Seeding Density Alters the Assembly of a Restored Plant Community after the Removal of a Dam in Southern Wisconsin, USA
Abstract
1. Introduction
2. Materials and Methods
2.1. Soils Properties and Seed Bank
2.2. Plant Community Measurements
2.3. Community Composition and Structure
2.4. Soil Properties
2.5. Statistical Analysis
3. Results
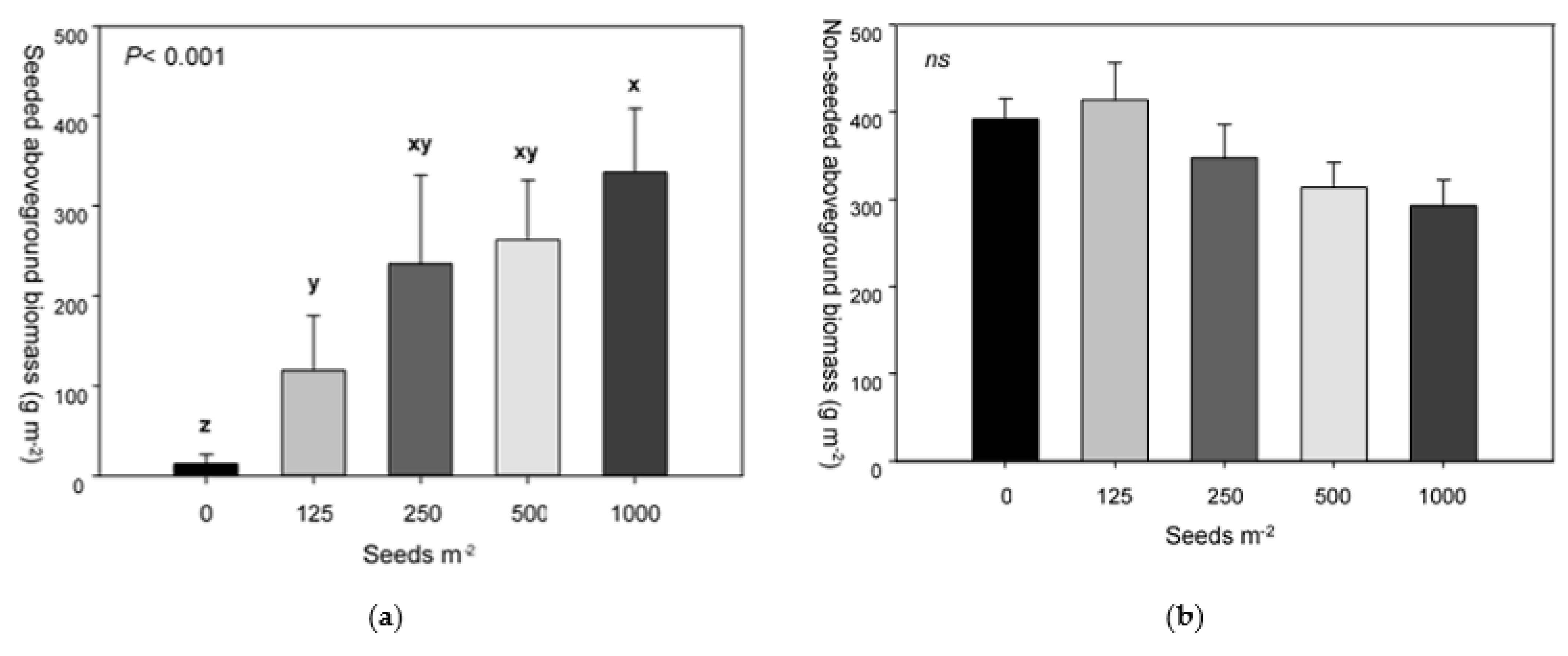
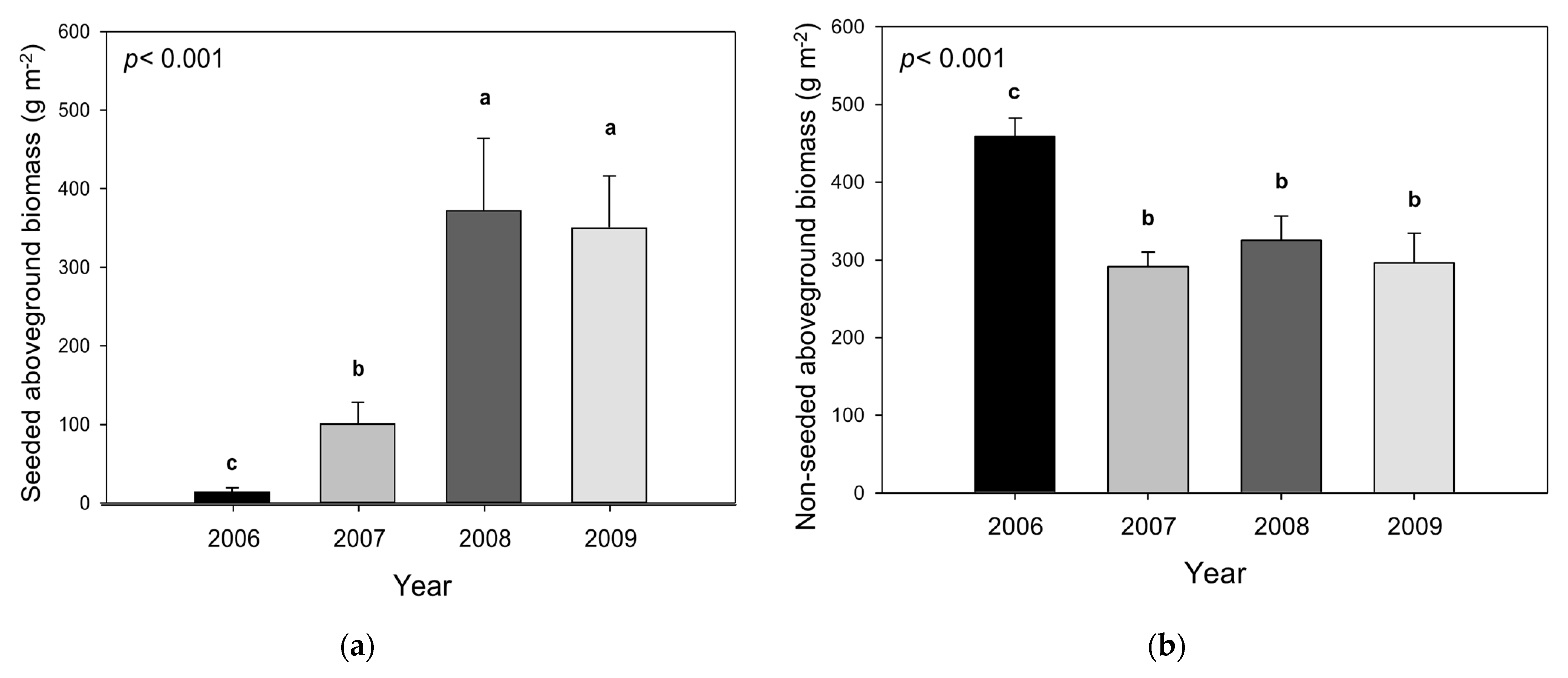
3.1. Aboveground Biomass
3.2. Community Composition
3.3. Diversity of Plant Communities
3.4. Soil Physiochemical Properties and Seeding Density Effects on Plant Composition
4. Discussion
4.1. Community Composition
4.2. Diversity and Productivity
4.3. Soil Conditions and Seeding Density Effects on Plant Community
5. Conclusions
Author Contributions
Funding
Data Availability Statement
Acknowledgments
Conflicts of Interest
References
- White, P.S. Natural Disturbance and Patch Dynamics: An Introduction; Academic Press: San Diego, CA, USA, 1985; pp. 3–13. [Google Scholar]
- Hobbs, R.J.; Arico, S.; Aronson, J.; Baron, J.S.; Bridgewater, P.; Cramer, V.A.; Epstein, P.R.; Ewel, J.J.; Klink, C.A.; Lugo, A.E.; et al. Novel ecosystems: Theoretical and management aspects of the new ecological world order. Glob. Ecol. Biogeogr. 2006, 15, 1–7. [Google Scholar] [CrossRef]
- Wells, A.J.; Balster, N.J.; VanWychen, S.; Harrington, J. Differences in belowground heterogeneity within a restoration of a dewatered reservoir in southwestern Wisconsin. Restor. Ecol. 2008, 16, 678–688. [Google Scholar] [CrossRef]
- Burke, M.J.; Grime, J.P. An experimental study of plant community invasibility. Ecology 1996, 77, 776–790. [Google Scholar] [CrossRef]
- Davis, M.A.; Grime, J.P.; Thompson, K. Fluctuating resources in plant communities: A general theory of invasibility. J. Ecol. 2000, 88, 528–534. [Google Scholar] [CrossRef]
- Hobbs, R.J.; Harris, J.A. Restoration ecology: Repairing the earth’s ecosystems in the new millennium. Restor. Ecol. 2001, 9, 239–246. [Google Scholar] [CrossRef]
- Heneghan, L.; Miller, S.P.; Baer, S.; Callaham Jr, M.A.; Montgomery, J.; Pavao-Zuckerman, M.; Rhoades, C.C.; Richardson, S. Integrating soil ecological knowledge into restoration management. Restor. Ecol. 2008, 16, 608–617. [Google Scholar] [CrossRef]
- Pickett, S.T.A.; Collins, S.L.; Armesto, J.J. Models, mechanisms and pathways of succession. Bot. Rev. 1987, 53, 335–371. [Google Scholar] [CrossRef]
- Suding, K.N.; Gross, K.L.; Houseman, G.R. Alternative states and positive feedbacks in restoration ecology. Trends Ecol. Evol. 2004, 19, 46–53. [Google Scholar] [CrossRef] [PubMed]
- D’antonio, C.M.; Dudley, T.I.; Mack, M. Disturbance and biological invasions: Direct effects and feedbacks. In Ecosystems of Disturbed Ground; Walker, L.R., Ed.; Elsevier: Amsterdam, The Netherlands, 1999; pp. 413–452. [Google Scholar]
- White, P.S.; Jentsch, A.N.K.E. Disturbance, succession, and community assembly in terrestrial plant communities. Assem. Rules Restor. Ecol. Bridg. Gap Theory Pract. 2004, 5, 342. [Google Scholar]
- Bednarek, A.T. Undamming rivers: A review of the ecological impacts of dam removal. Environ. Manag. 2001, 27, 803–814. [Google Scholar] [CrossRef]
- Ahearn, D.S.; Dahlgren, R.A. Sediment and nutrient dynamics following a low-head dam removal at Murphy Creek, California. Limnol. Oceanogr. 2005, 50, 1752–1762. [Google Scholar] [CrossRef]
- Stanley, E.H. Understanding Ecosystem Effects of Dams. In Fundamentals of Ecosystem Science; Academic Press: Cambridge, MA, USA, 2021; pp. 287–291. [Google Scholar] [CrossRef]
- Shafroth, P.B.; Friedman, J.M.; Auble, G.T.; Scott, M.L.; Braatne, J.H. Potential responses of riparian vegetation to dam removal: Dam removal generally causes changes to aspects of the physical environment that influence the establishment and growth of riparian vegetation. BioScience 2002, 52, 703–712. [Google Scholar] [CrossRef]
- Orr, C.H.; Stanley, E.H. Vegetation development and restoration potential of drained reservoirs following dam removal in Wisconsin. River Res. Appl. 2006, 22, 281–295. [Google Scholar] [CrossRef]
- Orr, C.H.; Koenig, S. Planting and vegetation recovery on exposed mud flats following two dam removals in Wisconsin. Ecol. Restor. 2006, 24, 79–86. [Google Scholar] [CrossRef]
- Bakker, J.P.; Berendse, F. Constraints in the restoration of ecological diversity in grassland and heathland communities. Trends Ecol. Evol. 1999, 14, 63–68. [Google Scholar] [CrossRef] [PubMed]
- Clark, C.J.; Poulsen, J.R.; Levey, D.J.; Osenberg, C.W. Are plant populations seed limited? A critique and meta-analysis of seed addition experiments. Am. Nat. 2007, 170, 128–142. [Google Scholar] [CrossRef] [PubMed]
- Hutchings, M.J.; Booth, K.D. Studies on the feasibility of re-creating chalk grassland vegetation on ex-arable. land I. The potential roles of the seed bank and the seed rain. J. Appl. Ecol. 1996, 33, 1171–1181. [Google Scholar] [CrossRef]
- Huston, M.; Smith, T. Plant succession: Life history and competition. Am. Nat. 1987, 130, 168–198. [Google Scholar] [CrossRef]
- Facelli, J.M.; Chesson, P.; Barnes, N. Differences in seed biology of annual plants in arid lands: A key ingredient of the storage effect. Ecology 2005, 86, 2998–3006. [Google Scholar] [CrossRef]
- Foster, B.L.; Gross, K.L. Partitioning the effects of plant biomass and litter on Andropogon gerardi in old-field vegetation. Ecology 1997, 78, 2091–2104. [Google Scholar] [CrossRef]
- Pywell, R.F.; Bullock, J.M.; Hopkins, A.; Walker, K.J.; Sparks, T.H.; Burke, M.J.; Peel, S. Restoration of species-rich grassland on arable land: Assessing the limiting processes using a multi-site experiment. J. Appl. Ecol. 2002, 39, 294–309. [Google Scholar] [CrossRef]
- Benson, E.J.; Hartnett, D.C. The role of seed and vegetative reproduction in plant recruitment and demography in tallgrass prairie. Plant Ecol. 2006, 187, 163–178. [Google Scholar] [CrossRef]
- Kirkman, L.K.; Sharitz, R.R. Vegetation Disturbance and Maintenance of Diversity in intermittently Flooded Carolina Bays in South Carolina. Ecol. Appl. 1994, 4, 177–188. [Google Scholar] [CrossRef]
- Tilman, D. Community invasibility, recruitment limitation, and grassland biodiversity. Ecology 1997, 78, 81–92. [Google Scholar] [CrossRef]
- Bossuyt, B.; Hermy, M. Influence of land use history on seed banks in European temperate forest ecosystems: A review. Ecography 2001, 24, 225–238. [Google Scholar] [CrossRef]
- Seabloom, E.W.; Borer, E.T.; Boucher, V.L.; Burton, R.S.; Cottingham, K.L.; Goldwasser, L.; Gram, W.K.; Kendall, B.E.; Micheli, F. Competition, seed limitation, disturbance, and reestablishment of California native annual forbs. Ecol. Appl. 2003, 13, 575–592. [Google Scholar] [CrossRef]
- DiVittorio, C.T.; Corbin, J.D.; D’Antonio, C.M. Spatial and temporal patterns of seed dispersal: An important determinant of grassland invasion. Ecol. Appl. 2007, 17, 311–316. [Google Scholar] [CrossRef] [PubMed]
- Turnbull, L.A.; Crawley, M.J.; Rees, M. Are plant populations seed-limited? A review of seed sowing experiments. Oikos 2000, 88, 225–238. [Google Scholar] [CrossRef]
- Van der Putten, W.H.; Mortimer, S.R.; Hedlund, K.; Van Dijk, C.; Brown, V.K.; Lepä, J.; Rodriguez-Barrueco, C.; Roy, J.; Diaz Len, T.A.; Gormsen, D.; et al. Plant species diversity as a driver of early succession in abandoned fields: A multi-site approach. Oecologia 2000, 124, 91–99. [Google Scholar] [CrossRef]
- Jelinski, N.A.; Kucharik, C.J.; Zedler, J.B. A test of diversity–productivity models in natural, degraded, and restored wet prairies. Restor. Ecol. 2011, 19, 186–193. [Google Scholar] [CrossRef]
- Palmer, M.A.; Ambrose, R.F.; Poff, N.L. Ecological theory and community restoration ecology. Restor. Ecol. 1997, 5, 291–300. [Google Scholar] [CrossRef]
- Seastedt, T.R.; Hobbs, R.J.; Suding, K.N. Management of novel ecosystems: Are novel approaches required? Front. Ecol. Environ. 2008, 6, 547–553. [Google Scholar] [CrossRef]
- Barr, S.; Jonas, J.L.; Paschke, M.W. Optimizing seed mixture diversity and seeding rates for grassland restoration. Restor. Ecol. 2017, 25, 396–404. [Google Scholar] [CrossRef]
- Dickson, T.L.; Busby, W.H. Forb species establishment increases with decreased grass seeding density and with increased forb seeding density in a Northeast Kansas, USA, experimental prairie restoration. Restor. Ecol. 2009, 17, 597–605. [Google Scholar] [CrossRef]
- Jaksetic, N.; Foster, B.L.; Bever, J.D.; Schwarting, J.; Alexander, H.M. Sowing density effects and patterns of colonization in a prairie restoration. Restor. Ecol. 2018, 26, 245–254. [Google Scholar] [CrossRef]
- Chenoweth, J.; Bakker, J.D.; Acker, S.A. Planting, seeding, and sediment impact restoration success following dam removal. Restor. Ecol. 2022, 30, e13506. [Google Scholar] [CrossRef]
- Doyle, M.W.; Stanley, E.H.; Havlick, D.G.; Kaiser, M.J.; Steinbach, G.; Graf, W.L.; Galloway, G.E.; Riggsbee, J.A. Aging infrastructure and ecosystem restoration. Science 2008, 319, 286–287. [Google Scholar] [CrossRef] [PubMed]
- Kercher, S.M.; Zedler, J.B. Multiple disturbances accelerate invasion of reed canary grass (Phalaris arundinacea L.) in a mesocosm study. Oecologia 2004, 138, 455–464. [Google Scholar] [CrossRef] [PubMed]
- Zedler, P.H.; Herrick, B.M. Catastrophic flooding effects on a Wisconsin wet prairie remnant: A shift in the disturbance regime? PLoS ONE 2023, 18, e0294359. [Google Scholar] [CrossRef]
- Soil Survey Staff. Natural Resources Conservation Service, United States Department of Agriculture. Web Soil Survey. 2023. Available online: http://websoilsurvey.nrcs.usda.gov/ (accessed on 20 December 2023).
- Hole, F.D. Soils of Wisconsin (No. 87); University of Wisconsin Press: Madison, WI, USA, 1976. [Google Scholar]
- Curtis, J.T. The Vegetation of Wisconsin: An Ordination of Plant Communities; University of Wisconsin Press: Madison, WI, USA, 1959. [Google Scholar]
- Gleason, H.A.; Cronquist, A. Manual of Vascular Plants of Northeastern United States and Adjacent Canada (No. 581.973 G54); Van Nostrand: Princeton, NJ, USA, 1963. [Google Scholar]
- Whittaker, R.H. Evolution and measurement of species diversity. Taxon 1972, 21, 213–251. [Google Scholar] [CrossRef]
- Guo, Q.; Rundel, P.W. Measuring dominance and diversity in ecological communities: Choosing the right variables. J. Veg. Sci. 1997, 8, 405–408. [Google Scholar] [CrossRef]
- Magurran, A.E. Ecological Diversity and Its Measurement; Springer Science & Business Media: Berlin/Heidelberg, Germany, 2013. [Google Scholar]
- Wilsey, B.J.; Wayne Polley, H. Aboveground productivity and root–shoot allocation differ between native and introduced grass species. Oecologia 2006, 150, 300–309. [Google Scholar] [CrossRef] [PubMed]
- Naeem, S.; Thompson, L.J.; Lawler, S.P.; Lawton, J.H.; Woodfin, R.M. Declining biodiversity can alter the performance of ecosystems. Nature 1994, 368, 734–737. [Google Scholar] [CrossRef]
- Tilman, D.; Wedin, D.; Knops, J. Productivity and sustainability influenced by biodiversity in grassland ecosystems. Nature 1996, 379, 718–720. [Google Scholar] [CrossRef]
- Hector, A.; Schmid, B.; Beierkuhnlein, C.; Caldeira, M.C.; Diemer, M.; Dimitrakopoulos, P.G.; Finn, J.A.; Freitas, H.; Giller, P.S.; Good, J.; et al. Plant diversity and productivity experiments in European grasslands. Science 1999, 286, 1123–1127. [Google Scholar] [CrossRef] [PubMed]
- Loreau, M.; Naeem, S.; Inchausti, P.; Bengtsson, J.; Grime, J.P.; Hector, A.; Hooper, D.U.; Huston, M.A.; Raffaelli, D.; Schmid, B.; et al. Biodiversity and ecosystem functioning: Current knowledge and future challenges. Science 2001, 294, 804–808. [Google Scholar] [CrossRef] [PubMed]
- Tabachnick, B.G.; Fidell, L.S. Principal components and factor analysis. In Using Multivariate Statistics; Tabachnick, B., Fidell, L., Eds.; Harper & Row: New York, NY, USA, 1989. [Google Scholar]
- ter Braak, C.J. Canonical correspondence analysis: A new eigenvector technique for multivariate direct gradient analysis. Ecology 1986, 67, 1167–1179. [Google Scholar] [CrossRef]
- Oksanen, J.; Blanchet, F.G.; Kindt, R.; Legendre, P.; Minchin, P.R.; O’Hara, B.; Simpson, G.L.; Solymos, P.; Henry, M.; Stevens, H.; et al. vegan: Community Ecology Package. R Package Version 2.0-10. 2013. Available online: http://CRAN.R-project.org/package=vegan (accessed on 24 December 2010).
- Paine, R.T.; Gould, C.E. Controlled manipulations in the marine intertidal zone and their contributions to ecological theory. Proc. Acad. Nat. Sci. USA 1977, 12, 245–270. [Google Scholar]
- Young, T.P.; Chase, J.M.; Huddleston, R.T. Community succession and assembly: Comparing, contrasting and combining paradigms in the context of ecological restoration. Ecol. Restor. 2001, 19, 5–18. [Google Scholar] [CrossRef]
- D’Antonio, C.M.; Hughes, R.F.; Vitousek, P.M. Factors influencing dynamics of two invasive C4 grasses in seasonally dry Hawaiian woodlands. Ecology 2001, 82, 89–104. [Google Scholar] [CrossRef]
- Corbin, J.D.; D’Antonio, C.M. Competition between native perennial and exotic annual grasses: Implications for an historical invasion. Ecology 2004, 85, 1273–1283. [Google Scholar] [CrossRef]
- Carter, D.L.; Blair, J.M. High richness and dense seeding enhance grassland restoration establishment but have little effect on drought response. Ecol. Appl. 2012, 22, 1308–1319. [Google Scholar] [CrossRef] [PubMed]
- Nemec, K.T.; Allen, C.R.; Helzer, C.J.; Wedin, D.A. Influence of richness and seeding density on invasion resistance in experimental tallgrass prairie restorations. Ecol. Restor. 2013, 31, 168–185. [Google Scholar] [CrossRef]
- Gleeson, S.K.; Tilman, D. Allocation and the transient dynamics of succession on poor soils. Ecology 1990, 71, 1144–1155. [Google Scholar] [CrossRef]
- Rice, C.W.; Todd, T.C.; Blair, J.M.; Seastedt, T.R.; Ramundo, R.A.; Wilson, G.W.T. Belowground Biology and Processes. Grassland Dynamics: Long-Term Ecological Research in Tallgrass Prairie; Oxford University Press: New York, NY, USA, 1998; pp. 244–264. [Google Scholar]
- Belyea, L.R.; Lancaster, J. Assembly rules within a contingent ecology. Oikos 1999, 86, 402–416. [Google Scholar] [CrossRef]
- DAntonio, C.; Levine, J.; Thomsen, M. Ecosystem resistance to invasion and the role of propagule supply: A California perspective. J. Mediterr. Ecol. 2001, 2, 233–246. [Google Scholar]
- Simberloff, D. The role of propagule pressure in biological invasions. Annu. Rev. Ecol. Evol. Syst. 2009, 40, 81–102. [Google Scholar] [CrossRef]
- Foster, B.L.; Tilman, D. Seed limitation and the regulation of community structure in oak savanna grassland. J. Ecol. 2003, 91, 999–1007. [Google Scholar] [CrossRef]
- Lockwood, J.L.; Cassey, P.; Blackburn, T. The role of propagule pressure in explaining species invasions. Trends Ecol. Evol. 2005, 20, 223–228. [Google Scholar] [CrossRef]
- Holle, B.V.; Simberloff, D. Ecological resistance to biological invasion overwhelmed by propagule pressure. Ecology 2005, 86, 3212–3218. [Google Scholar] [CrossRef]
- Cassey, P.; Blackburn, T.M.; Duncan, R.P.; Lockwood, J.L. Lessons from introductions of exotic species as a possible information source for managing translocations of birds. Wildl. Res. 2008, 35, 193–201. [Google Scholar] [CrossRef]
- Adams, C.R.; Galatowitsch, S.M. Increasing the effectiveness of reed canary grass (Phalaris arundinacea L.) control in wet meadow restorations. Restor. Ecol. 2006, 14, 441–451. [Google Scholar] [CrossRef]
- Seabloom, E.W.; Harpole, W.S.; Reichman, O.J.; Tilman, D. Invasion, competitive dominance, and resource use by exotic and native California grassland species. Proc. Natl. Acad. Sci. USA 2003, 100, 13384–13389. [Google Scholar] [CrossRef] [PubMed]
- Kindscher, K.; Tieszen, L.L. Floristic and soil organic matter changes after five and thirty-five years of native tallgrass prairie restoration. Restor. Ecol. 1998, 6, 181–196. [Google Scholar] [CrossRef]
- Seabloom, E.W.; van der Valk, A.G. Plant diversity, composition, and invasion of restored and natural prairie pothole wetlands: Implications for restoration. Wetlands 2003, 23, 1–12. [Google Scholar] [CrossRef]
- Zobel, M.; Otsus, M.; Liira, J.; Moora, M.; Möls, T. Is small-scale species richness limited by seed availability or microsite availability? Ecology 2000, 81, 3274–3282. [Google Scholar] [CrossRef]
- Ejrnæs, R.; Bruun, H.H.; Graae, B.J. Community assembly in experimental grasslands: Suitable environment or timely arrival? Ecology 2006, 87, 1225–1233. [Google Scholar] [CrossRef] [PubMed][Green Version]
- Fargione, J.; Brown, C.S.; Tilman, D. Community assembly and invasion: An experimental test of neutral versus niche processes. Proc. Natl. Acad. Sci. USA 2003, 100, 8916–8920. [Google Scholar] [CrossRef]
- Levine, J.M.; D’Antonio, C.M. Elton revisited: A review of evidence linking diversity and invasibility. Oikos 1999, 87, 15–26. [Google Scholar] [CrossRef]
- Balvanera, P.; Pfisterer, A.B.; Buchmann, N.; He, J.S.; Nakashizuka, T.; Raffaelli, D.; Schmid, B. Quantifying the evidence for biodiversity effects on ecosystem functioning and services. Ecol. Lett. 2006, 9, 1146–1156. [Google Scholar] [CrossRef]
- Cardinale, B.J.; Matulich, K.L.; Hooper, D.U.; Byrnes, J.E.; Duffy, E.; Gamfeldt, L.; Balvanera, P.; O’connor, M.I.; Gonzalez, A. The functional role of producer diversity in ecosystems. Am. J. Bot. 2011, 98, 572–592. [Google Scholar] [CrossRef] [PubMed]
- Tilman, D.; Isbell, F.; Cowles, J.M. Biodiversity and ecosystem functioning. Annu. Rev. Ecol. Evol. Syst. 2014, 45, 471–493. [Google Scholar] [CrossRef]
- Tilman, D.; Knops, J.; Wedin, D.; Reich, P.; Ritchie, M.; Siemann, E. The influence of functional diversity and composition on ecosystem processes. Science 1997, 277, 1300–1302. [Google Scholar] [CrossRef]
- Hooper, D.U.; Vitousek, P.M. The effects of plant composition and diversity on ecosystem processes. Science 1997, 277, 1302–1305. [Google Scholar] [CrossRef]
- Worm, B.; Barbier, E.B.; Beaumont, N.; Duffy, J.E.; Folke, C.; Halpern, B.S.; Jackson, J.B.; Lotze, H.K.; Micheli, F.; Palumbi, S.R.; et al. Impacts of biodiversity loss on ocean ecosystem services. Science 2006, 314, 787–790. [Google Scholar] [CrossRef] [PubMed]
- Evers, C.R.; Wardropper, C.B.; Branoff, B.; Granek, E.F.; Hirsch, S.L.; Link, T.E.; Olivero-Lora, S.; Wilson, C. The ecosystem services and biodiversity of novel ecosystems: A literature review. Glob. Ecol. Conserv. 2018, 13, e00362. [Google Scholar] [CrossRef]
- Cardinale, B.J.; Wright, J.P.; Cadotte, M.W.; Carroll, I.T.; Hector, A.; Srivastava, D.S.; Loreau, M.; Weis, J.J. Impacts of plant diversity on biomass production increase through time because of species complementarity. Proc. Natl. Acad. Sci. USA 2007, 104, 18123–18128. [Google Scholar] [CrossRef] [PubMed]
- Huston, M.A. Hidden treatments in ecological experiments: Re-evaluating the ecosystem function of biodiversity. Oecologia 1997, 110, 449–460. [Google Scholar] [CrossRef] [PubMed]
- Naeem, S. Biodiversity as a goal and driver of restoration. In Foundations of Restoration Ecology; Island Press: Washington, DC, USA, 2016; pp. 57–89. [Google Scholar] [CrossRef]
- Walker, B.H. Biodiversity and ecological redundancy. Conserv. Biol. 1992, 6, 18–23. [Google Scholar] [CrossRef]
- Hutchings, M.J.; John, E.A.; Wijesinghe, D.K. Toward understanding the consequences of soil heterogeneity for plant populations and communities. Ecology 2003, 84, 2322–2334. [Google Scholar] [CrossRef]
- Tilman, D. Species richness of experimental productivity gradients: How important is colonization limitation? Ecology 1993, 74, 2179–2191. [Google Scholar] [CrossRef]
- Inouye, R.S.; Tilman, D. Convergence and divergence of old-field vegetation after 11 yr of nitrogen addition. Ecology 1995, 76, 1872–1887. [Google Scholar] [CrossRef]
- Tilman, D. Secondary succession and the pattern of plant dominance along experimental nitrogen gradients. Ecol. Monogr. 1987, 57, 189–214. [Google Scholar] [CrossRef]
- Carson, W.P.; Barrett, G.W. Succession in old-field plant communities: Effects of contrasting types of nutrient enrichment. Ecology 1988, 69, 984–994. [Google Scholar] [CrossRef]
- Redente, E.F.; Friedlander, J.E.; McLendon, T. Response of early and late semiarid seral species to nitrogen and phosphorus gradients. Plant Soil 1992, 140, 127–135. [Google Scholar] [CrossRef]
- Turkington, R.; Kenkel, N.C.; Franko, G.D. THE BIOLOGY OF CANADIAN WEEDS: 42. Stellaria media (L.) Vill. Can. J. Plant Sci. 1980, 60, 981–992. [Google Scholar] [CrossRef]
- Van Delden, A.; Lotz, L.A.P.; Bastiaans, L.; Franke, A.C.; Smid, H.G.; Groeneveld, R.M.W.; Kropff, M.J. The influence of nitrogen supply on the ability of wheat and potato to suppress Stellaria media growth and reproduction. Weed Res. 2002, 42, 429–445. [Google Scholar] [CrossRef]
- Maurer, D.A.; Zedler, J.B. Differential invasion of a wetland grass explained by tests of nutrients and light availability on establishment and clonal growth. Oecologia 2002, 131, 279–288. [Google Scholar] [CrossRef]
- Werner, K.J.; Zedler, J.B. How sedge meadow soils, microtopography, and vegetation respond to sedimentation. Wetlands 2002, 22, 451–466. [Google Scholar] [CrossRef]
- Kercher, S.M.; Herr-Turoff, A.; Zedler, J.B. Understanding invasion as a process: The case of Phalaris arundinacea in wet prairies. Biol. Invasions 2007, 9, 657–665. [Google Scholar] [CrossRef]
- Matamala, R.; Jastrow, J.D.; Miller, R.M.; Garten, C.T. Temporal changes in C and N stocks of restored prairie: Implications for C sequestration strategies. Ecol. Appl. 2008, 18, 1470–1488. [Google Scholar] [CrossRef] [PubMed]
- Lindig-Cisneros, R.; Zedler, J.B. Phalaris arundinacea seedling establishment: Effects of canopy complexity in fen, mesocosm, and restoration experiments. Can. J. Bot. 2002, 80, 617–624. [Google Scholar] [CrossRef]
- Green, E.K.; Galatowitsch, S.M. Effects of Phalaris arundinacea and nitrate-N addition on the establishment of wetland plant communities. J. Appl. Ecol. 2002, 39, 134–144. [Google Scholar] [CrossRef]
- Wilcox, J.C.; Healy, M.T.; Zedler, J.B. Restoring native vegetation to an urban wet meadow dominated by reed canarygrass (Phalaris arundinacea L.) in Wisconsin. Nat. Areas J. 2007, 27, 354–365. [Google Scholar] [CrossRef]
- Meli, P.; Isernhagen, I.; Brancalion, P.H.; Isernhagen, E.C.; Behling, M.; Rodrigues, R.R. Optimizing seeding density of fast-growing native trees for restoring the Brazilian Atlantic Forest. Restor. Ecol. 2018, 26, 212–219. [Google Scholar] [CrossRef]
- Wilson, S.D. Managing contingency in semiarid grassland restoration through repeated planting. Restor. Ecol. 2015, 23, 385–392. [Google Scholar] [CrossRef]
- Wilkerson, M.L.; Ward, K.L.; Williams, N.M.; Ullmann, K.S.; Young, T.P. Diminishing returns from higher density restoration seedings suggest trade-offs in pollinator seed mixes. Restor. Ecol. 2014, 22, 782–789. [Google Scholar] [CrossRef]
- Jackson, S.T.; Hobbs, R.J. Ecological restoration in the light of ecological history. Science 2009, 325, 567–569. [Google Scholar] [CrossRef]
- Benayas, J.M.R.; Newton, A.C.; Diaz, A.; Bullock, J.M. Enhancement of biodiversity and ecosystem services by ecological restoration: A meta-analysis. Science 2009, 325, 1121–1124. [Google Scholar] [CrossRef]












| Property | Mean | SD | CV | r2 | p-Value | 
|---|---|---|---|---|---|
| Soil physical properties a | |||||
| Bulk density (g cm−3) | 1.01 | 0.01 | 0.10 | 0.81 | <0.001 | 
| Sand, (%) | 2.83 | 1.94 | 0.68 | 0.57 | <0.001 | 
| Silt, (%) | 79.30 | 7.04 | 0.09 | 0.51 | <0.001 | 
| Clay, (%) | 17.87 | 7.59 | 0.42 | 0.74 | <0.001 | 
| Soil chemical properties | |||||
| pH | 7.93 | 0.11 | 0.01 | 0.35 | =0.060 | 
| Total soil carbon (kg m−2) | 5.22 | 0.62 | 0.12 | --- | --- | 
| Total soil nitrogen (kg m−2) | 0.31 | 0.04 | 0.12 | 0.27 | <0.010 | 
| NH4-N (g m−2) | 1.73 | 0.18 | 0.10 | --- | --- | 
| NO3-N (g m−2) | 4.13 | 1.67 | 0.40 | 0.26 | <0.010 | 
| Soil phosphorus (kg m−2) | 0.09 | 0.01 | 0.11 | 0.56 | <0.010 | 
| Bray P (g m−2) | 0.58 | 0.27 | 0.46 | 0.57 | <0.001 | 
| Soil potassium (kg m−2) | 0.46 | 0.04 | 0.08 | --- | --- | 
| Bray K (g m−2) | 12.61 | 3.08 | 0.24 | --- | --- | 
| Calcium (kg m−2) | 6.97 | 1.22 | 0.18 | --- | --- | 
| Scientific Name | Common Name | Percent of Seed Mix | |
|---|---|---|---|
| Grasses | 40.0 | ||
| Andropogon gerardii | Big bluestem | 5.0 | |
| Bromus kalmii | Prairie brome | 10.0 | |
| Calamagrostis canadensis | Canada blue joint | 5.0 | |
| Carex bicknelli | Bicknell’s sedge | 5.0 | |
| Carex vulpinoidea | Fox sedge | 15.0 | |
| Elymus canadensis | Canada wild rye | 15.0 | |
| Elymus villosus | Silky wild rye | 10.0 | |
| Panicum virgatum | Switchgrass | 5.0 | |
| Schizachyium scoparium | Little bluestem | 10.0 | |
| Spartina pectinata | Prairie cord grass | 5.0 | |
| Sporobolus heterolepsis | Prairie dropseed | 10.0 | |
| Sorghastrum nutans | Indian grass | 5.0 | |
| Forbs | 60.0 | ||
| Allium cernuum | Nodding wild onion | 3.0 | |
| Amorpha canescens | Lead plant | 3.5 | |
| Asclepias incarnata | Swamp milkweed | 3.0 | |
| Asclepias tuberosa | Butterfly milkweed | 3.5 | |
| Aster laevis | Smooth blue aster | 3.5 | |
| Aster novae-angliae | New England aster | 3.0 | |
| Baptisia leucantha | Wild white indigo | 1.5 | |
| Cacalia suaveolens | Sweet Indian plantain | 2.0 | |
| Coreopsis palmata | Prairie coreopsis | 4.0 | |
| Desmodium canadense | Canada tick-trefoil | 3.5 | |
| Dodecatheon meadii | Shooting star | 1.5 | |
| Eryngium yuccifolium | Rattlesnake master | 3.5 | |
| Eupatorium perfoliatum | Boneset | 3.5 | |
| Gentiana andrewsii | Bottle gentian | 2.0 | |
| Heliopsis helianthoides | Early sunflower | 5.5 | |
| Heuchera richardsonii | Alumroot | 2.0 | |
| Lespedeza capitata | Round-headed bushclover | 3.5 | |
| Liatris aspera | Rough blazing star | 5.0 | |
| Liatris pycnostachya | Prairie blazing star | 2.0 | |
| Monarda fistulosa | Wild bergamot | 5.5 | |
| Petalostemum purpurea | Purple prairie clover | 3.5 | |
| Ratibida pinnata | Yellow coneflower | 2.0 | |
| Rudbeckia subtomentosa | Sweet black-eyed Susan | 5.5 | |
| Silphium laciniatum | Compass plant | 3.5 | |
| Silphium terebinthinaceum | Prairie dock | 1.5 | |
| Solidago rigida | Stiff goldenrod | 5.5 | |
| Tradescantia ohiensis | Spiderwort | 5.5 | |
| Verbena hastata | Blue vervain | 2.0 | |
| Veronicastrum virginicum | Culver’s root | 1.0 | |
| Zizia aurea | Golden Alexander | 5.5 | 
| 2007 | 2009 | ||||
|---|---|---|---|---|---|
| Species | Type | Eigenvector 1 | Species | Type | Eigenvector 1 | 
| Chenopodium album | I a | −0.1089 b | Heliopsis helianthoides | N | −0.2114 | 
| Conyza canadensis | I | −0.0958 | Rudbeckia subtomentosa | N | −0.2070 | 
| Polygonum persicaria | I | −0.0940 | Monarda fistulosa | N | −0.1803 | 
| Oxalis corniculata | I | −0.0934 | Asclepias incarnata | N | −0.1632 | 
| Taraxacum officinale | I | −0.0869 | Carex vulpinoidea | N | −0.1622 | 
| Cirsium arvense | I | −0.0742 | Zizia aurea | N | −0.1619 | 
| Stellaria media | I | −0.0699 | Polygonum persicaria | I | −0.1467 | 
| Hackelia virginiana | I | −0.0686 | Elymus canadensis | N | −0.1358 | 
| Lactuca serriola | I | −0.0667 | Eupatorium perfoliatum | N | −0.1318 | 
| Andropogon gerardii | N | −0.0658 | Ambrosia trifida | I | −0.1159 | 
| Phalaris arundinacea | I | −0.0647 | Digitaria spp. | I | −0.1067 | 
| Aster spp. | I | −0.0600 | Solidago canadensis | I | −0.1060 | 
| Urtica dioica | I | −0.0506 | Arctium spp. | I | −0.0765 | 
| Solidago canadensis | I | −0.0441 | Desmodium canadense | N | −0.0741 | 
| Arctium spp. | I | −0.0363 | Impatiens capensis | I | −0.0599 | 
| Panicum spp. | I | −0.0341 | Panicum spp. | I | −0.0594 | 
| Solidago rigida | N | −0.0311 | Polygonum coccineum | I | −0.0573 | 
| Schizachyium scoparium | N | −0.0297 | Urtica dioica | I | −0.0548 | 
| Chenopodium sp. | I | −0.0272 | Sonchus oleraceus | I | −0.0544 | 
| Lolium multiflorum | I | −0.0164 | Tradescantia ohiensis | N | −0.0536 | 
| Polygonum arenastrum | I | −0.0157 | Phalaris arundinacea | I | −0.0493 | 
| Oenothera biennis | N | −0.0083 | Lolium multiflorum | I | −0.0489 | 
| Trifolium pratense | I | 0.0294 | Stellaria media | I | −0.0355 | 
| Erigeron annuus | I | 0.0346 | Alliaria petiolata | I | −0.0258 | 
| Cirsium spp. | I | 0.0377 | Potentilla simplex | I | −0.0103 | 
| Asclepias incarnata | N | 0.0541 | Medicago lupulina | I | −0.0082 | 
| Desmodium canadense | N | 0.0591 | Ratibida pinnata | N | −0.0061 | 
| Rudbeckia subtomentosa | N | 0.0830 | Ambrosia spp. | I | 0.0302 | 
| Asclepias tuberosa | N | 0.0888 | Aster spp. | I | 0.0705 | 
| Aster novae-angliae | N | 0.0918 | Taraxacum officinale | I | 0.0919 | 
| Melilotus alba | I | 0.0922 | Lactuca serriola | I | 0.1583 | 
| Epilobium coloratum | I | 0.0973 | Epilobium coloratum | I | 0.1654 | 
| Setaria spp. | I | 0.1142 | Medicago sativa | I | 0.1713 | 
| Elymus canadensis | N | 0.1258 | Verbena hastata | N | 0.1713 | 
| Heliopsis helianthoides | N | 0.1556 | Chenopodium album | I | 0.1778 | 
| Monarda fistulosa | N | 0.1733 | Chenopodium spp. | I | 0.1832 | 
| Ratibida pinnata | N | 0.1848 | Erigeron annuus | I | 0.2043 | 
| Geum canadensis | I | 0.2222 | Cirsium spp. | I | 0.2081 | 
| Amaranthus retroflexus L. | I | 0.2417 | Geum canadensis | I | 0.2113 | 
| Bromus spp. | I | 0.2590 | Rosa multiflora | I | 0.2114 | 
| Petalostemum purpurea | N | 0.2624 | Hackelia virginiana | I | 0.2121 | 
| Potentilla simplex | I | 0.2974 | Cirsium arvense | I | 0.2830 | 
| Digitaria spp. | I | 0.3008 | Conyza canadensis | I | 0.2896 | 
| Eupatorium perfoliatum | N | 0.3064 | Aster novae-angliae | N | 0.3097 | 
| Silphium laciniatum | N | 0.3254 | |||
| Zizia aurea | N | 0.3482 | |||
| Disclaimer/Publisher’s Note: The statements, opinions and data contained in all publications are solely those of the individual author(s) and contributor(s) and not of MDPI and/or the editor(s). MDPI and/or the editor(s) disclaim responsibility for any injury to people or property resulting from any ideas, methods, instructions or products referred to in the content. | 
© 2024 by the authors. Licensee MDPI, Basel, Switzerland. This article is an open access article distributed under the terms and conditions of the Creative Commons Attribution (CC BY) license (https://creativecommons.org/licenses/by/4.0/).
Share and Cite
Wells, A.J.; Harrington, J.; Balster, N.J. Seeding Density Alters the Assembly of a Restored Plant Community after the Removal of a Dam in Southern Wisconsin, USA. Environments 2024, 11, 115. https://doi.org/10.3390/environments11060115
Wells AJ, Harrington J, Balster NJ. Seeding Density Alters the Assembly of a Restored Plant Community after the Removal of a Dam in Southern Wisconsin, USA. Environments. 2024; 11(6):115. https://doi.org/10.3390/environments11060115
Chicago/Turabian StyleWells, Ana J., John Harrington, and Nick J. Balster. 2024. "Seeding Density Alters the Assembly of a Restored Plant Community after the Removal of a Dam in Southern Wisconsin, USA" Environments 11, no. 6: 115. https://doi.org/10.3390/environments11060115
APA StyleWells, A. J., Harrington, J., & Balster, N. J. (2024). Seeding Density Alters the Assembly of a Restored Plant Community after the Removal of a Dam in Southern Wisconsin, USA. Environments, 11(6), 115. https://doi.org/10.3390/environments11060115
 
        


 
       