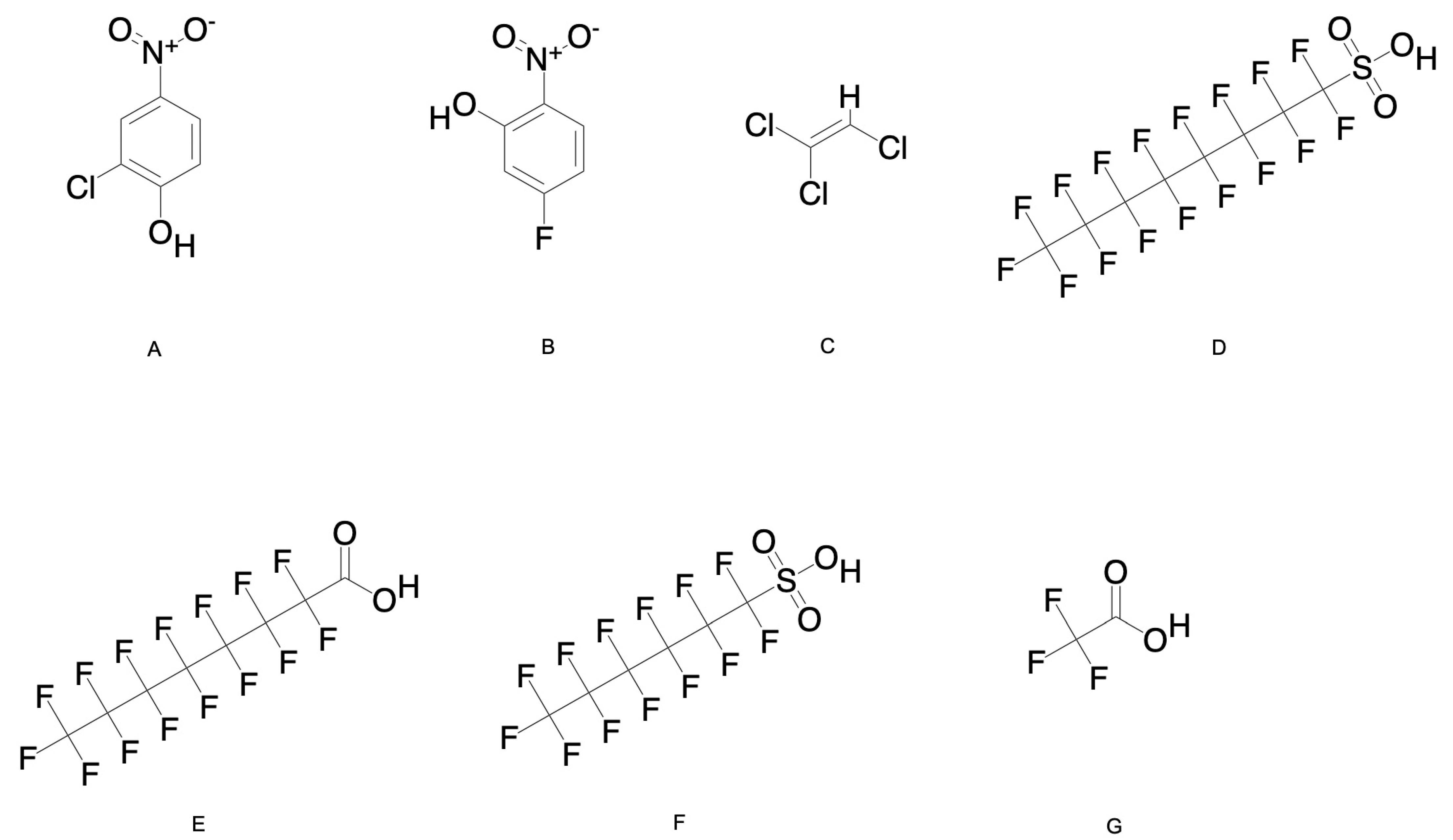
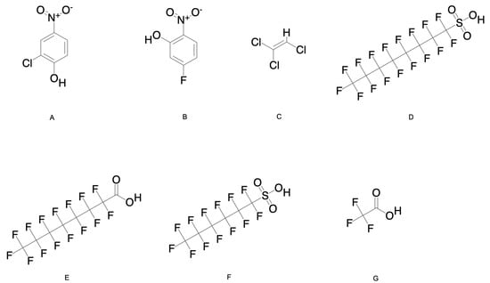
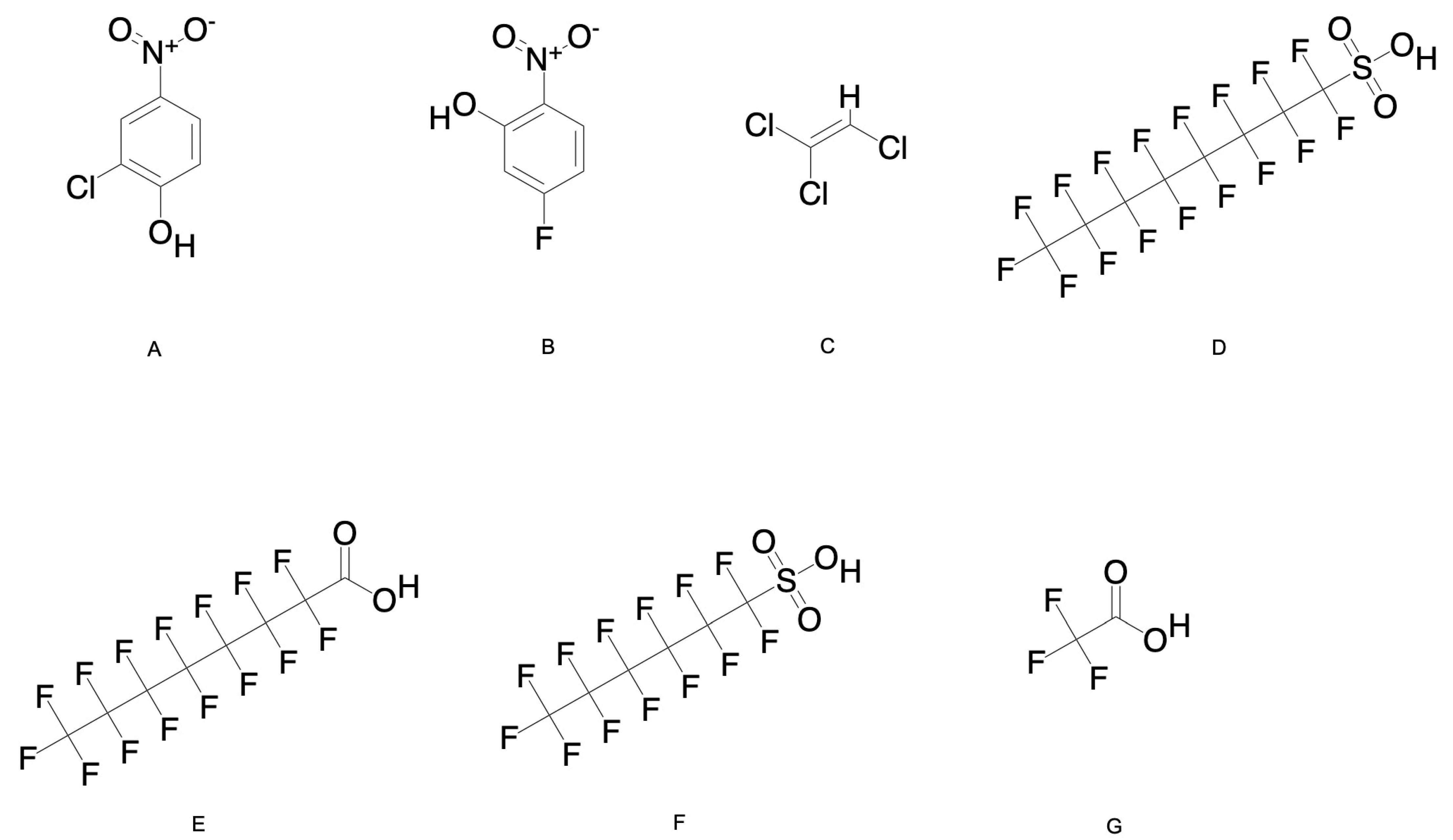
| Chemical Group | Chemical | Structure | Applications | IARC Classification |
|---|---|---|---|---|
| HNCs | 2-chloro-4-nitrophenol(2C4NP) | Figure 1A | May cause genotoxicity, splenotoxcity, hepatoxicity, immunotoxicity, nephrotoxicity, hematoxicity, methemoglobinaemia, and carcinogenicity [23,24]. | |
| 5-fluoro-2-nitrophenol(5F2NP) | Figure 1B |
| No classification as carcinogenic. | |
| Chlorinated Solvents | Trichloroethylene (TCE) | Figure 1C |
| Reasonably anticipated to be a human carcinogen [13]. |
| PFAS | Perfluorooctanesulfonic acid (PFOS) | Figure 1D |
| Possibly carcinogenic to humans [14]. |
| Perfluorooctanoic acid (PFOA) | Figure 1E |
| Carcinogenic to humans [14]. | |
| Perfluorohexanesulfonic acid (PFHxS) | Figure 1F |
| No classification. | |
| Trifluoroacetic acid (TFA) | Figure 1G |
| No classification. |
| Treatment Type | Treatment Method | HNCs | TCE | PFAS | Advantages | Disadvantages | Costs | Removal or Degradation Efficiency | Environmental Concerns |
|---|---|---|---|---|---|---|---|---|---|
| Chemical | Advanced oxidation processes
| ✔ | ✔ | ✔ | |||||
| Electrochemical oxidation | ✔ |
|
| ||||||
| Thermal method | Thermal | ✔ | ✔ |
| |||||
| Adsorption methods |
| ✔ | |||||||
| Physical | Membrane technologies. Reverse osmosis (RO). Nanofiltration (NF). | ✔ | ✔ | HNCs: 99% 4-nitrophenol removal, degradation, and rejection [63]. PFAS: 69–99% rejection [16]. | |||||
| Soil vapor extraction (SVE). | ✔ | USD 3.53–81/m3 [74,75]. | TCE 90% removal [76]. | ||||||
| Biodegradation |
| ✔ | ✔ | ✔ | Biodegradation at Tonsley Innovation District (Adelaide, South Australia) reduced costs by 35% compared to alternative treatment technologies, though exact figures were not disclosed [80]. |
|
| Remediation Strategy | Mechanism | Limitations | Scalability |
|---|---|---|---|
| AOPs | Hydroxyl radical-based oxidation. | -High energy and reagent costs [90]. -Toxic intermediates [90]. | Commercially available; cost-limiting [90]. |
| Thermal | Heat-induced volatilization or destruction. | -Energy-intensive [15]. -Emission control needed [15]. | Scalable, but costly [15]. |
| Adsorption | Surface binding of pollutants. | -Regeneration challenges [56]. -Waste disposal issues [56]. | Widely deployed; effective for PFAS [56]. |
| Membrane | Size and charge exclusion. | -Brine disposal [16]. -High pressure and energy use [63]. | High-tech, scalable, but costly [63]. |
| Bacterial | Anaerobic/aerobic enzymatic degradation; reductive dichlorination. | -Accumulation of toxic intermediates (e.g., vinyl chloride) [145]. -Less tolerant to pH/toxicity shifts [145]. | Mature in some areas (e.g., TCE), limited for PFAS [145]. |
| Fungal | Enzymatic degradation via ligninolytic enzymes (laccase, manganese peroxidase, lignin peroxidase, and chloroperoxidase). | -Slower kinetics [85,87]. -Variable performance [86,87]. -Limited field trials [87]. | Promising but underutilized; field protocols still developing [87]. |
| Pollutant Type or Unique Characteristics | Class | Fungus | Details |
|---|---|---|---|
| Aliphatic Hydrocarbons and Pesticides | Saccharomycetes | Candida albicans | Degrades aliphatic hydrocarbon and endosulfan [151]. |
| Aliphatic Hydrocarbons and Pesticides | Saccharomycetes | Candida guilliermondii | Degrades aliphatic hydrocarbon and endosulfan [152]. |
| Fluoride Tolerance/Growth Stimulation | Sordariomycetes | Cordyceps militaris | Potassium fluoride increases biomass by 43% [153]. |
| Organophosphate and Polychlorinated biphenyls | Eurotiomycetes | Penicillium frequentans | Degrades OP pesticides, PCBs, and endosulfan [152]. |
| Eurotiomycetes | Penicillium chrysogenum | Degrades OP pesticides and PCBs [154]. | |
| Chlorinated Phenols and Dyes | Agaricomycetes | Polyporus brumalis | Degrades PCP and Poly R-478 [155]. |
| Pharmaceuticals and Chlorinated Organics | Eurotiomycetes | Penicillium roquefortii | Degrades PCP and diclofenac [156]. |
| Chlorinated Aliphatics | Agaricomycetes | Phanerochaete chrysosporium | Degrades chlorinated xenobiotics [157]. |
| Aliphatics and Polychlorinated Biphenyls | Sordariomycetes | Scedosporium aurantiacum | Degrades PCBs and aliphatic hydrocarbons [158]. |
| Synthetic Dyes and Polychlorinated Biphenyls | Sordariomycetes | Scedosporium apiospermum | Degrades reactive yellow dye and PCBs [159]. |
| Organochlorine Pesticides | Mucoromycetes | Mucor racemosus | Degrades aldrin and dieldrin [160]. |
| Organophosphates | Eurotiomycetes | Eurotium sp. | Degrades chlorpyrifos [161]. |
| Herbicides | Agaricomycetes | Hexagonia sp. | Degrades diuron [162]. |
| Phenyl Pyrazole Pesticides | Eurotiomycetes | Aspergillus glaucus | Degrades fipronil and metabolite [163]. |
| Phenoxy Herbicides | Mucoromycetes | Mucor genevensis | Degradation of 2,4-D and 2,4-DCP [164]. |
| Pharmaceutical | Eurotiomycetes | Aspergillus niger | Degradation of diclofenac [156]. |
| Pharmaceutical Compounds and Chlorinated Aliphatics | Agaricomycetes | Trametes versicolor | Degrades chloramphenicol, endosulfan sulfate, and TCE [84,165]. |
| Pharmaceuticals | Sordariomycetes | Trichoderma sp. | Degrades ofloxacin, fluoroquinolone, and climbazole [166]. |
| Pharmaceuticals | Tremellomycetes | Trichosporon asahii | Degrades norfloxacin, ofloxacin, and isoeugenol [167]. |
| Pharmaceuticals | Mucoromycetes | Mucor hiemalis | Degradation of diclofenac [160]. |
| Reactive Dyes | Agaricomycetes | Peniophora sp. | Degrades reactive black dye [168]. |
| Synthetic Dyes | Eurotiomycetes | Aspergillus fumigatus | Degrades rhodamine B [163]. |
| Monofluorophenol | Dothideomycetes | Caldariomyces fumago | Produces chloroperoxidase; degrades monofluorophenol [144]. |
| Chloroperoxidase Activity | Dothideomycetes | Curvularia inaequalis | Vanadate-dependent chloroperoxidase [169]. |
Disclaimer/Publisher’s Note: The statements, opinions and data contained in all publications are solely those of the individual author(s) and contributor(s) and not of MDPI and/or the editor(s). MDPI and/or the editor(s) disclaim responsibility for any injury to people or property resulting from any ideas, methods, instructions or products referred to in the content. |
© 2025 by the authors. Licensee MDPI, Basel, Switzerland. This article is an open access article distributed under the terms and conditions of the Creative Commons Attribution (CC BY) license (https://creativecommons.org/licenses/by/4.0/).
Share and Cite
Aguilar, G., Jr.; Khudur, L.; Tottszer, A.; Besedin, J.A.; Biek, S.K.; Ball, A.S. Reviewing Treatment Options for Organohalogen Contamination: From Established Methods to Fungal Prospects. Environments 2025, 12, 194. https://doi.org/10.3390/environments12060194
Aguilar G Jr., Khudur L, Tottszer A, Besedin JA, Biek SK, Ball AS. Reviewing Treatment Options for Organohalogen Contamination: From Established Methods to Fungal Prospects. Environments. 2025; 12(6):194. https://doi.org/10.3390/environments12060194
Chicago/Turabian StyleAguilar, Gerardo, Jr., Leadin Khudur, Attila Tottszer, Julie A. Besedin, Sali K. Biek, and Andrew S. Ball. 2025. "Reviewing Treatment Options for Organohalogen Contamination: From Established Methods to Fungal Prospects" Environments 12, no. 6: 194. https://doi.org/10.3390/environments12060194
APA StyleAguilar, G., Jr., Khudur, L., Tottszer, A., Besedin, J. A., Biek, S. K., & Ball, A. S. (2025). Reviewing Treatment Options for Organohalogen Contamination: From Established Methods to Fungal Prospects. Environments, 12(6), 194. https://doi.org/10.3390/environments12060194

