Secondary Analysis of a Brief Parent-Implemented NDBI on Activity-Engaged Triadic Interactions Within Mother–Child Dyads
Abstract
1. Introduction
1.1. Early Language Interventions for Young Children with Autism and Developmental Delays
1.2. Current Study
2. Methods
2.1. Participants and Setting
2.2. Independent and Dependent Variables
2.3. Procedures
2.3.1. Baseline
2.3.2. Intervention
2.4. Data Collection and Analysis
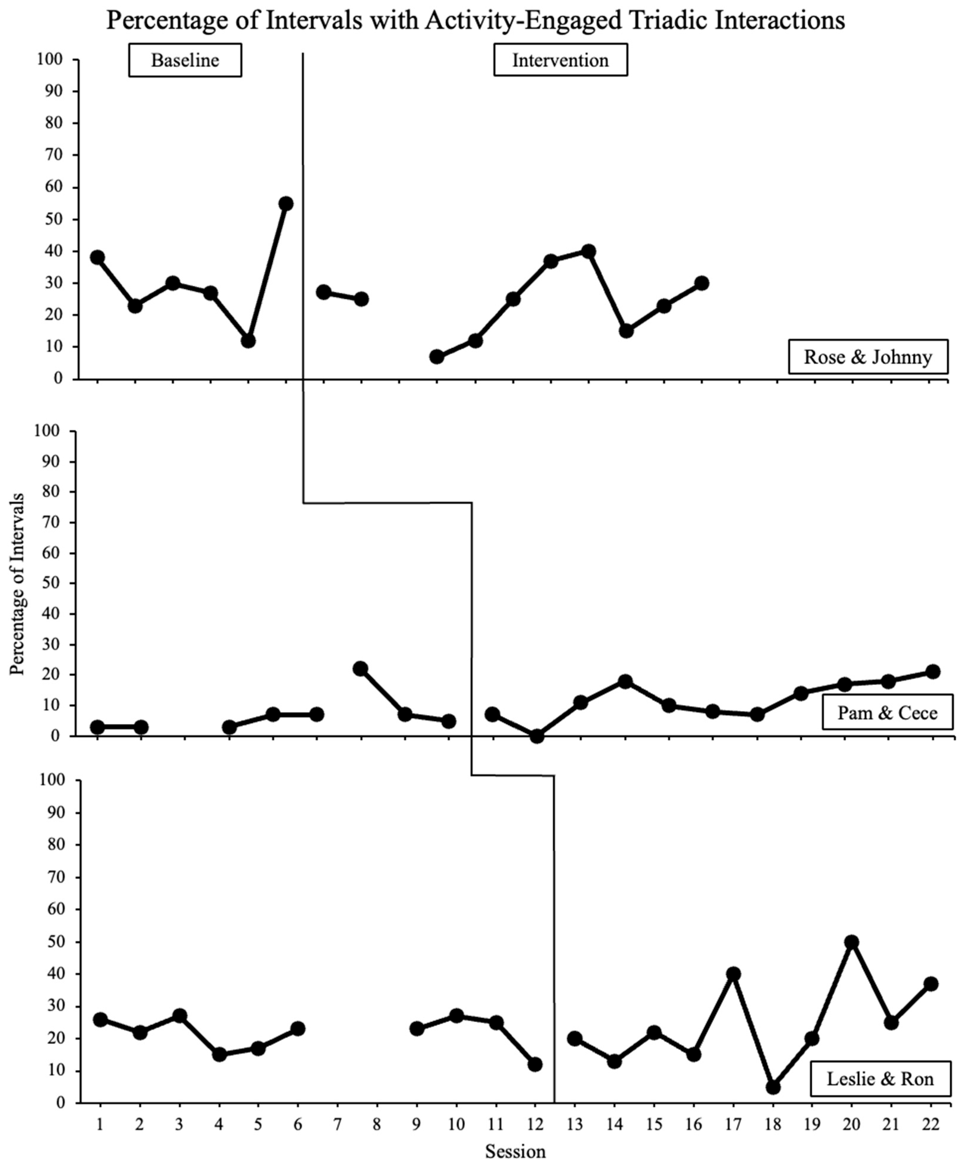
3. Results
3.1. Overall Design-Level Outcomes
Activity-Based Triadic Interactions
3.2. Individual Child Outcomes
3.2.1. Johnny
3.2.2. Cece
3.2.3. Ron
4. Discussion
4.1. Language and Communication Interventions for Young Children with Autism and Developmental Disabilities
4.2. Skill Complexity
4.3. Practical Applicability of Brief, Intensive Research-Based Interventions
4.4. Limitations and Future Research
5. Conclusions
Supplementary Materials
Author Contributions
Funding
Institutional Review Board Statement
Data Availability Statement
Acknowledgments
Conflicts of Interest
References
- Bakeman, R., & Adamson, L. B. (1984). Coordinating attention to people and objects in mother infant and peer-infant interaction. Child Development, 55(4), 1278–1289. [Google Scholar] [CrossRef]
- Belanger, R., Leroux, D., & Lefebvre, P. (2021). Supporting caregivers of children born prematurely in the development of language: A scoping review. Paediatrics & Child Health, 26(1), e17–e24. [Google Scholar] [CrossRef]
- Bhana Lopez, N., Raulston, T. J., & Gilhuber, C. S. (2024). Collateral effects of the Tell Me MORE! intervention on the joint reminiscing of mothers of children with autism spectrum disorder. Journal of Autism and Developmental Disorders, 54(10), 3745–3758. [Google Scholar] [CrossRef] [PubMed]
- Bourque, K. S., & Goldstein, H. (2020). Expanding communication modalities and functions for preschoolers with autism spectrum disorder: Secondary analysis of a peer partner speech-generating device intervention. Journal of Speech, Language, and Hearing Research, 63(1), 190–205. [Google Scholar] [CrossRef]
- Fletcher-Watson, S., & Hampton, S. (2018). The potential of eye-tracking as a sensitive measure of behavioural change in response to intervention. Scientific Reports, 8(1), 14715. [Google Scholar] [CrossRef] [PubMed]
- Fuller, E. A., & Kaiser, A. P. (2020). The effects of early intervention on social communication outcomes for children with autism spectrum disorder: A meta-analysis. Journal of Autism and Developmental Disorders, 50(5), 1683–1700. [Google Scholar] [CrossRef] [PubMed]
- Fusaroli, R., Weed, E., Fein, D., & Naigles, L. (2019). Hearing me hearing you: Reciprocal effects between child and parent language in autism and typical development. Cognition, 183, 1–18. [Google Scholar] [CrossRef]
- Gulsrud, A. C., Hellemann, G. S., Freeman, S. F. N., & Kasari, C. (2014). Two to ten years: Developmental trajectories of joint attention in children with ASD who received targeted social communication interventions. Autism Research, 7(2), 207–215. [Google Scholar] [CrossRef]
- Hampton, L. H., & Kaiser, A. P. (2016). Intervention effects on spoken-language outcomes for children with autism: A systematic review and meta-analysis. Journal of Intellectual Disability Research, 60(5), 444–463. [Google Scholar] [CrossRef]
- Hampton, L. H., Kaiser, A. P., Nietfeld, J. P., & Khachoyan, A. (2021). Generalized effects of naturalistic social communication intervention for minimally verbal children with autism. Journal of Autism and Developmental Disorders, 51(1), 75–87. [Google Scholar] [CrossRef]
- Hansen, S. G., Carnett, A., & Tullis, C. A. (2018). Defining early social communication skills: A systematic review and analysis. Advances in Neurodevelopmental Disorders, 2(1), 116–128. [Google Scholar] [CrossRef]
- Hume, K., Steinbrenner, J. R., Odom, S. L., Morin, K. L., Nowell, S. W., Tomaszewski, B., Szendrey, S., McIntyre, N. S., Yücesoy-Özkan, S., & Savage, M. N. (2021). Evidence based practices for children, youth, and young adults with autism: Third generation review. Journal of Autism and Developmental Disorders, 51(11), 4013–4032. [Google Scholar] [CrossRef]
- Individuals with Disabilities Education Improvement Act of 2004, Pub. L. No. 108–446, § 1400 et seq. (2004). Available online: https://www.govinfo.gov/app/details/PLAW-108publ446 (accessed on 11 January 2026).
- Kasari, C., Gulsrud, A. C., Shire, S. Y., & Strawbridge, C. (2021). The JASPER model for children with autism: Promoting joint attention, symbolic play, engagement, and regulation. Guilford Publications. [Google Scholar]
- Ledford, J. R., & Gast, D. L. (2018). Single case research methodology: Applications in special education and behavioral sciences. Routledge. [Google Scholar]
- Lee, K., Eskritt, M., Symons, L. A., & Muir, D. (1998). Children’s use of triadic eye gaze information for “mind reading”. Developmental Psychology, 34(3), 525–539. [Google Scholar] [CrossRef][Green Version]
- Lombardi, A. R., Rifenbark, G. G., & Taconet, A. (2023). Quality indicators of secondary data analyses in special education research: A preregistration guide. Exceptional Children, 89(4), 397–411. [Google Scholar] [CrossRef]
- McIntyre, L. L., Kunze, M., Barton, H., & Luehring, M. (2021). Early intervention for children with intellectual and developmental disabilities. In L. M. Glidden, L. Abbeduto, L. L. McIntyre, & M. J. Tassé (Eds.), APA handbook of intellectual and developmental disabilities: Clinical and educational implications–Prevention, intervention, and treatment (pp. 3–22). American Psychological Association. [Google Scholar] [CrossRef]
- Meadan, H., Snodgrass, M. R., Meyer, L. E., Fisher, K. W., Chung, M. Y., & Halle, J. W. (2016). Internet-based parent-implemented intervention for young children with autism: A pilot study. Journal of Early Intervention, 38(1), 3–23. [Google Scholar] [CrossRef]
- Ousley, C. L., Gevarter, C., & D’Agostino, S. R. (2024). Aligning intervention for autistic beginning communicators with language development milestones using NDBIs. Young Exceptional Children, 27(4), 224–237. [Google Scholar] [CrossRef]
- Ousley, C. L., Raulston, T. J., & Gilhuber, C. S. (2022). Incorporating video feedback within a parent-implemented naturalistic developmental behavioral intervention package via telepractice. Topics in Early Childhood Special Education, 42(3), 246–258. [Google Scholar] [CrossRef]
- Ousley, C. L., Raulston, T. J., & Gilhuber, C. S. (2025). Telecoaching for parents of young autistic children using strength-based video feedback. Journal of Autism and Developmental Disorders, 55(1), 14–29. [Google Scholar] [CrossRef] [PubMed]
- Pietto, M. L., Giovannetti, F., Segretin, M. S., Belloli, L. M. L., Lopez-Rosenfeld, M., Goldin, A. P., Fernández-Slezak, D., Kamienkowski, J. E., & Lipina, S. J. (2018). Enhancement of inhibitory control in a sample of preschoolers from poor homes after cognitive training in a kindergarten setting: Cognitive and ERP evidence. Trends in Neuroscience and Education, 13, 34–42. [Google Scholar] [CrossRef]
- Pustejovsky, J. E., Chen, M., Grekov, P., & Swan, D. M. (2024). Single-case effect size calculator (Version 0.7.3). Available online: https://jepusto.shinyapps.io/SCD-effect-sizes/ (accessed on 23 September 2025).
- Rakap, S., & Rakap, S. (2014). Parent-implemented naturalistic language interventions for young children with disabilities: A systematic review of single-subject experimental research studies. Educational Research Review, 13, 35–51. [Google Scholar] [CrossRef]
- Raulston, T. J., Ousley, C. L., Hinton, E. M., & Ramirez, A. M. (2024). Beyond trial counts: Considerations for measuring play and engagement during early intervention for autistic children. Behavior Analysis in Practice, 17(4), 1216–1227. [Google Scholar] [CrossRef] [PubMed]
- Roberts, M. Y., & Kaiser, A. P. (2015). Early intervention for toddlers with language delays: A randomized controlled trial. Pediatrics, 135(4), 686–693. [Google Scholar] [CrossRef]
- Sandbank, M., Bottema-Beutel, K., Crowley, S., Cassidy, M., Dunham, K., Feldman, J. I., Crank, J., Albarran, S. A., Raj, S., Mahbub, P., & Woynaroski, T. G. (2020). Project AIM: Autism intervention meta-analysis for studies of young children. Psychological Bulletin, 146(1), 1–29. [Google Scholar] [CrossRef]
- Schreibman, L., Dawson, G., Stahmer, A. C., Landa, R., Rogers, S. J., McGee, G. G., Kasari, C., Ingersoll, B., Kaiser, A. P., Bruinsma, Y., McNerney, E., Wetherby, A., & Halladay, A. (2015). Naturalistic developmental behavioral interventions: Empirically validated treatments for autism spectrum disorder. Journal of Autism and Developmental Disorders, 45(8), 2411–2428. [Google Scholar] [CrossRef]
- Shih, W., Shire, S., Chang, Y.-C., & Kasari, C. (2021). Joint engagement is a potential mechanism leading to increased initiations of joint attention and downstream effects on language: JASPER early intervention for children with ASD. Journal of Child Psychology and Psychiatry, 62(10), 1228–1235. [Google Scholar] [CrossRef]
- Sparrow, S. S., Cicchetti, D., & Saulnier, C. (2016). Vineland adaptive behavior scales–third edition (Vineland-3). American Guidance Service. [Google Scholar]
- Vernon, T. W., Koegel, R. L., Dauterman, H., & Stolen, K. (2012). An early social engagement intervention for young children with autism and their parents. Journal of Autism and Developmental Disorders, 42(12), 2702–2717. [Google Scholar] [CrossRef]
- Wall, N. G., Smith, O., Campbell, L., Loughland, C., & Schall, U. (2025). Using EEG and eye tracking to evaluate an emotion recognition iPad app for autistic children. Clinical EEG and Neuroscience, 1–11. [Google Scholar] [CrossRef]
- Wallander, J. L., Biasini, F. J., Thorsten, V., Dhaded, S. M., de Jong, D. M., Chomba, E., Pasha, O., Goudar, S., Wallace, D., Chakraborty, H., Wright, L. L., McClure, E., & Carlo, W. A. (2014). Dose of early intervention treatment during children’s first 36 months of life is associated with developmental outcomes: An observational cohort study in three low/low-middle income countries. BMC Pediatrics, 14, 281. [Google Scholar] [CrossRef] [PubMed]

| VABS-3 | |||||
|---|---|---|---|---|---|
| Participant | Age | Child Diagnosis | ABC Score | Communication Standard Score | Socialization Standard Score |
| Dyad 1 | |||||
| Johnny | 5 years 2 months | Autism Spectrum Disorder | 71 (SD = −2) | 56 (SD = −3) | 76 (SD = −1.5) |
| Rose | 39 years | ||||
| Dyad 2 | |||||
| Cece | 2 years 2 months | Williams syndrome | 68 (SD = −2) | 58 (SD = −3) | 90 (SD = −0.5) |
| Pam | 32 years | ||||
| Dyad 3 | |||||
| Ron | 2 years 0 months | Developmental delay (communication) | 93 (SD = −0.5) | 85 (SD = −1) | 98 (SD = 0) |
| Leslie | 29 years | ||||
| Level of Engagement | Definition | Example |
|---|---|---|
| 0. Unengaged | Child is not focused on or interacting with their mother nor any objects, activities, or toys. | Child is swaying back and forth with no apparent focus on any item, object, person, or activity. |
| 1. Onlooker | Child is watching their mother or toy/object but is not actively involved in interacting with the mother or the activity. | Child is standing a few feet away from their mother, watching them read a book, without showing any interest in the mother or the book. |
| 2. Object Engaged | Child is playing exclusively with an object with no social behavior with the mother. | Child is holding a toy truck and pushing it down a car ramp. The child is not showing any interaction or conversing with their mother. |
| 3. Person Engaged | Child is focused on and interacting with their mother with no object involved. | Child is looking at their mother, jumping up and down, and the mother continues singing a song. |
| 4. Activity-Engaged Triadic Interaction | Child interacting with their mother and a shared object or activity at the same time (i.e., joint engagement) plus a back-and-forth triadic interaction between both parties (child–mother–child or mother–child–mother exchanges). | The child goes up a slide while saying “up.” The parent responds with “you did it” while repositioning herself to be at the bottom of the slide. Child says “I did” following their mother’s comment. |
| Child Engagement/Interaction Level | |||||
|---|---|---|---|---|---|
| Unengaged | Onlooking | Object Engaged | Person Engaged | Activity-Engaged Triadic Interaction | |
| Johnny (Dyad 1) | |||||
| Baseline | |||||
| M | 3% | 2% | 51% | 11% | 31% |
| (range) | (0–10%) | (0–10%) | (2–88%) | (0–58%) | (12–55%) |
| Intervention | |||||
| M | 4% | 1% | 68% | 4% | 24% |
| (range) | (0–8%) | (0–7%) | (43–85%) | (0–18%) | (7–40%) |
| Cece (Dyad 2) | |||||
| Baseline | |||||
| M | 9% | 0% | 69% | 15% | 7% |
| (range) | (0–22%) | (0–2%) | (53–87%) | (7–22%) | (3–22%) |
| Intervention | |||||
| M | 6% | 0% | 56% | 26% | 12% |
| (range) | (0–15%) | (0–2%) | (38–80%) | (2–45%) | (0–21%) |
| Ron (Dyad 3) | |||||
| Baseline | |||||
| M | 2% | 1% | 72% | 2% | 22% |
| (range) | (0–10%) | (0–3%) | (60–85%) | (0–8%) | (12–27%) |
| Intervention | |||||
| M | 1% | 1% | 72% | 2% | 25% |
| (range) | (0–5%) | (0–3%) | (50–88%) | (0–3%) | (5–50%) |
Disclaimer/Publisher’s Note: The statements, opinions and data contained in all publications are solely those of the individual author(s) and contributor(s) and not of MDPI and/or the editor(s). MDPI and/or the editor(s) disclaim responsibility for any injury to people or property resulting from any ideas, methods, instructions or products referred to in the content. |
© 2026 by the authors. Licensee MDPI, Basel, Switzerland. This article is an open access article distributed under the terms and conditions of the Creative Commons Attribution (CC BY) license.
Share and Cite
Ousley, C.; Szydlik, T.; Neiman, S.; Elliott, N. Secondary Analysis of a Brief Parent-Implemented NDBI on Activity-Engaged Triadic Interactions Within Mother–Child Dyads. Behav. Sci. 2026, 16, 147. https://doi.org/10.3390/bs16010147
Ousley C, Szydlik T, Neiman S, Elliott N. Secondary Analysis of a Brief Parent-Implemented NDBI on Activity-Engaged Triadic Interactions Within Mother–Child Dyads. Behavioral Sciences. 2026; 16(1):147. https://doi.org/10.3390/bs16010147
Chicago/Turabian StyleOusley, Ciara, Tess Szydlik, Shelby Neiman, and Nyah Elliott. 2026. "Secondary Analysis of a Brief Parent-Implemented NDBI on Activity-Engaged Triadic Interactions Within Mother–Child Dyads" Behavioral Sciences 16, no. 1: 147. https://doi.org/10.3390/bs16010147
APA StyleOusley, C., Szydlik, T., Neiman, S., & Elliott, N. (2026). Secondary Analysis of a Brief Parent-Implemented NDBI on Activity-Engaged Triadic Interactions Within Mother–Child Dyads. Behavioral Sciences, 16(1), 147. https://doi.org/10.3390/bs16010147

