Filling in the Gaps: Working in Un-Surveyed Areas to Create Baseline Data, Habitat Use and Abundance Estimates for Butterflies in Eastern Wyoming, USA
Abstract
1. Introduction
2. Materials and Methods
2.1. Study Area
2.2. Target Species
2.3. Field Sampling
2.4. Statistical Analysis
2.5. Species Distribution Models
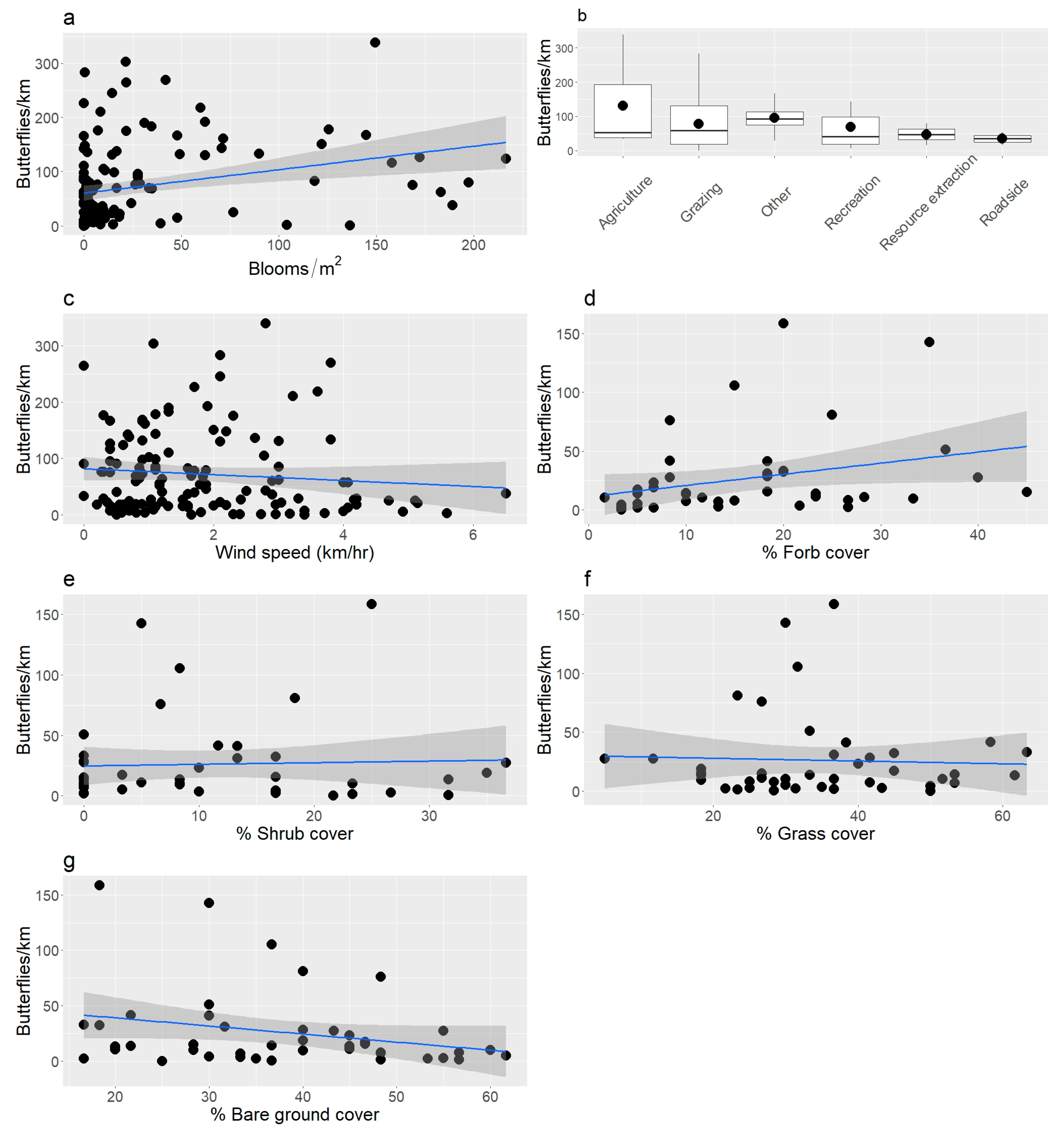
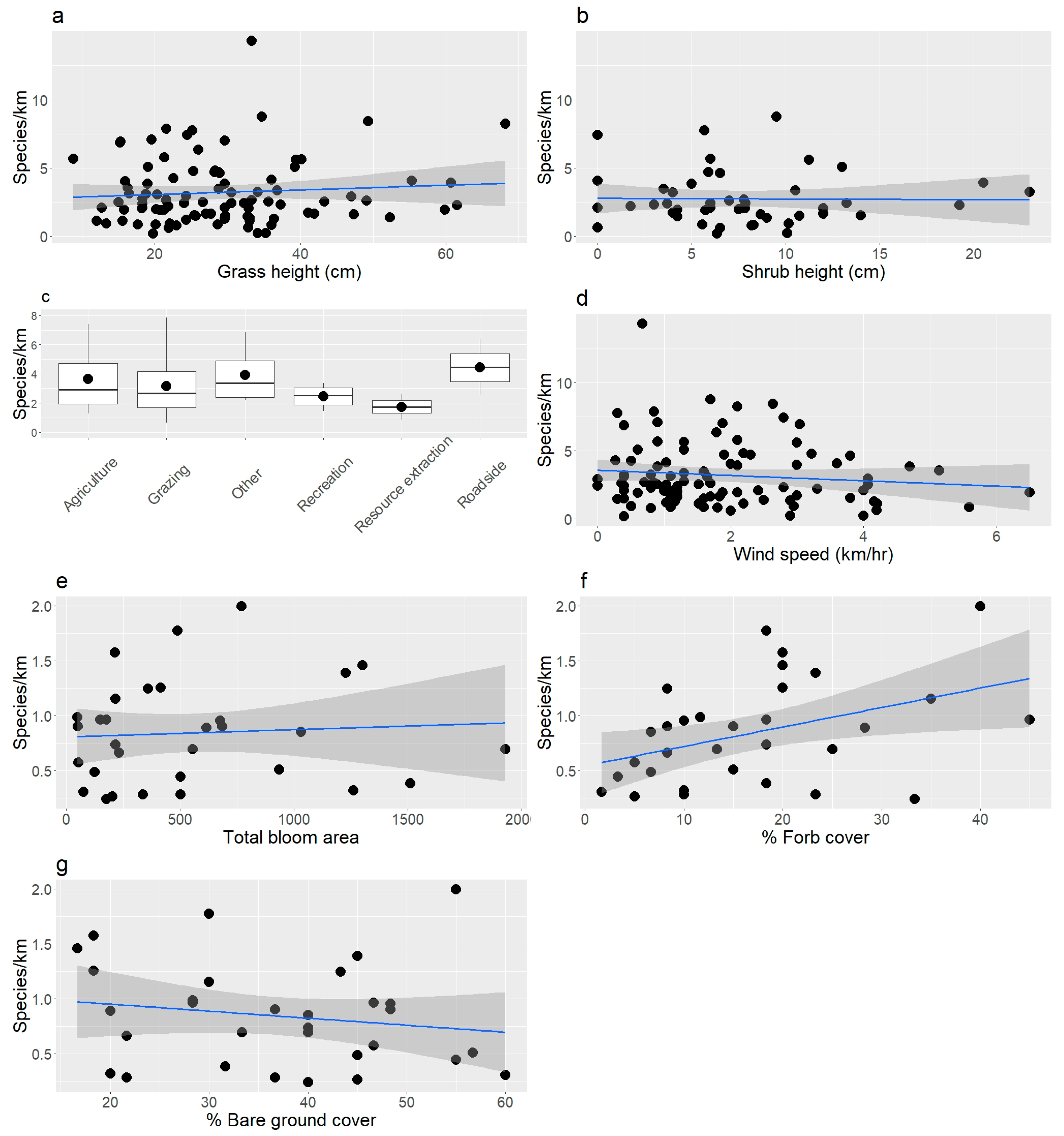
3. Results
3.1. Butterfly Surveys
3.2. Predicting Suitable Habitat for Regal Fritillary and Monarchs
4. Discussion
5. Conclusions
Author Contributions
Funding
Data Availability Statement
Acknowledgments
Conflicts of Interest
Abbreviations
| SDM | Species Distribution Model |
| US | United States of America |
| MaxEnt | Maximum Entropy |
Appendix A
| Taxa | Total |
|---|---|
| Nymphalidae | 478 |
| Argynnis idalia | 11 (not collected) |
| Aglais milberti | 2 |
| Cercyonis oetus | 15 |
| Cercyonis pegala | 74 |
| Chlosyne acastus | 1 |
| Chlosyne gorgone | 25 |
| Coenonympha tullia | 18 |
| Erebia epipsodea | 5 |
| Euphydryas anicia | 13 |
| Euphydryas chalcedona | 4 |
| Euptoieta claudia | 60 |
| Danaus plexippus | 31 (not collected) |
| Neominois ridingsii | 4 |
| Oeneis uhleri | 2 |
| Phyciodes cocyta | 16 |
| Phyciodes pulchella | 3 |
| Phyciodes tharos | 94 |
| Polygonia gracilis | 1 |
| Speyeria aphrodite | 1 |
| Speyeria coronis | 1 |
| Speyeria cybele | 3 |
| Speyeria hesperis | 1 |
| Speyeria aphrodite | 24 |
| Speyeria callippe | 10 |
| Speyeria coronis | 6 |
| Speyeria cybele | 2 |
| Speyeria edwardsii | 18 |
| Speyeria hesperis | 24 |
| Speyeria mormonia | 1 |
| Vanessa atalanta | 2 |
| Vanessa cardui | 42 |
| Vanessa virginiensis | 6 |
| Pieridae | 547 |
| Colias alexandra | 11 |
| Colias eurytheme | 81 |
| Colias philodice | 286 |
| Euchloe olympia | 1 |
| Pieris rapae | 10 |
| Pontia protodice | 11 |
| Pontia occidentalis | 5 |
| Pontia protodice | 142 |
| Lycaenidae | 188 |
| Glaucopsyche lygdamus | 1 |
| Lycaena dione | 5 |
| Lycaena helloides | 2 |
| Lycaena hyllus | 7 |
| Plebejus acmon | 5 |
| Plebejus icarioides | 21 |
| Plebejus melissa | 140 |
| Plebejus saepiolus | 1 |
| Strymon melinus | 6 |
| Hesperidae | 100 |
| Atalopedes campestris | 5 |
| Epargyreus clarus | 2 |
| Hesperia juba | 3 |
| Hesperia uncas | 4 |
| Pholisora catullus | 12 |
| Pyrgus communis | 74 |
| Papilionidae | 26 |
| Papilio eurymedon | 3 |
| Papilio polyxenes | 2 |
| Papilio rutulus | 4 |
| Parnassius smintheus | 17 |
| TOTAL | 1339 |
| Site ID | Date | Nymph. | Regal. | Mon. | Pier. | Lyc. | Hesp. | Pap. | Total |
|---|---|---|---|---|---|---|---|---|---|
| 219 | 27-August-2019 | 1 | 0 | 0 | 46 | 3 | 4 | 0 | 54 |
| 219 | 27-August-2019 | 1 | 0 | 0 | 67 | 6 | 4 | 0 | 78 |
| 450EofBeaverCreek | 15-August-2019 | 1 | 0 | 0 | 132 | 0 | 11 | 0 | 144 |
| 450EofBeaverCreek | 15-August-2019 | 1 | 0 | 0 | 289 | 1 | 0 | 0 | 291 |
| BH1 | 24-July-2019 | 81 | 0 | 0 | 78 | 19 | 0 | 7 | 185 |
| BH1 | 24-July-2019 | 131 | 0 | 0 | 33 | 12 | 0 | 0 | 176 |
| BH2 | 24-July-2019 | 15 | 0 | 0 | 3 | 2 | 0 | 0 | 20 |
| BH2 | 24-July-2019 | 8 | 0 | 0 | 5 | 0 | 0 | 0 | 13 |
| BH3 | 25-July-2019 | 67 | 0 | 0 | 53 | 6 | 0 | 4 | 130 |
| BH3 | 25-July-2019 | 85 | 0 | 0 | 75 | 4 | 0 | 4 | 168 |
| BH4 | 25-July-2019 | 38 | 0 | 0 | 27 | 10 | 0 | 3 | 78 |
| BH4 | 25-July-2019 | 79 | 0 | 0 | 31 | 12 | 12 | 0 | 134 |
| BH5 | 26-July-2019 | 217 | 0 | 1 | 77 | 0 | 0 | 3 | 297 |
| BH5 | 26-July-2019 | 154 | 0 | 2 | 52 | 7 | 0 | 0 | 213 |
| BH6 | 28-July-2019 | 138 | 0 | 0 | 47 | 1 | 0 | 0 | 186 |
| BHBLM1 | 27-July-2019 | 52 | 0 | 1 | 4 | 3 | 0 | 0 | 59 |
| BHBLM1 | 27-July-2019 | 155 | 0 | 1 | 15 | 1 | 3 | 0 | 174 |
| BorderBLM | 16-August-2019 | 5 | 0 | 0 | 92 | 2 | 0 | 0 | 99 |
| BorderBLM | 16-August-2019 | 7 | 0 | 1 | 26 | 7 | 1 | 0 | 41 |
| CastleCreek | 15-August-2019 | 0 | 0 | 0 | 0 | 0 | 0 | 0 | 0 |
| CastleCreek | 15-August-2019 | 0 | 0 | 0 | 0 | 0 | 1 | 0 | 1 |
| CGSP001 | 9-July-2019 | 80 | 0 | 0 | 24 | 12 | 8 | 0 | 124 |
| CGSP001 | 9-July-2019 | 20 | 0 | 1 | 45 | 10 | 5 | 2 | 82 |
| CGW1 | 28-August-2019 | 9 | 0 | 0 | 109 | 8 | 13 | 0 | 139 |
| CGW1 | 28-August-2019 | 22 | 0 | 0 | 59 | 15 | 61 | 0 | 157 |
| CGW10 | 29-August-2019 | 0 | 0 | 0 | 43 | 0 | 0 | 0 | 43 |
| CGW10 | 29-August-2019 | 3 | 0 | 0 | 15 | 2 | 0 | 0 | 20 |
| CGW11 | 29-August-2019 | 0 | 0 | 0 | 175 | 0 | 6 | 0 | 181 |
| CGW11 | 29-August-2019 | 47 | 0 | 2 | 136 | 0 | 8 | 0 | 191 |
| CGW12 | 30-August-2019 | 1 | 0 | 0 | 70 | 0 | 33 | 0 | 104 |
| CGW12 | 30-August-2019 | 1 | 0 | 0 | 15 | 0 | 9 | 0 | 25 |
| CGW13 | 30-August-2019 | 0 | 0 | 0 | 25 | 0 | 0 | 0 | 25 |
| CGW13 | 30-August-2019 | 4 | 0 | 0 | 17 | 0 | 1 | 0 | 22 |
| CGW14 | 29-August-2019 | 9 | 0 | 0 | 69 | 0 | 2 | 0 | 80 |
| CGW14 | 29-August-2019 | 23 | 0 | 0 | 63 | 0 | 2 | 0 | 88 |
| CGW16 | 30-August-2019 | 1 | 1 | 0 | 36 | 0 | 2 | 0 | 39 |
| CGW16 | 30-August-2019 | 1 | 0 | 0 | 26 | 0 | 4 | 0 | 31 |
| CGW2 | 28-August-2019 | 16 | 0 | 0 | 13 | 0 | 8 | 0 | 37 |
| CGW2 | 28-August-2019 | 23 | 0 | 0 | 5 | 2 | 28 | 0 | 58 |
| CGW3 | 28-August-2019 | 17 | 0 | 0 | 58 | 0 | 3 | 0 | 78 |
| CGW3 | 28-August-2019 | 7 | 0 | 0 | 33 | 0 | 10 | 0 | 50 |
| Chey_01 | 24-June-2021 | 2 | 0 | 0 | 2 | 3 | 0 | 6 | 13 |
| Chey_03 | 27-August-2021 | 8 | 1 | 0 | 19 | 10 | 3 | 0 | 40 |
| Chey_03 | 27-August-2021 | 1 | 0 | 1 | 6 | 7 | 3 | 0 | 17 |
| Chey_04 | 23-August-2021 | 6 | 0 | 0 | 2 | 5 | 10 | 0 | 23 |
| Chey_04 | 23-August-2021 | 0 | 0 | 0 | 0 | 3 | 0 | 0 | 3 |
| Chey_06 | 6-July-2021 | 4 | 0 | 0 | 7 | 0 | 0 | 0 | 11 |
| Chey_06 | 6-July-2021 | 3 | 0 | 0 | 3 | 0 | 1 | 0 | 7 |
| Chey_06a | 23-August-2021 | 1 | 0 | 0 | 6 | 9 | 17 | 0 | 33 |
| Chey_06a | 23-August-2021 | 3 | 0 | 0 | 4 | 2 | 6 | 0 | 15 |
| Chey_07 | 6-July-2021 | 3 | 0 | 0 | 0 | 0 | 0 | 0 | 3 |
| Chey_07 | 6-July-2021 | 0 | 0 | 0 | 0 | 0 | 0 | 0 | 0 |
| Chey_08 | 1-July-2021 | 3 | 0 | 0 | 1 | 4 | 0 | 10 | 18 |
| Chey_08 | 1-July-2021 | 6 | 0 | 0 | 0 | 0 | 1 | 13 | 20 |
| Chug_02 | 17-August-2021 | 0 | 1 | 0 | 10 | 0 | 0 | 0 | 10 |
| Chug_02 | 17-August-2021 | 0 | 1 | 0 | 9 | 7 | 2 | 0 | 18 |
| Chug_03 | 27-August-2021 | 2 | 0 | 0 | 0 | 0 | 0 | 0 | 2 |
| Chug_03 | 27-August-2021 | 1 | 0 | 0 | 0 | 0 | 0 | 0 | 1 |
| CW1 | 1-July-2019 | 17 | 0 | 0 | 59 | 20 | 5 | 0 | 101 |
| CW10 | 2-July-2019 | 19 | 0 | 0 | 15 | 5 | 5 | 2 | 46 |
| CW14 | 5-July-2019 | 3 | 0 | 0 | 13 | 0 | 3 | 0 | 19 |
| CW4 | 2-July-2019 | 21 | 0 | 0 | 25 | 1 | 8 | 0 | 55 |
| DT1 | 28-July-2019 | 73 | 0 | 0 | 5 | 0 | 0 | 0 | 78 |
| DT1 | 28-July-2019 | 81 | 0 | 0 | 16 | 0 | 2 | 0 | 99 |
| DT2 | 29-July-2019 | 108 | 0 | 0 | 7 | 1 | 0 | 0 | 116 |
| DT2 | 29-July-2019 | 117 | 0 | 3 | 18 | 1 | 6 | 0 | 142 |
| DurhamRanch1 | 22-August-2019 | 9 | 1 | 1 | 174 | 35 | 3 | 0 | 221 |
| DurhamRanch1 | 22-August-2019 | 7 | 0 | 2 | 261 | 9 | 2 | 0 | 279 |
| DurhamRanch2 | 22-August-2019 | 4 | 0 | 0 | 95 | 74 | 2 | 0 | 175 |
| DurhamRanch2 | 22-August-2019 | 0 | 0 | 2 | 33 | 5 | 0 | 0 | 38 |
| Fairview | 14-August-2019 | 0 | 0 | 0 | 98 | 1 | 34 | 0 | 133 |
| Fairview | 14-August-2019 | 3 | 0 | 0 | 112 | 7 | 2 | 0 | 124 |
| FL001 | 26-June-2019 | 0 | 0 | 0 | 22 | 1 | 0 | 0 | 23 |
| FL001 | 26-June-2019 | 8 | 0 | 0 | 30 | 2 | 0 | 0 | 40 |
| FortLaramie | 22-August-2019 | 0 | 0 | 0 | 13 | 0 | 1 | 0 | 14 |
| FortLaramie | 22-August-2019 | 0 | 0 | 1 | 12 | 0 | 1 | 0 | 13 |
| FortLaramie2 | 23-August-2019 | 5 | 0 | 0 | 18 | 0 | 7 | 0 | 30 |
| FortLaramie2 | 23-August-2019 | 0 | 0 | 1 | 47 | 0 | 0 | 0 | 47 |
| FosterRoad | 27-August-2019 | 0 | 0 | 0 | 1 | 0 | 0 | 0 | 1 |
| FosterRoad | 27-August-2019 | 0 | 0 | 0 | 0 | 0 | 1 | 0 | 1 |
| Gill_02 | 27-July-2021 | 5 | 0 | 0 | 14 | 3 | 0 | 0 | 22 |
| Gill_05 | 9-August-2021 | 0 | 0 | 0 | 3 | 0 | 0 | 0 | 3 |
| Gill_05 | 9-August-2021 | 1 | 0 | 0 | 6 | 7 | 0 | 0 | 14 |
| Gill_06 | 9-August-2021 | 0 | 0 | 0 | 10 | 2 | 0 | 0 | 12 |
| Gill_06 | 9-August-2021 | 0 | 0 | 0 | 5 | 0 | 0 | 0 | 5 |
| Glen_01 | 22-July-2021 | 0 | 0 | 0 | 0 | 0 | 0 | 0 | 0 |
| Glen_01 | 22-July-2021 | 0 | 0 | 0 | 0 | 0 | 0 | 0 | 0 |
| Glenr-01 | 15-July-2021 | 25 | 0 | 0 | 64 | 7 | 0 | 0 | 96 |
| Glenr-01 | 15-July-2021 | 21 | 0 | 0 | 55 | 1 | 0 | 1 | 78 |
| Glenr-02 | 15-July-2021 | 2 | 0 | 0 | 3 | 0 | 0 | 0 | 5 |
| Glenr-02 | 15-July-2021 | 1 | 0 | 1 | 7 | 1 | 0 | 0 | 9 |
| Glenr-06 | 15-July-2021 | 34 | 0 | 0 | 130 | 0 | 0 | 1 | 165 |
| Glenr-06 | 15-July-2021 | 28 | 0 | 0 | 44 | 3 | 0 | 0 | 75 |
| GLSP001 | 11-July-2019 | 10 | 0 | 0 | 5 | 3 | 0 | 0 | 18 |
| GLSP001 | 11-July-2019 | 13 | 0 | 0 | 4 | 0 | 0 | 0 | 17 |
| GLSP002 | 11-July-2019 | 27 | 0 | 0 | 9 | 2 | 20 | 0 | 58 |
| GLSP002 | 11-July-2019 | 34 | 0 | 0 | 5 | 4 | 0 | 0 | 43 |
| Grieves | 14-August-2019 | 15 | 0 | 0 | 25 | 3 | 1 | 0 | 44 |
| Grieves | 14-August-2019 | 2 | 0 | 0 | 35 | 2 | 0 | 0 | 39 |
| GSP001 | 26-June-2019 | 0 | 0 | 0 | 2 | 13 | 9 | 1 | 25 |
| GSP001 | 26-June-2019 | 13 | 0 | 0 | 9 | 18 | 2 | 0 | 42 |
| HJ001 | 8-July-2019 | 25 | 0 | 0 | 25 | 18 | 13 | 2 | 83 |
| HJ001 | 8-July-2019 | 35 | 0 | 0 | 8 | 20 | 15 | 7 | 85 |
| HJ002 | 8-July-2019 | 7 | 0 | 0 | 42 | 15 | 4 | 2 | 70 |
| HJ002 | 8-July-2019 | 34 | 0 | 0 | 35 | 20 | 15 | 0 | 104 |
| HJ003 | 9-July-2019 | 3 | 0 | 0 | 42 | 20 | 3 | 2 | 70 |
| HJ003 | 9-July-2019 | 75 | 0 | 0 | 4 | 0 | 6 | 53 | 138 |
| HJ004 | 9-July-2019 | 10 | 0 | 0 | 105 | 10 | 0 | 0 | 125 |
| HJ004 | 9-July-2019 | 24 | 0 | 0 | 4 | 2 | 3 | 115 | 148 |
| Howard | 15-August-2019 | 1 | 0 | 0 | 152 | 7 | 0 | 0 | 160 |
| Howard | 15-August-2019 | 0 | 0 | 0 | 28 | 4 | 7 | 0 | 39 |
| Hul_03 | 28-July-2021 | 10 | 0 | 0 | 0 | 0 | 0 | 0 | 10 |
| Hul_04 | 28-July-2021 | 69 | 0 | 0 | 6 | 5 | 0 | 0 | 80 |
| Hul_05 | 28-July-2021 | 2 | 0 | 0 | 0 | 2 | 0 | 0 | 4 |
| Hul_06 | 11-August-2021 | 0 | 0 | 0 | 0 | 1 | 0 | 0 | 1 |
| Hul_06 | 11-August-2021 | 0 | 0 | 0 | 17 | 1 | 0 | 0 | 18 |
| Hul_07 | 11-August-2021 | 0 | 0 | 0 | 19 | 1 | 0 | 0 | 20 |
| Hul_07 | 11-August-2021 | 0 | 0 | 0 | 0 | 0 | 0 | 0 | 0 |
| Hul_08 | 11-August-2021 | 0 | 0 | 0 | 10 | 5 | 0 | 0 | 15 |
| Hul_08 | 11-August-2021 | 2 | 1 | 0 | 28 | 1 | 0 | 0 | 31 |
| HWY223 | 27-August-2019 | 1 | 0 | 0 | 26 | 17 | 2 | 0 | 46 |
| HWY223 | 27-August-2019 | 3 | 2 | 0 | 21 | 55 | 3 | 0 | 82 |
| Key_01 | 27-July-2021 | 0 | 0 | 0 | 2 | 0 | 0 | 0 | 2 |
| KeyholeWest | 12-August-2019 | 1 | 0 | 0 | 27 | 6 | 0 | 0 | 34 |
| KeyholeWest | 12-August-2019 | 1 | 0 | 0 | 34 | 5 | 0 | 0 | 40 |
| La_01 | 17-August-2021 | 0 | 0 | 0 | 3 | 0 | 0 | 0 | 3 |
| La_01 | 17-August-2021 | 0 | 0 | 0 | 8 | 1 | 0 | 0 | 9 |
| Lar_01 | 23-June-2021 | 0 | 0 | 0 | 0 | 0 | 1 | 0 | 1 |
| Lar_02 | 23-June-2021 | 0 | 0 | 0 | 1 | 0 | 0 | 0 | 1 |
| Lar_05 | 23-June-2021 | 18 | 0 | 0 | 3 | 5 | 0 | 17 | 43 |
| LCW1 | 7-August-2019 | 28 | 0 | 0 | 28 | 70 | 10 | 0 | 136 |
| LCW1 | 7-August-2019 | 49 | 0 | 0 | 60 | 78 | 3 | 0 | 190 |
| LCW3 | 7-August-2019 | 141 | 0 | 0 | 37 | 44 | 3 | 0 | 225 |
| LCW3 | 7-August-2019 | 15 | 0 | 0 | 3 | 92 | 2 | 0 | 112 |
| LCW7 | 5-August-2019 | 33 | 0 | 0 | 20 | 9 | 2 | 0 | 64 |
| LCW7 | 5-August-2019 | 81 | 1 | 0 | 26 | 56 | 7 | 0 | 170 |
| LCW8A | 6-August-2019 | 22 | 0 | 0 | 46 | 5 | 4 | 0 | 77 |
| LCW8A | 6-August-2019 | 34 | 0 | 0 | 84 | 9 | 15 | 0 | 142 |
| LCW8B | 6-August-2019 | 29 | 0 | 0 | 94 | 1 | 2 | 0 | 126 |
| LCW8B | 6-August-2019 | 5 | 0 | 0 | 46 | 1 | 8 | 0 | 60 |
| LCW9 | 6-August-2019 | 8 | 0 | 0 | 57 | 1 | 1 | 0 | 67 |
| LCW9 | 6-August-2019 | 23 | 0 | 0 | 49 | 3 | 0 | 0 | 75 |
| LCWBLM1 | 6-August-2019 | 47 | 0 | 0 | 17 | 18 | 0 | 0 | 82 |
| LCWBLM1 | 6-August-2019 | 49 | 0 | 0 | 6 | 14 | 0 | 0 | 69 |
| Lin_03 | 7-July-2021 | 162 | 0 | 0 | 0 | 0 | 2 | 0 | 164 |
| Lin_03 | 7-July-2021 | 79 | 0 | 0 | 2 | 0 | 0 | 0 | 81 |
| Lusk_02 | 16-July-2021 | 2 | 0 | 0 | 6 | 0 | 7 | 0 | 15 |
| Lusk_02 | 16-July-2021 | 7 | 0 | 0 | 12 | 0 | 0 | 0 | 19 |
| Lusk_03 | 14-July-2021 | 2 | 0 | 0 | 23 | 3 | 0 | 0 | 28 |
| Lusk_03 | 14-July-2021 | 9 | 0 | 0 | 25 | 1 | 0 | 0 | 35 |
| Lusk_04 | 16-July-2021 | 4 | 0 | 0 | 1 | 0 | 0 | 0 | 5 |
| Lusk_04 | 16-July-2021 | 4 | 0 | 0 | 1 | 0 | 0 | 0 | 5 |
| Lusk_05 | 12-August-2021 | 0 | 0 | 0 | 84 | 0 | 0 | 0 | 84 |
| Lusk_05 | 12-August-2021 | 1 | 0 | 0 | 88 | 1 | 1 | 0 | 91 |
| LW1 | 8-August-2019 | 95 | 0 | 0 | 44 | 17 | 1 | 0 | 157 |
| LW1 | 8-August-2019 | 54 | 0 | 0 | 22 | 11 | 0 | 0 | 87 |
| LW4 | 8-August-2019 | 81 | 0 | 0 | 133 | 3 | 1 | 0 | 218 |
| LW4 | 8-August-2019 | 106 | 0 | 0 | 29 | 31 | 1 | 0 | 167 |
| MBR001 | 10-July-2019 | 10 | 0 | 0 | 3 | 5 | 0 | 0 | 18 |
| MBR001 | 10-July-2019 | 26 | 0 | 0 | 0 | 3 | 1 | 0 | 30 |
| Mule_02 | 21-July-2021 | 0 | 0 | 0 | 3 | 0 | 0 | 0 | 3 |
| Mule_02 | 21-July-2021 | 0 | 0 | 0 | 0 | 0 | 0 | 0 | 0 |
| Mule_03 | 21-July-2021 | 13 | 0 | 0 | 5 | 10 | 0 | 0 | 28 |
| Mule_03 | 21-July-2021 | 11 | 0 | 0 | 0 | 5 | 0 | 0 | 16 |
| Mule_04 | 21-July-2021 | 4 | 0 | 1 | 69 | 3 | 1 | 0 | 77 |
| MushCreek | 14-August-2019 | 2 | 0 | 0 | 42 | 6 | 0 | 0 | 50 |
| MushCreek | 14-August-2019 | 2 | 0 | 0 | 60 | 11 | 10 | 0 | 83 |
| Newc_02 | 26-July-2021 | 4 | 0 | 0 | 2 | 1 | 0 | 0 | 7 |
| Newc_06 | 26-July-2021 | 47 | 0 | 0 | 16 | 6 | 2 | 0 | 71 |
| Newc_07 | 26-July-2021 | 11 | 0 | 0 | 29 | 1 | 0 | 0 | 41 |
| Ngil_01 | 10-August-2021 | 2 | 0 | 0 | 76 | 7 | 4 | 0 | 89 |
| Ngil_01 | 10-August-2021 | 0 | 0 | 0 | 30 | 4 | 0 | 0 | 34 |
| Ngil_02 | 10-August-2021 | 0 | 0 | 0 | 46 | 1 | 1 | 0 | 48 |
| Ngil_02 | 10-August-2021 | 0 | 0 | 1 | 32 | 0 | 0 | 0 | 32 |
| Ngil_03 | 10-August-2021 | 0 | 0 | 0 | 10 | 2 | 0 | 0 | 12 |
| Ngil_03 | 10-August-2021 | 0 | 0 | 0 | 5 | 6 | 0 | 0 | 11 |
| Orin_01 | 16-July-2021 | 9 | 0 | 0 | 4 | 0 | 0 | 0 | 13 |
| Orin_01 | 16-July-2021 | 16 | 0 | 0 | 4 | 0 | 1 | 0 | 21 |
| Pine_02 | 6-July-2021 | 5 | 0 | 0 | 5 | 0 | 0 | 0 | 10 |
| Pine_02 | 6-July-2021 | 3 | 0 | 0 | 6 | 0 | 0 | 1 | 10 |
| ReedLandLLC1 | 21-August-2019 | 22 | 0 | 0 | 208 | 1 | 15 | 0 | 246 |
| ReedLandLLC1 | 21-August-2019 | 14 | 0 | 0 | 158 | 7 | 39 | 1 | 219 |
| ReedLandLLC2 | 21-August-2019 | 3 | 0 | 0 | 121 | 0 | 7 | 0 | 131 |
| ReedLandLLC2 | 21-August-2019 | 18 | 0 | 0 | 62 | 0 | 5 | 0 | 85 |
| Rock_03 | 29-June-2021 | 3 | 0 | 0 | 0 | 0 | 0 | 10 | 13 |
| Rock_03 | 29-June-2021 | 4 | 0 | 0 | 0 | 0 | 0 | 14 | 18 |
| Rock_04 | 29-June-2021 | 2 | 0 | 0 | 0 | 0 | 0 | 0 | 2 |
| Rock_04 | 29-June-2021 | 2 | 0 | 0 | 0 | 0 | 1 | 1 | 4 |
| Short_01 | 17-July-2021 | 4 | 0 | 0 | 28 | 2 | 0 | 0 | 34 |
| SodaGleason | 13-August-2019 | 16 | 0 | 0 | 83 | 23 | 3 | 0 | 125 |
| SodaGleason | 13-August-2019 | 0 | 0 | 0 | 76 | 8 | 0 | 0 | 84 |
| Solar_01 | 2-July-2021 | 1 | 0 | 0 | 0 | 1 | 0 | 2 | 4 |
| SpringerWHMA1 | 23-August-2019 | 22 | 0 | 2 | 237 | 0 | 1 | 0 | 260 |
| SpringerWHMA1 | 23-August-2019 | 29 | 0 | 0 | 143 | 1 | 9 | 0 | 182 |
| STB10 | 16-July-2019 | 0 | 0 | 0 | 0 | 0 | 0 | 0 | 0 |
| STB10 | 16-July-2019 | 0 | 0 | 0 | 0 | 0 | 0 | 0 | 0 |
| STB11 | 15-July-2019 | 2 | 0 | 0 | 1 | 0 | 0 | 0 | 3 |
| STB11 | 15-July-2019 | 4 | 0 | 0 | 1 | 0 | 0 | 0 | 5 |
| STB11 | 16-July-2019 | 0 | 0 | 0 | 18 | 0 | 0 | 0 | 18 |
| STB11 | 16-July-2019 | 1 | 0 | 0 | 19 | 0 | 0 | 0 | 20 |
| STB12 | 18-July-2019 | 12 | 0 | 0 | 28 | 16 | 0 | 0 | 56 |
| STB18 | 19-July-2019 | 41 | 0 | 2 | 118 | 3 | 0 | 0 | 162 |
| STB18 | 19-July-2019 | 34 | 0 | 2 | 150 | 14 | 0 | 0 | 198 |
| STB19 | 17-July-2019 | 59 | 0 | 0 | 68 | 0 | 0 | 0 | 127 |
| STB19 | 17-July-2019 | 48 | 0 | 0 | 49 | 4 | 8 | 0 | 109 |
| STB4 | 16-July-2019 | 15 | 0 | 0 | 28 | 1 | 1 | 0 | 45 |
| STB4 | 16-July-2019 | 5 | 0 | 0 | 12 | 0 | 8 | 0 | 25 |
| STB6 | 18-July-2019 | 8 | 0 | 0 | 29 | 2 | 4 | 0 | 43 |
| STB6 | 18-July-2019 | 6 | 0 | 0 | 64 | 1 | 5 | 0 | 76 |
| STBBLM | 19-July-2019 | 13 | 0 | 0 | 17 | 0 | 0 | 0 | 30 |
| STBBLM | 19-July-2019 | 25 | 0 | 0 | 45 | 5 | 0 | 0 | 75 |
| Syb_01 | 8-July-2021 | 12 | 0 | 0 | 3 | 1 | 0 | 0 | 16 |
| Syb_01 | 8-July-2021 | 12 | 0 | 0 | 5 | 0 | 0 | 0 | 17 |
| TableMountain1 | 20-August-2019 | 2 | 0 | 0 | 24 | 2 | 0 | 0 | 28 |
| TableMountain1 | 20-August-2019 | 4 | 0 | 0 | 32 | 7 | 0 | 0 | 43 |
| TableMountain2 | 20-August-2019 | 0 | 0 | 0 | 31 | 0 | 0 | 0 | 31 |
| TableMountain2 | 20-August-2019 | 3 | 0 | 0 | 42 | 1 | 0 | 0 | 46 |
| TB001 | 17-June-2019 | 7 | 0 | 0 | 12 | 4 | 1 | 0 | 24 |
| TB002 | 17-June-2019 | 0 | 0 | 0 | 0 | 0 | 0 | 0 | 0 |
| TB002 | 17-June-2019 | 0 | 0 | 0 | 1 | 1 | 0 | 0 | 2 |
| TB003 | 18-June-2019 | 5 | 0 | 0 | 7 | 45 | 0 | 0 | 57 |
| TB003 | 18-June-2019 | 11 | 0 | 0 | 3 | 60 | 6 | 0 | 80 |
| TB004 | 18-June-2019 | 20 | 0 | 0 | 15 | 45 | 0 | 0 | 80 |
| TB004 | 18-June-2019 | 35 | 0 | 0 | 15 | 60 | 2 | 0 | 112 |
| TB005 | 19-June-2019 | 80 | 0 | 0 | 0 | 15 | 1 | 0 | 96 |
| TB005 | 19-June-2019 | 200 | 0 | 0 | 62 | 87 | 5 | 0 | 354 |
| TB006 | 19-June-2019 | 12 | 0 | 0 | 45 | 45 | 0 | 0 | 102 |
| TB006 | 19-June-2019 | 62 | 0 | 0 | 22 | 150 | 17 | 0 | 251 |
| TBSE3 | 17-July-2019 | 13 | 0 | 0 | 22 | 3 | 0 | 0 | 38 |
| TBSE3 | 17-July-2019 | 15 | 0 | 0 | 27 | 0 | 0 | 0 | 42 |
| Thun_01 | 22-July-2021 | 3 | 0 | 0 | 3 | 17 | 0 | 0 | 23 |
| Thun_01 | 22-July-2021 | 0 | 0 | 0 | 9 | 12 | 1 | 0 | 22 |
| TTBW001 | 24-June-2019 | 11 | 0 | 0 | 5 | 15 | 0 | 0 | 31 |
| TTBW001 | 24-June-2019 | 35 | 0 | 0 | 7 | 50 | 15 | 1 | 108 |
| TTBW002 | 24-June-2019 | 4 | 0 | 0 | 5 | 27 | 0 | 7 | 43 |
| TTBW002 | 24-June-2019 | 31 | 0 | 0 | 3 | 50 | 10 | 17 | 111 |
| TW14 | 27-June-2019 | 11 | 0 | 0 | 22 | 4 | 5 | 0 | 42 |
| TW14 | 27-June-2019 | 4 | 0 | 0 | 15 | 4 | 1 | 0 | 24 |
| TW7 | 4-July-2019 | 9 | 0 | 0 | 15 | 3 | 1 | 0 | 28 |
| TW8 | 27-June-2019 | 1 | 0 | 0 | 18 | 0 | 0 | 0 | 19 |
| TW8 | 27-June-2019 | 1 | 0 | 0 | 26 | 2 | 5 | 0 | 34 |
| TW9 | 4-July-2019 | 3 | 0 | 0 | 0 | 0 | 0 | 0 | 3 |
| TWBLM1 | 28-June-2019 | 140 | 0 | 0 | 19 | 23 | 2 | 0 | 184 |
| WH001 | 25-June-2019 | 8 | 0 | 0 | 5 | 2 | 0 | 0 | 15 |
| WH001 | 25-June-2019 | 6 | 0 | 0 | 17 | 0 | 3 | 0 | 26 |
| Wheat_01 | 8-July-2021 | 5 | 0 | 0 | 1 | 0 | 0 | 2 | 8 |
| Wheat_01 | 8-July-2021 | 35 | 0 | 1 | 0 | 0 | 0 | 0 | 35 |
| Wheat_03 | 7-July-2021 | 5 | 0 | 0 | 0 | 0 | 0 | 0 | 5 |
| Wheat_03 | 7-July-2021 | 5 | 0 | 0 | 0 | 0 | 0 | 0 | 5 |
| Wheat_04 | 8-July-2021 | 1 | 0 | 0 | 0 | 0 | 0 | 0 | 1 |
| Wheat_04 | 8-July-2021 | 2 | 0 | 0 | 0 | 0 | 0 | 0 | 2 |
| Wri_04 | 18-August-2021 | 0 | 0 | 0 | 13 | 1 | 0 | 0 | 14 |
| Wri_05 | 18-August-2021 | 0 | 0 | 0 | 1 | 0 | 0 | 0 | 1 |
| Wri_05 | 18-August-2021 | 0 | 0 | 0 | 0 | 0 | 0 | 0 | 0 |
| York | 13-August-2019 | 26 | 0 | 0 | 151 | 25 | 2 | 0 | 204 |
| York | 13-August-2019 | 28 | 1 | 1 | 99 | 12 | 1 | 0 | 140 |
| Climate Predictors | Landscape Predictors |
|---|---|
| Bioclim1 | % Bare ground |
| Bioclim2 | Contagion (aggregation of patches) |
| Bioclim3 | Distance to water |
| Bioclim4 | Elevation |
| Bioclim5 | Forest cover |
| Bioclim6 | Frost days |
| Bioclim7 | Growing degree days |
| Bioclim8 | Herbaceous cover |
| Bioclim9 | Surface organic matter cover |
| Bioclim10 | Sagebrush cover |
| Bioclim11 | Shrub cover |
| Bioclim12 | Topographic position index (11) |
| Bioclim13 | Bare ground cover |
| Bioclim14 | |
| Bioclim15 | |
| Bioclim16 | |
| Bioclim17 | |
| Bioclim18 | |
| Bioclim19 |
References
- Warren, M.S.; Maes, D.; van Swaay, C.A.M.; Goffart, P.; Van Dyck, H.; Bourn, N.A.D.; Wynhoff, I.; Hoare, D.; Ellis, S. The decline of butterflies in Europe: Problems, significance, and possible solutions. Proc. Natl. Acad. Sci. USA 2021, 118, e2002551117. [Google Scholar] [CrossRef]
- Edwards, C.B.; Zipkin, E.F.; Henry, E.H.; Haddad, N.M.; Forister, M.L.; Burls, K.J.; Campbell, S.P.; Crone, E.E.; Diffendorfer, J.; Douglas, M.R.; et al. Rapid butterfly declines across the United States during the 21st century. Science 2025, 387, 1090–1094. [Google Scholar] [CrossRef] [PubMed]
- Sanchez-Bayo, F.; Wyckhuys, K.A.G. Worldwide decline of the entomofauna: A review of its drivers. Biol. Conserv. 2019, 232, 8–27. [Google Scholar] [CrossRef]
- Thomas, J.A.; Telfer, M.G.; Roy, D.B.; Preston, C.D.; Greenwood, J.J.D.; Asher, J.; Fox, R.; Clarke, R.T.; Lawton, J.H. Comparative losses of British butterflies, birds, and plants and the global extinction crisis. Science 2004, 303, 1879–1881. [Google Scholar] [CrossRef]
- Lebuhn, G.; Droege, S.; Connor, E.F.; Gemmill-Herren, B.; Potts, S.G.; Minckley, R.L.; Griswold, T.; Jean, R.; Kula, E.; Roubik, D.W.; et al. Detecting insect pollinator declines on regional and global scales. Conserv. Biol. 2013, 27, 113–120. [Google Scholar] [CrossRef] [PubMed]
- Maxwell, S.L.; Fuller, R.A.; Brooks, T.M.; Watson, J.E. Biodiversity: The ravages of guns, nets and bulldozers. Nature 2016, 536, 143–145. [Google Scholar] [CrossRef]
- Wagner, D.; Grames, E.; Forister, M.; Berenbaum, M.; Stopak, D. Insect declines in the Anthropocene: Death by a thousand cuts. Proc. Nat. Acad. Sci. USA 2020, 118, e2023989118. [Google Scholar] [CrossRef]
- Maes, D.; Van Dyck, H. Butterfly diversity loss in Flanders (north Belgium): Europe’s worst case scenario? Biol. Conserv. 2001, 99, 263–276. [Google Scholar] [CrossRef]
- Elith, J.; Phillips, S.J.; Hastie, T.; Dudík, M.; Chee, Y.E.; Yates, C.J. A statistical explanation of MaxEnt for ecologists. Divers. Distrib. 2011, 17, 43–57. [Google Scholar] [CrossRef]
- Silva, D.P.; Spigoloni, Z.A.; Camargos, L.M.; de Andrade, A.F.A.; De Marco, P.; Engel, M.S. Distributional modeling of Mantophasmatodea (Insecta: Notoptera): A preliminary application and the need for future sampling. Org. Divers. Evol. 2016, 16, 259–268. [Google Scholar] [CrossRef]
- Newbold, T. Applications and limitations of museum data for conservation and ecology, with particular attention to species distribution models. Prog. Phys. Geogr. 2010, 34, 3–22. [Google Scholar] [CrossRef]
- Rodriguez, J.P.; Brotons, L.; Bustamante, J.; Seoane, J. The application of predictive modelling of species distribution to biodiversity conservation. Divers. Distrib. 2007, 13, 243–251. [Google Scholar] [CrossRef]
- Tronstad, L.M.; Bell, C.; Cook, K.; Dillon, M.E. Using Species Distribution Models to Assess the Status of the Declining Western Bumble Bee (Hymenoptera: Apidae: Bombus occidentalis) in Wyoming, USA. Environments 2025, 12, 2. [Google Scholar] [CrossRef]
- Pelletier, T.A.; Crisafulli, C.; Wagner, S.; Zellmer, A.J.; Carstens, B.C. Historical Species Distribution Models Predict Species Limits in Western Plethodon Salamanders. Syst. Biol. 2015, 64, 909–925. [Google Scholar] [CrossRef] [PubMed]
- Tronstad, L.M.; Brown, K.M.; Andersen, M.D. Using species distribution models to guide field surveys for an apparently rare aquatic beetle. J. Fish Wildl. Manag. 2018, 9, 330–339. [Google Scholar] [CrossRef]
- Marcer, A.; Sáez, L.; Molowny-Horas, R.; Pons, X.; Pino, J. Using species distribution modelling to disentangle realised versus potential distributions for rare species conservation. Biol. Conserv. 2013, 166, 221–230. [Google Scholar] [CrossRef]
- Amirkhiz, R.G.; Frey, J.K.; Cain, J.W., III; Breck, S.W.; Bergman, D.L. Predicting spatial factors associated with cattle depredations by the Mexican wolf (Canis lupus baileyi) with recommendations for depredation risk modeling. Biol. Conserv. 2018, 224, 327–335. [Google Scholar] [CrossRef]
- Selby, G. Regal Fritillary (Speyeria Idalia Drury): A Technical Conservation Assessment. USDA Forest Service, Rocky Mountain Region, Species Conservation Project. 2007. Available online: https://www.fs.usda.gov/Internet/FSE_DOCUMENTS/stelprdb5206808.pdf (accessed on 1 April 2025).
- Swengel, A.B. Comments to USFWS on Petition to List Regal Fritillary Federally. 2015. Available online: https://www.researchgate.net/ (accessed on 2 February 2019).
- Henderson, R.A.; Meunier, J.; Holoubek, N.S. Disentangling effects of fire, habitat, and climate on an endangered prairie-specialist butterfly. Biol. Conserv. 2018, 218, 41–48. [Google Scholar] [CrossRef]
- Moranz, R.A.; Fuhlendorf, S.D.; Engle, D.M. Making sense of a prairie butterfly paradox: The effects of grazing, time since fire, and sampling period on regal fritillary abundance. Biol. Conserv. 2014, 173, 32–41. [Google Scholar] [CrossRef]
- Swengel, S.R.; Schlicht, D.; Olsen, F.; Swengel, A.B. Declines of prairie butterflies in the midwestern USA. J. Insect Conserv. 2011, 15, 327–339. [Google Scholar] [CrossRef]
- Rendón-Salinas, E.; Fajardo-Arroyo, A.; Avera-Alonso, G. Forest Surface Occupied by Monarch Butterfly Hibernation Colonies in December 2014; World Wildlife Fund Report: Morges, Switzerland, 2015; pp. 1–4. [Google Scholar]
- Xerces Society. Xerces Society for Insect Conservation. Available online: https://xerces.org (accessed on 8 March 2022).
- Pleasants, J.M.; Oberhauser, K.S. Milkweed loss in agricultural fields because of herbicide use: Effect on the monarch butterfly population. Insect Conserv. Divers. 2013, 6, 135–144. [Google Scholar] [CrossRef]
- Zaya, D.N.; Pearse, I.S.; Spyreas, G. Long-Term Trends in Midwestern Milkweed Abundances and Their Relevance to Monarch Butterfly Declines. BioScience 2017, 67, 343–356. [Google Scholar] [CrossRef]
- Stenoien, C.; Nail, K.R.; Zalucki, J.M.; Parry, H.; Oberhauser, K.S.; Zalucki, M.P. Monarchs in decline: A collateral landscape-level effect of modern agriculture. Insect Sci. 2018, 25, 528–541. [Google Scholar] [CrossRef]
- Crone, E.E.; Pelton, E.M.; Brown, L.M.; Thomas, C.C.; Schultz, C.B. Why are monarch butterflies declining in the West? Understanding the importance of multiple correlated drivers. Ecol. Appl. 2019, 29, e01975. [Google Scholar] [CrossRef] [PubMed]
- Short, Z.; Tronstad, L.M. Monarchs reproduce in eastern Wyoming and were not parasitized by Ophryocystis elektroscirrha. Prairie Nat. 2024, 56, 1–9. [Google Scholar]
- Dingle, H.; Zalucki, M.P.; Rochester, W.A.; Armijo-Prewitt, T. Distribution of the monarch butterfly, Danaus plexippus (L.) (Lepidoptera: Nymphalidae), in western North America. Biol. J. Linn. Soc. 2005, 85, 491–500. [Google Scholar] [CrossRef]
- Jepsen, S.; Schweitzer, D.F.; Young, B.; Sears, N. Conservation Status and Ecology of the Monarch Butterfly in the United States; The Xerces Society for Intvertebrate Conservation: Portland, OR, USA, 2015. [Google Scholar]
- BAMONA. Butterflies and Moths of North America. Available online: https://www.butterfliesandmoths.org (accessed on 8 March 2022).
- Xerces Society; US Fish and Wildlife Service; Idaho Department of Fish and Game; Washington Department of Fish and Wildlife. Western Monarch Milkweed Mapper. Available online: www.monarchmilkweedmapper.org (accessed on 4 December 2020).
- Curtis, J.; Grimes, K. Wyoming Climate Atlas. Available online: https://www.wrds.uwyo.edu/sco/climateatlas/ (accessed on 24 February 2025).
- Kopper, B.J.; Charlton, R.E.; Margolies, D.C. Oviposition Site Selection by the Regal Fritillary, Speyeria idalia, as Affected by Proximity of Violet Host Plants. J. Insect Behav. 2000, 13, 651–665. [Google Scholar] [CrossRef]
- Caven, A.J.; King, K.C.; Wiese, J.D.; Brinley Buckley, E.M. A descriptive analysis of Regal Fritillary (Speyeria idalia) habitat utilizing biological monitoring data along the big bend of the Platte River, NE. J. Insect Conserv. 2017, 21, 183–205. [Google Scholar] [CrossRef]
- Ehrenreich, J.H.; Aikman, J.M. An Ecological Study of the Effect of Certain Management Practices on Native Prairie in Iowa. Ecol. Monogr. 1963, 33, 113–130. [Google Scholar] [CrossRef]
- Kopper, B.J.; Margolies, D.C.; Charlton, R.E. Life History Notes on the Regal Fritillary, Speyeria idalia (Drury) (Lepidoptera: Nymphalidae), in Kansas Tallgrass Prairie. J. Kans. Entomol. Soc. 2001, 74, 172–177. [Google Scholar]
- Brower, L. Monarch butterfly orientation: Missing pieces of a magnificent puzzle. J. Exp. Biol. 1996, 199, 93–103. [Google Scholar] [CrossRef] [PubMed]
- Knight, A.; Brower, L.P. The influence of eastern North American autumnal migrant monarch butterflies (Danaus plexippus L.) on continuously breeding resident monarch populations in southern Florida. J. Chem. Ecol. 2009, 35, 816–823. [Google Scholar] [CrossRef] [PubMed]
- Alonso-Mejia, A.; Rendon-Salinas, E.; Montesinos-Patino, E.; Brower, L.P. Use of lipid reserves by Monarch butterflies overwintering in Mexico: Implications for conservation. Ecol. Appl. 1997, 7, 934–947. [Google Scholar] [CrossRef]
- Kaufman, K.; Brock, J.P. Field Guide to Butterflies of North America; Houghton Mifflin Harcourt Publishing Company: New York, NY, USA, 2003. [Google Scholar]
- Venables, W.N.; Ripley, B.D. Modern Applied Statistics with S, 4th ed.; Springer: New York, NY, USA, 2002. [Google Scholar]
- Lenth, R. Emmeans: Estimated Mearginal Means, Aka Least-Squares Means, R package version 1.7.2.; Comprehensive R Archive Network; R Foundation for Statistical Computing: Vienna, Austria, 2022. [Google Scholar]
- Lukasz, K. Mblm: Median-Based Linear Models, R package version; R Foundation for Statistical Computing: Vienna, Austria, 2019. [Google Scholar]
- Wickham, H. The split-apply-combine strategy for data analysis. J. Stat. Softw. 2011, 40, 1–29. [Google Scholar] [CrossRef]
- Wickham, H.; Averick, M.; Bryan, J.; Chang, W.; McGowan, L.D.A.; François, R.; Grolemund, G.; Hayes, A.; Henry, L.; Hester, J.; et al. Welcome to the tidyverse. J. Open Source Softw. 2019, 4, 1686. [Google Scholar] [CrossRef]
- Tuthil, D. Personal communication, 2021.
- Channell, R.; Lomolino, M.V. Dynamic biogeography and conservation of endangered species. Nature 2000, 403, 84–86. [Google Scholar] [CrossRef]
- Pearson, R.G.; Raxworthy, C.J.; Nakamura, M.; Townsend Peterson, A. Predicting Species Distributions from Small Numbers of Occurrence Records: A Test Case Using Cryptic Geckos in Madagascar. J. Biogeogr. 2007, 34, 102–117. [Google Scholar] [CrossRef]
- McCullough, K.; Albanese, G.; Haukos, D.A.; Ricketts, A.M.; Stratton, S. Management regime and habitat response influence abundance of regal fritillary (Speyeria idalia) in tallgrass prairie. Ecosphere 2019, 10, e02845. [Google Scholar] [CrossRef]
- Christman, M.E.; Spears, L.R.; Strange, J.P.; Pearse, W.D.; Burchfield, E.K.; Ramirez, R.A. Land cover and climate drive shifts in Bombus assemblage composition. Agric. Ecosyst. Environ. 2022, 339, 108113. [Google Scholar] [CrossRef]
- Rhoades, P.R.; Koch, J.B.; Waits, L.P.; Strange, J.P.; Eigenbrode, S.D. Evidence for Bombus occidentalis (Hymenoptera: Apidae) populations in the Olympic Peninsula, the Palouse Prairie, and forests of northern Idaho. J. Insect Sci. 2016, 16, 20. [Google Scholar] [CrossRef]
- Thorp, R.; Jepsen, S.; Black, S.H. Status Review of Three Formerly Common Species of Bumble Bee in the Subgenus Bombus. Prepared for the Xerces Society of Invertebrate Conservation. 2008. Available online: https://xerces.org/sites/default/files/2019-10/xerces_2008_bombus_status_review_0.pdf (accessed on 5 November 2019).
- Cameron, S.A.; Lozier, J.D.; Strange, J.P.; Koch, J.B.; Cordes, N.; Solter, L.F.; Griswold, T.L. Patterns of widespread decline in North American bumble bees. Proc. Natl. Acad. Sci. USA 2011, 108, 662–667. [Google Scholar] [CrossRef] [PubMed]
- Colla, S.R.; Packer, L. Evidence for decline in eastern North American bumblebees (Hymenoptera: Apidae), with special focus on Bombus affinis Cresson. Biodivers. Conserv. 2008, 17, 1379–1391. [Google Scholar] [CrossRef]
- Tripodi, A.D.; Szalanski, A.L. The bumble bees (Hymenoptera: Apidae: Bombus) of Arkansas, fifty years later. J. Melittology 2015, 50, 1–17. [Google Scholar] [CrossRef]
- Sheffield, C.S.; Richardson, L.; Cannings, S.; Ngo, H.; Heron, J.; Williams, P.H. Biogeography and designatable units of Bombus occidentalis Greene and B. terricola Kirby (Hymenoptera: Apidae) with implications for conservation status assessments. J. Insect Conserv. 2016, 20, 189–199. [Google Scholar] [CrossRef]
- Geest, E.A.; Baum, K.A. Environmental Variables Influencing Five Speyeria (Lepidoptera: Nymphalidae) Species’ Potential Distributions of Suitable Habitat in the Eastern United States. Environ. Entomol. 2021, 50, 633–648. [Google Scholar] [CrossRef]
- Swartz, M.T.; Ferster, B.; Vulinec, K.; Paulson, G. Measuring regal fritillary butterfly (Speyeria idalia) habitat requirements in south-central Pennsylvania: Implications for the conservation of an imperiled butterfly. Northeast. Nat. 2015, 22, 812–829. [Google Scholar] [CrossRef]
- Marschalek, D.A.; Wolcott, D.M. Regal Fritillary (Argynnis idalia) Monitoring Techniques, Movement, and Habitat Use. Prairie Nat. 2024, 56, 10–26. [Google Scholar]
- Curtis, R.J.; Brereton, T.M.; Dennis, R.L.H.; Carbone, C.; Isaac, N.J.B.; Diamond, S. Butterfly abundance is determined by food availability and is mediated by species traits. J. Appl. Ecol. 2015, 52, 1676–1684. [Google Scholar] [CrossRef]
- iNaturalist. Available online: https://www.inaturalist.org/ (accessed on 19 October 2020).
- Hodkinson, I.D. Terrestrial insects along elevation gradients: Species and community responses to altitude. Biol. Rev. 2005, 80, 489–513. [Google Scholar] [CrossRef]
- Zalucki, M.P.; Lammers, J.H. Dispersal and egg shortfall in Monarch butterflies: What happens when the matrix is cleaned up? Ecol. Entomol. 2010, 35, 84–91. [Google Scholar] [CrossRef]
- Kasten, K.; Stenoien, C.; Caldwell, W.; Oberhauser, K.S. Can roadside habitat lead monarchs on a route to recovery? J. Insect Conserv. 2016, 20, 1047–1057. [Google Scholar] [CrossRef]
- Herbarium, R.M. RM Herbarium Specimen Database. Available online: https://rmh.uwyo.edu/data/search.php (accessed on 14 May 2020).
- Pocius, V.M.; Debinski, D.M.; Pleasants, J.M.; Bidne, K.G.; Hellmich, R.L.; Brower, L.P. Milkweed Matters: Monarch Butterfly (Lepidoptera: Nymphalidae) Survival and Development on Nine Midwestern Milkweed Species. Environ. Entomol. 2017, 46, 1098–1105. [Google Scholar] [CrossRef]
- Swengel, A.B.; Swengel, S.R. A ten-year study to monitor populations of the Regal Fritillary, Speyeria Idalia, (Lepidoptera: Nymphalidae) in Wisconsin, U.S.A. Great Lakes Entomol. 2001, 34, 97–115. [Google Scholar] [CrossRef]
- Leone, J.B.; Larson, D.L.; Larson, J.L.; Pennarola, N.; Oberhauser, K. Adult Monarch (Danaus plexippus) Abundance Is Higher in Burned Sites Than in Grazed Sites. Front. Ecol. Evol. 2019, 7, 435. [Google Scholar] [CrossRef]
- Schönbach, P.; Wan, H.; Gierus, M.; Bai, Y.; Müller, K.; Lin, L.; Susenbeth, A.; Taube, F. Grassland responses to grazing: Effects of grazing intensity and management system in an Inner Mongolian steppe ecosystem. Plant Soil 2011, 340, 103–115. [Google Scholar] [CrossRef]
- McGranahan, D.A.; Engle, D.M.; Wilsey, B.J.; Fuhlendorf, S.D.; Miller, J.R.; Debinski, D.M. Grazing and an invasive grass confound spatial pattern of exotic and native grassland plant species richness. Basic Appl. Ecol. 2012, 13, 654–662. [Google Scholar] [CrossRef]
- Bakker, C.; Blair, J.M.; Knapp, A.K. Does resource availability, resource heterogeneity or species turnover mediate changes in plant species richness in grazed grasslands? Oecologia 2003, 137, 385–391. [Google Scholar] [CrossRef]
- Olff, H.; Ritchie, M.E. Effects of herbivores on grassland plant diversity. Trends Ecol. Evol. 1998, 13, 261–265. [Google Scholar] [CrossRef]
- Stewart, G.B.; Pullin, A.S. The relative importance of grazing stock type and grazing intensity for conservation of mesotrophic ‘old meadow’ pasture. J. Nat. Conserv. 2008, 16, 175–185. [Google Scholar] [CrossRef]
- DeBano, S.J.; Roof, S.M.; Rowland, M.M.; Smith, L.A. Diet Overlap of Mammalian Herbivores and Native Bees: Implications for Managing Co-occurring Grazers and Pollinators. Nat. Areas J. 2016, 36, 458–477. [Google Scholar] [CrossRef]
- Tadey, M. Indirect effects of grazing intensity on pollinators and floral visitation. Ecol. Entomol. 2015, 40, 451. [Google Scholar] [CrossRef]
- Souther, S.; Loeser, M.; Crews, T.E.; Sisk, T. Complex response of vegetation to grazing suggests need for coordinated, landscape-level approaches to grazing management. Glob. Ecol. Conserv. 2019, 20, e00770. [Google Scholar] [CrossRef]
- Ries, L.; Debinski, D.M. Butterfly Responses to Habitat Edges in the Highly Fragmented Prairies of Central Iowa. J. Anim. Ecol. 2001, 70, 840–852. [Google Scholar] [CrossRef]
- Kurylo, J.S.; Threlfall, C.G.; Parris, K.M.; Ossola, A.; Williams, N.S.G.; Evans, K.L. Butterfly richness and abundance along a gradient of imperviousness and the importance of matrix quality. Ecol. Appl. 2020, 30, e02144. [Google Scholar] [CrossRef]
- Stahlheber, K.A.; D’Antonio, C.M. Using livestock to manage plant composition: A meta-analysis of grazing in California Mediterranean grasslands. Biol. Conserv. 2013, 157, 300–308. [Google Scholar] [CrossRef]
- Willmer, P.G.; Cunnold, H.; Ballantyne, G. Insights from measuring pollen deposition: Quantifying the pre-eminence of bees as flower visitors and effective pollinators. Arthropod-Plant Interact. 2017, 11, 411–425. [Google Scholar] [CrossRef]
- Brattström, O.; Kjellén, N.; Alerstam, T.; Åkesson, S. Effects of wind and weather on red admiral, Vanessa atalanta, migration at a coastal site in southern Sweden. Anim. Behav. 2008, 76, 335–344. [Google Scholar] [CrossRef]
- Cormont, A.; Malinowska, A.H.; Kostenko, O.; Radchuk, V.; Hemerik, L.; WallisDeVries, M.F.; Verboom, J. Effect of local weather on butterfly flight behaviour, movement, and colonization: Significance for dispersal under climate change. Biodivers. Conserv. 2010, 20, 483–503. [Google Scholar] [CrossRef]
- Delattre, T.; Baguette, M.; Burel, F.; Stevens, V.M.; Quénol, H.; Vernon, P. Interactive effects of landscape and weather on dispersal. Oikos 2013, 122, 1576–1585. [Google Scholar] [CrossRef]
- Owen, D.F.; Wiegert, R.G. A Southward Movement of the Painted Lady Butterfly in Wyoming. Southwest. Nat. 1985, 30, 158–159. [Google Scholar] [CrossRef]
- Debinski, D.M. Genetic diversity assessment in a metapopulation of the butterfly Euphydryas gillettii. Biol. Conserv. 1994, 70, 25–31. [Google Scholar] [CrossRef]
- Britten, H.B.; Brussard, P.F.; Murphy, D.D. The pending extinction of the uncompahgre Fritillary butterfly. Conserv. Biol. 1994, 8, 86–94. [Google Scholar] [CrossRef]
- Bowers, M.D.; Williams, E.H. Variable chemical defense in the checkerspot butterfly Euphydryas gillettii (Lepidoptera, Nymphalidae). Ecol. Entomol. 1995, 20, 208–212. [Google Scholar] [CrossRef]
- Auckland, J.N.; Debinski, D.M.; Clark, W.R. Survival, movement, and resource use of the butterfly Parnassius clodius. Ecol. Entomol. 2004, 29, 139–149. [Google Scholar] [CrossRef]
- DeChaine, E.G.; Martin, A.P. Historical biogeography of two alpine butterflies in the Rocky Mountains: Broad-scale concordance and local-scale discordance. J. Biogeogr. 2005, 32, 1943–1956. [Google Scholar] [CrossRef]
- McCoy, R.C.; Garud, N.R.; Kelley, J.L.; Boggs, C.L.; Petrov, D.A. Genomic inference accurately predicts the timing and severity of a recent bottleneck in a nonmodel insect population. Mol. Ecol. 2014, 23, 136–150. [Google Scholar] [CrossRef] [PubMed]
- Szcodronski, K.E.; Debinski, D.M.; Klaver, R.W. Occupancy modeling of Parnassius clodius butterfly populations in Grand Teton National Park, Wyoming. J. Insect Conserv. 2018, 22, 267–276. [Google Scholar] [CrossRef]
- Van Dyck, H.; Van Strien, A.J.; Maes, D.; Van Swaay, C.A.M. Declines in Common, Widespread Butterflies in a Landscape under Intense Human Use. Conserv. Biol. 2009, 23, 957–965. [Google Scholar] [CrossRef]
- Graves, T.A.; Janousek, W.M.; Gaulke, S.M.; Nicholas, A.C.; Keinath, D.A.; Bell, C.M.; Cannings, S.; Hatfield, R.G.; Heron, J.M.; Koch, J.B.; et al. Western bumble bee: Declines in the continental United States and range-wide information gaps. Ecosphere 2020, 11, e03141. [Google Scholar] [CrossRef]
- Wei, N.; Kaczorowski, R.L.; Arceo-Gómez, G.; O’Neill, E.M.; Hayes, R.A.; Ashman, T.-L. Pollinators contribute to the maintenance of flowering plant diversity. Nature 2021, 597, 688–692. [Google Scholar] [CrossRef]
- Flather, C.; Sieg, C. Species Rarity: Definition, Causes and Classification. In Conservation of Rare or Little-Known Species: Biological, Social and Economic Considerations; Raphael, M., Molina, R., Eds.; Island Press: Washington, DC, USA, 2007. [Google Scholar]
- Post van der Burg, M. Measuring butterfly persistence in the face of deep uncertainty: A case study using the regal fritillary. Front. Ecol. Evol. 2024, 12, 1482783. [Google Scholar] [CrossRef]
- Post van der Burg, M.; MacDonald, G.; Hefley, T.; Glassberg, J. Point-scale habitat and weather patterns influence the distribution of regal fritillaries in the central United States. EcoSphere 2023, 14, e4429. [Google Scholar] [CrossRef]
- Biesmeijer, J.C.; Roberts, S.P.; Reemer, M.; Ohlemüller, R.; Edwards, M.; Peeters, T.; Schaffers, A.P.; Potts, S.G.; Kleukers, R.; Thomas, C.D.; et al. Parallel declines in pollinators and insect-pollinated plants in Britain and the Netherlands. Science 2006, 313, 351–354. [Google Scholar] [CrossRef]
- Gibson, R.; Nelson, I.; Hopkins, G.; Hamlett, B.; Memmott, J. Pollinator webs, plant communities and the conservation of rare plants: Arable weeds as a case study. J. Appl. Ecol. 2006, 43, 246–257. [Google Scholar] [CrossRef]




| Characteristic | Sites Surveyed | Regal Fritillary | Monarch | |
|---|---|---|---|---|
| Mean | Range | |||
| Date range | 15 June–31 August | 5–27 August | 8 July–29 August | |
| Grass height (cm) | 28 | 8.9–68.1 | 8.9–39.4 | 21.6–32.8 |
| Shrub height (cm) | 22.5 | 4.5–96.5 | 0–30.5 | 0–52 |
| Bloom density (flowers/m2) | 27 | 0–216 | 0–150 | 0–172 |
| Bloom surface area (mm2/m2) | 527 | 13–1928 | ||
| % sites with grazing | 83 | -- | 75 | 68 |
Disclaimer/Publisher’s Note: The statements, opinions and data contained in all publications are solely those of the individual author(s) and contributor(s) and not of MDPI and/or the editor(s). MDPI and/or the editor(s) disclaim responsibility for any injury to people or property resulting from any ideas, methods, instructions or products referred to in the content. |
© 2025 by the authors. Licensee MDPI, Basel, Switzerland. This article is an open access article distributed under the terms and conditions of the Creative Commons Attribution (CC BY) license (https://creativecommons.org/licenses/by/4.0/).
Share and Cite
Tronstad, L.M.; Mazur, M.; Short, Z.; Bell, C. Filling in the Gaps: Working in Un-Surveyed Areas to Create Baseline Data, Habitat Use and Abundance Estimates for Butterflies in Eastern Wyoming, USA. Environments 2025, 12, 122. https://doi.org/10.3390/environments12040122
Tronstad LM, Mazur M, Short Z, Bell C. Filling in the Gaps: Working in Un-Surveyed Areas to Create Baseline Data, Habitat Use and Abundance Estimates for Butterflies in Eastern Wyoming, USA. Environments. 2025; 12(4):122. https://doi.org/10.3390/environments12040122
Chicago/Turabian StyleTronstad, Lusha M., Madison Mazur, Zoë Short, and Christine Bell. 2025. "Filling in the Gaps: Working in Un-Surveyed Areas to Create Baseline Data, Habitat Use and Abundance Estimates for Butterflies in Eastern Wyoming, USA" Environments 12, no. 4: 122. https://doi.org/10.3390/environments12040122
APA StyleTronstad, L. M., Mazur, M., Short, Z., & Bell, C. (2025). Filling in the Gaps: Working in Un-Surveyed Areas to Create Baseline Data, Habitat Use and Abundance Estimates for Butterflies in Eastern Wyoming, USA. Environments, 12(4), 122. https://doi.org/10.3390/environments12040122

