Reducing Panic Buying During Crisis Lockdowns: A Randomized Controlled Trial of a Theory-Based Online Intervention
Abstract
1. Introduction
1.1. Current Mitigation Strategies
1.2. Theoretical Frameworks
1.3. Primary Outcomes
1.4. Secondary Outcomes
2. Method
2.1. Participants
2.2. Materials
2.2.1. Intervention Development
2.2.2. Intervention Condition
2.2.3. Control Condition
2.2.4. Randomization
2.3. Measures
2.4. Data Quality Checks
2.5. Procedure
2.6. Data Analysis
3. Results
3.1. Primary Outcomes
3.1.1. Non-Perishable Food Products
3.1.2. Cleaning Products
3.1.3. Hygiene Products
3.2. Secondary Outcomes
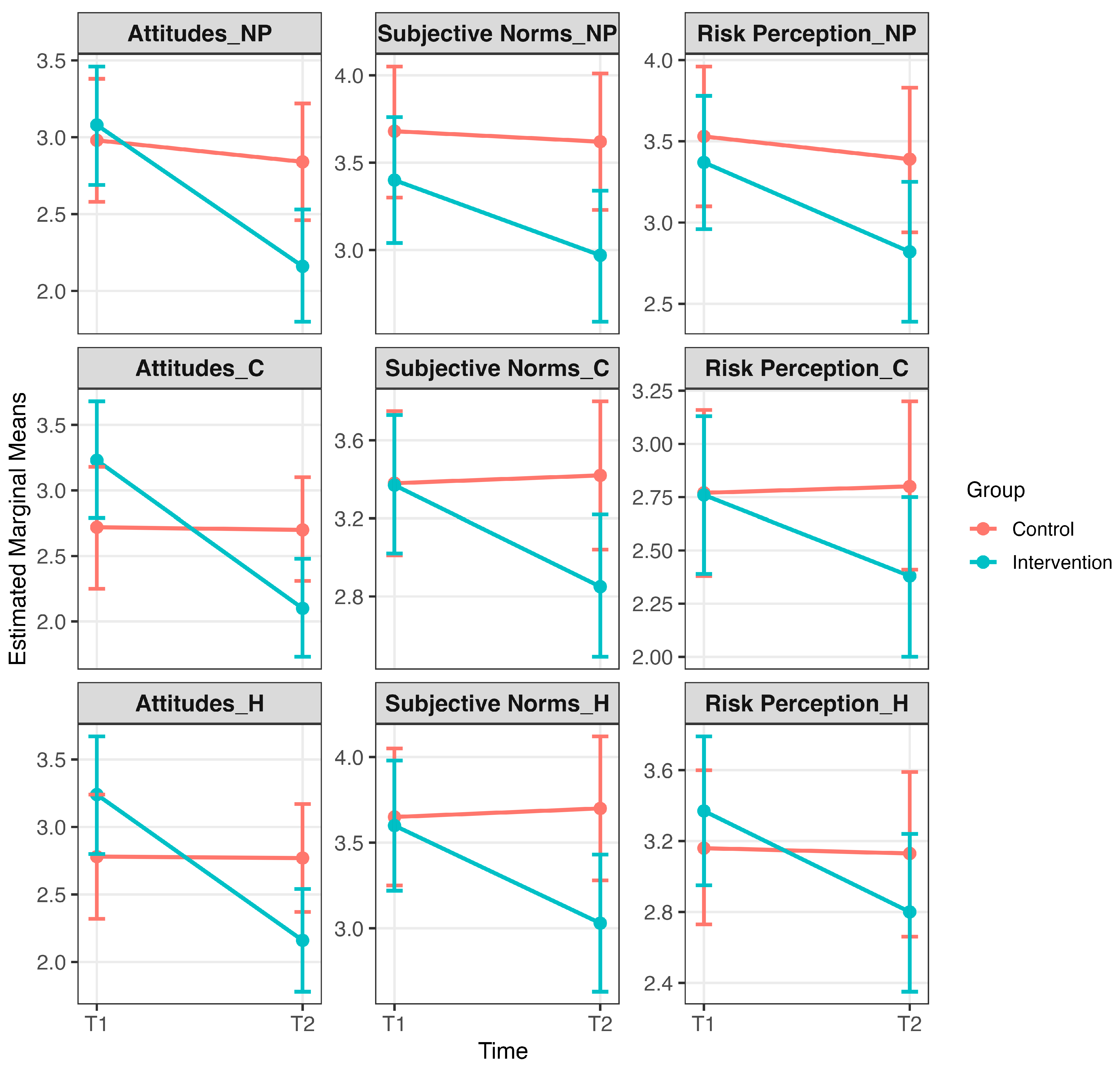
3.2.1. Attitudes
3.2.2. Subjective Norms
3.2.3. Perceived Risk
4. Discussion
Theoretical Implications
5. Conclusions
Supplementary Materials
Author Contributions
Funding
Institutional Review Board Statement
Informed Consent Statement
Data Availability Statement
Conflicts of Interest
References
- Abraham, C., & Sheeran, P. (2003). Acting on intentions: The role of anticipated regret. British Journal of Social Psychology, 42(4), 495–511. [Google Scholar] [CrossRef]
- Ajzen, I. (1991). The theory of planned behavior. Organizational Behavior and Human Decision Processes, 50(2), 179–211. [Google Scholar] [CrossRef]
- Ajzen, I. (2006). Behavioral interventions based on the theory of planned behavior. Available online: https://people.umass.edu/aizen/pdf/tpb.intervention.pdf (accessed on 17 November 2025).
- Alexander, C. S., & Becker, H. J. (1978). The use of vignettes in survey research. Public Opinion Quarterly, 42(1), 93–104. [Google Scholar] [CrossRef]
- Arafat, S. Y., Kar, S. K., Marthoenis, M., Sharma, P., Apu, E. H., & Kabir, R. (2020). Psychological underpinning of panic buying during pandemic (COVID-19). Psychiatry Research, 289, 113061. [Google Scholar] [CrossRef]
- Atzmüller, C., & Steiner, P. M. (2010). Experimental vignette studies in survey research. Methodology: European Journal of Research Methods for the Behavioral & Social Sciences, 6(3), 128–138. [Google Scholar] [CrossRef]
- Australian Bureau of Statistics. (2022, June 23). COVID-19 mortality in Australia: Deaths registered until 31 May 2022. Available online: https://www.abs.gov.au/articles/covid-19-mortality-australia-deaths-registered-until-31-may-2022#:~:text=Deaths%20due%20to%20COVID%2D19%20in%20Australia,-The%20Coronavirus%20Disease&text=There%20are%206%2C968%20death%20registrations,pandemic%20and%2031%20May%202022 (accessed on 17 November 2025).
- Australian Institute of Health and Welfare. (2021, September 10). The first year of COVID-19 in Australia: Direct and indirect health effects. Available online: https://www.aihw.gov.au/reports/burden-of-disease/the-first-year-of-covid-19-in-australia/summary (accessed on 17 November 2025).
- Australian Institute of Health and Welfare. (2024, July 16). COVID-19. Available online: https://www.aihw.gov.au/reports-data/health-conditions-disability-deaths/covid-19/overview (accessed on 17 November 2025).
- Bentall, R. P., Lloyd, A., Bennett, K., McKay, R., Mason, L., Murphy, J., McBride, O., Hartman, T. K., Gibson-Miller, J., & Levita, L. (2021). Pandemic buying: Testing a psychological model of over-purchasing and panic buying using data from the United Kingdom and the republic of Ireland during the early phase of the COVID-19 pandemic. PLoS ONE, 16(1), e0246339. [Google Scholar] [CrossRef] [PubMed]
- Billore, S., & Anisimova, T. (2021). Panic buying research: A systematic literature review and future research agenda. International Journal of Consumer Studies, 45(4), 777–804. [Google Scholar] [CrossRef]
- Butterworth, P., Schurer, S., Trinh, T.-A., Vera-Toscano, E., & Wooden, M. (2022). Effect of lockdown on mental health in Australia: Evidence from a natural experiment analysing a longitudinal probability sample survey. The Lancet Public Health, 7(5), e427–e436. [Google Scholar] [CrossRef]
- Cao, C., Chu, C., & Yang, J. (2023). “If you don’t buy it, it’s gone!”: The effect of perceived scarcity on panic buying. Electronic Research Archive, 31(9), 5485–5508. [Google Scholar] [CrossRef]
- Chen, T., Jin, Y., Wang, B., & Yang, J. (2024). The government intervention effects on panic buying behavior based on online comment data mining: A case study of COVID-19 in Hubei Province, China. Humanities and Social Sciences Communications, 11(1), 1200. [Google Scholar] [CrossRef]
- Chua, G., Yuen, K. F., Wang, X., & Wong, Y. D. (2021). The determinants of panic buying during COVID-19. International Journal of Environmental Research and Public Health, 18(6), 3247. [Google Scholar] [CrossRef]
- Coppola, D. P. (2005). “Gripped by fear”: Public risk (mis) perception and the Washington, DC sniper. Disaster Prevention and Management: An International Journal, 14(1), 32–54. [Google Scholar] [CrossRef]
- David, J., Visvalingam, S., & Norberg, M. M. (2021). Why did all the toilet paper disappear? Distinguishing between panic buying and hoarding during COVID-19. Psychiatry Research, 303, 114062. [Google Scholar] [CrossRef]
- Ding, H. (2009). Rhetorics of alternative media in an emerging epidemic: SARS, censorship, and extra-institutional risk communication. Technical Communication Quarterly, 18(4), 327–350. [Google Scholar] [CrossRef]
- Dinić, B., & Bodroža, B. (2021). “My precious … toilet paper”: Stockpiling during the COVID-19 pandemic is related to selfishness, but not to fear. Primenjena Psihologija, 13(4), 489–504. [Google Scholar] [CrossRef]
- Dutta-Powell, R., Powell, Z., & Fung, B. J. (2025). Message strategies to mitigate panic buying: Factual vs. moral or norm appeals. Journal of Consumer Policy, 48, 81–104. [Google Scholar] [CrossRef]
- Evans, J. S. B., & Stanovich, K. E. (2013). Dual-process theories of higher cognition: Advancing the debate. Perspectives on Psychological Science, 8(3), 223–241. [Google Scholar] [CrossRef]
- Frost, R. O., & Gross, R. C. (1993). The hoarding of possessions. Behaviour Research and Therapy, 31(4), 367–381. [Google Scholar] [CrossRef]
- Fu, P., Jing, B., Chen, T., Yang, J., & Cong, G. (2022). Identifying a new social intervention model of panic buying under sudden epidemic. Frontiers in Public Health, 10, 842904. [Google Scholar] [CrossRef]
- Gasink, L. B., Linkin, D. R., Fishman, N. O., Bilker, W. B., Weiner, M. G., & Lautenbach, E. (2009). Stockpiling drugs for an avian influenza outbreak: Examining the surge in oseltamivir prescriptions during heightened media coverage of the potential for a worldwide pandemic. Infection Control & Hospital Epidemiology, 30(4), 370–376. [Google Scholar] [CrossRef] [PubMed][Green Version]
- Gerrard, M., Gibbons, F. X., Houlihan, A. E., Stock, M. L., & Pomery, E. A. (2008). A dual-process approach to health risk decision making: The prototype willingness model. Developmental Review, 28(1), 29–61. [Google Scholar] [CrossRef]
- Hagger, M. S., Cameron, L. D., Hamilton, K., Hankonen, N., & Lintunen, T. (Eds.). (2020). The handbook of behavior change. Cambridge University Press. [Google Scholar] [CrossRef]
- Holmes, E. A., & Mathews, A. (2010). Mental imagery in emotion and emotional disorders. Clinical Psychology Review, 30(3), 349–362. [Google Scholar] [CrossRef]
- Jazemi, R., Farahani, S., Otieno, W., & Jang, J. (2024). Review on panic buying behavior during pandemics: Influencing factors, stockpiling, and intervention strategies. Behavioral Sciences, 14(3), 222. [Google Scholar] [CrossRef]
- Keane, M., & Neal, T. (2021). Consumer panic in the COVID-19 pandemic. Journal of Econometrics, 220(1), 86–105. [Google Scholar] [CrossRef]
- Kok, G., Gottlieb, N. H., Peters, G.-J. Y., Mullen, P. D., Parcel, G. S., Ruiter, R. A. C., Fernández, M. E., Markham, C., & Bartholomew, L. K. (2016). A taxonomy of behaviour change methods: An intervention mapping approach. Health Psychology Review, 10(3), 297–312. [Google Scholar] [CrossRef]
- Lehberger, M., Kleih, A.-K., & Sparke, K. (2021). Panic buying in times of coronavirus (COVID-19): Extending the theory of planned behavior to understand the stockpiling of nonperishable food in Germany. Appetite, 161, 105118. [Google Scholar] [CrossRef] [PubMed]
- Li, S. H., Beames, J. R., Newby, J. M., Maston, K., Christensen, H., & Werner-Seidler, A. (2022). The impact of COVID-19 on the lives and mental health of Australian adolescents. European Child & Adolescent Psychiatry, 31(9), 1465–1477. [Google Scholar] [CrossRef]
- Li, X., Zhou, Y., Wong, Y. D., Wang, X., & Yuen, K. F. (2021). What influences panic buying behaviour? A model based on dual-system theory and stimulus-organism-response framework. International Journal of Disaster Risk Reduction, 64, 102484. [Google Scholar] [CrossRef]
- Ma, X., & Liao, J. (2022). Buying to cope with scarcity during public emergencies: A serial mediation model based on cognition-affect theory. Frontiers in Psychology, 12, 791850. [Google Scholar] [CrossRef]
- Maniaci, M. R., & Rogge, R. D. (2014). Caring about carelessness: Participant inattention and its effects on research. Journal of Research in Personality, 48, 61–83. [Google Scholar] [CrossRef]
- Mao, F. (2020, March 5). Coronavirus panic: Why are people stockpiling toilet paper. BBC News. Available online: https://www.bbc.com/news/world-australia-51731422 (accessed on 17 November 2025).
- Motamed-Jahromi, M., Meshkani, Z., Mosavi-Negad, S. M., Momenabadi, V., & Ahmadzadeh, M. S. (2021). Factors affecting panic buying during COVID-19 outbreak and strategies: A scoping review. Iranian Journal of Public Health, 50(12), 2473–2485. [Google Scholar] [CrossRef] [PubMed]
- Orbell, S., & Sheeran, P. (1998). ‘Inclined abstainers’: A problem for predicting health-related behaviour. British Journal of Social Psychology, 37(2), 151–165. [Google Scholar] [CrossRef]
- Phillips, T., Vargas, C., Graham, M., Couch, D., & Gleeson, D. (2023). The victims, villains and heroes of ‘panic buying’: News media attribution of responsibility for COVID-19 stockpiling. Journal of Sociology, 59(2), 580–599. [Google Scholar] [CrossRef]
- Prentice, C., Quach, S., & Thaichon, P. (2022). Antecedents and consequences of panic buying: The case of COVID-19. International Journal of Consumer Studies, 46(1), 132–146. [Google Scholar] [CrossRef]
- Rosenstock, I. M. (1974). The health belief model and preventive health behavior. Health Education Monographs, 2(4), 354–386. [Google Scholar] [CrossRef]
- Roșu, M. M., Ianole-Călin, R., Dinescu, R., Bratu, A., Papuc, R. M., & Cosma, A. (2021). Understanding consumer stockpiling during the COVID-19 outbreak through the theory of planned behavior. Mathematics, 9(16), 1950. [Google Scholar] [CrossRef]
- Rune, K. T., & Keech, J. J. (2023). Is it time to stock up? Understanding panic buying during the COVID-19 pandemic. Australian Journal of Psychology, 75(1), 2180299. [Google Scholar] [CrossRef] [PubMed]
- Saleem, S., & Saleem, T. (2022). Disaster, e-commerce, and panic buying. In Panic buying and environmental disasters: Management and mitigation approaches (pp. 249–265). Springer. [Google Scholar] [CrossRef]
- Schmidt, S., Benke, C., & Pané-Farré, C. A. (2021). Purchasing under threat: Changes in shopping patterns during the COVID-19 pandemic. PLoS ONE, 16(6), e0253231. [Google Scholar] [CrossRef] [PubMed]
- Schroder, H. S., Dawood, S., Yalch, M. M., Donnellan, M. B., & Moser, J. S. (2016). Evaluating the domain specificity of mental health–related mind-sets. Social Psychological and Personality Science, 7(6), 508–520. [Google Scholar] [CrossRef]
- Schwarzer, R. (2008). Modeling health behavior change: How to predict and modify the adoption and maintenance of health behaviors. Applied Psychology, 57(1), 1–29. [Google Scholar] [CrossRef]
- Somani, A., & Kumar, A. (2021). Historical perspectives of panic buying. In S. Y. Arafat, S. Kumar Kar, & R. Kabir (Eds.), Panic buying: Perspectives and prevention (pp. 115–123). Springer. [Google Scholar] [CrossRef]
- Spitzer, S. (2020). Biases in health expectancies due to educational differences in survey participation of older Europeans: It’s worth weighting for. The European Journal of Health Economics: HEPAC, 21(4), 573–605. [Google Scholar] [CrossRef]
- Steketee, G., Frost, R. O., & Kyrios, M. (2003). Cognitive aspects of compulsive hoarding. Cognitive Therapy and Research, 27(4), 463–479. [Google Scholar] [CrossRef]
- Sterman, J. D., & Dogan, G. (2015). “I’m not hoarding, I’m just stocking up before the hoarders get here.”: Behavioral causes of phantom ordering in supply chains. Journal of Operations Management, 39, 6–22. [Google Scholar] [CrossRef]
- Strack, F., & Deutsch, R. (2004). Reflective and impulsive determinants of social behavior. Personality and Social Psychology Review, 8(3), 220–247. [Google Scholar] [CrossRef]
- Tan, K. L., Sia, J. K. M., & Tang, D. K. H. (2022). To verify or not to verify: Using partial least squares to predict effect of online news on panic buying during pandemic. Asia Pacific Journal of Marketing and Logistics, 34(4), 647–668. [Google Scholar] [CrossRef]
- Tsao, Y.-C., Raj, P. V. R. P., & Yu, V. (2019). Product substitution in different weights and brands considering customer segmentation and panic buying behavior. Industrial Marketing Management, 77, 209–220. [Google Scholar] [CrossRef]
- Wang, H. H., & Hao, N. (2020). Panic buying? Food hoarding during the pandemic period with city lockdown. Journal of Integrative Agriculture, 19(12), 2916–2925. [Google Scholar] [CrossRef]
- Webb, T. L., Joseph, J., Yardley, L., & Michie, S. (2010). Using the internet to promote health behavior change: A systematic review and meta-analysis of the impact of theoretical basis, use of behavior change techniques, and mode of delivery on efficacy. Journal of Medical Internet Research, 12(1), e4. [Google Scholar] [CrossRef]
- Wei, K., Wen-wu, D., & Lin, W. (2011, September 13–15). Research on emergency information management based on the social network analysis: A case analysis of panic buying of salt. 2011 International Conference on Management Science & Engineering 18th Annual Conference Proceedings (pp. 1302–1310), Online. [Google Scholar]
- Wood, M. (2024). When panic buying is rational: A structural approach to emergency supply purchases. Kilts Center at Chicago Booth Marketing Data Center. advance online publication. [Google Scholar] [CrossRef]
- World Health Organization. (2020, July 27). WHO director-general’s opening remarks at the media briefing on COVID-19. Available online: https://www.who.int/news-room/speeches/item/who-director-general-s-opening-remarks-at-the-media-briefing-on-covid-19---27-july-2020 (accessed on 17 November 2025).
- World Health Organization. (2025). COVID-19 cases, world. Available online: https://data.who.int/dashboards/covid19/cases (accessed on 17 November 2025).
- Wu, H., Xie, R., Ding, L., Dong, H., & Ren, G. (2024). Study on the influencing factors and intervention strategies of public panic buying during public health emergencies. BMC Public Health, 24(1), 3499. [Google Scholar] [CrossRef] [PubMed]
- Yoshizaki, H. T., de Brito Junior, I., Hino, C. M., Aguiar, L. L., & Pinheiro, M. C. R. (2020). Relationship between panic buying and per capita income during COVID-19. Sustainability, 12(23), 9968. [Google Scholar] [CrossRef]
- Yuen, K. F., Wang, X., Ma, F., & Li, K. X. (2020). The psychological causes of panic buying following a health crisis. International Journal of Environmental Research and Public Health, 17(10), 3513. [Google Scholar] [CrossRef] [PubMed]


| Characteristic | Control Group | Intervention Group | ||
|---|---|---|---|---|
| n | % | n | % | |
| Sex | ||||
| Male | 16 | 23.9 | 19 | 26.0 |
| Female | 50 | 74.6 | 49 | 67.1 |
| Different identity | 1 | 1.5 | 5 | 6.8 |
| Marital Status | ||||
| Partnered (married or de facto) | 43 | 64.2 | 34 | 46.6 |
| In relationship | 8 | 11.9 | 13 | 17.8 |
| Separated, divorced or widowed | 6 | 9.0 | 16 | 21.9 |
| Single | 10 | 14.9 | 10 | 13.7 |
| Children in Household | 39 | 58.2 | 37 | 50.7 |
| Employment | ||||
| Employed (full- or part-time) | 40 | 59.7 | 39 | 53.4 |
| Home duties or unemployed | 17 | 25.4 | 23 | 31.5 |
| Student (full- or part-time) | 8 | 11.9 | 11 | 15.1 |
| Education Level | ||||
| University | 44 | 65.7 | 37 | 50.7 |
| TAFE/trade/VET | 11 | 16.4 | 24 | 32.9 |
| High school or less | 12 | 17.9 | 12 | 16.4 |
| Weekly Work Hours | ||||
| 0–19 h | 11 | 16.4 | 10 | 13.7 |
| 20–39 h | 23 | 34.4 | 18 | 24.6 |
| 40+ h | 21 | 31.3 | 10 | 13.7 |
| No response | 12 | 17.9 | 35 | 47.9 |
| Annual Household Income | ||||
| <$41,600 | 16 | 23.9 | 17 | 23.3 |
| $41,600–$77,999 | 19 | 28.3 | 25 | 34.3 |
| ≥$78,000 | 26 | 38.8 | 27 | 37.0 |
| No response | 6 | 9.0 | 4 | 5.5 |
| Behavior Change Method | Implementation Strategy | Targeted Construct(s) |
|---|---|---|
| Scenario-based risk information | Revisited the hypothetical lockdown scenario and provided information about how excessive purchasing can lead to shortages. | Risk perception, attitude |
| Environmental re-evaluation | Described how panic buying affects others, including healthcare workers, first responders, older adults, and carers. | Attitude, subjective norm |
| Information about others’ approval | Stated that family and friends would want participants to only buy what they need. | Subjective norm |
| Shifting perspective | Invited participants to imagine being a frontline worker unable to access groceries after a shift. | Risk perception, attitude, intention |
| Personalized risk feedback | Prompted participants to consider the role they can play in preventing shortages. | Risk perception, intention |
| Self-affirmation | Asked participants to reflect on whether panic buying is consistent with their values. | Attitude, intention |
Disclaimer/Publisher’s Note: The statements, opinions and data contained in all publications are solely those of the individual author(s) and contributor(s) and not of MDPI and/or the editor(s). MDPI and/or the editor(s) disclaim responsibility for any injury to people or property resulting from any ideas, methods, instructions or products referred to in the content. |
© 2025 by the authors. Licensee MDPI, Basel, Switzerland. This article is an open access article distributed under the terms and conditions of the Creative Commons Attribution (CC BY) license.
Share and Cite
Rune, K.T.; Davis, T.N.; Keech, J.J. Reducing Panic Buying During Crisis Lockdowns: A Randomized Controlled Trial of a Theory-Based Online Intervention. Behav. Sci. 2026, 16, 42. https://doi.org/10.3390/bs16010042
Rune KT, Davis TN, Keech JJ. Reducing Panic Buying During Crisis Lockdowns: A Randomized Controlled Trial of a Theory-Based Online Intervention. Behavioral Sciences. 2026; 16(1):42. https://doi.org/10.3390/bs16010042
Chicago/Turabian StyleRune, Karina T., Trent N. Davis, and Jacob J. Keech. 2026. "Reducing Panic Buying During Crisis Lockdowns: A Randomized Controlled Trial of a Theory-Based Online Intervention" Behavioral Sciences 16, no. 1: 42. https://doi.org/10.3390/bs16010042
APA StyleRune, K. T., Davis, T. N., & Keech, J. J. (2026). Reducing Panic Buying During Crisis Lockdowns: A Randomized Controlled Trial of a Theory-Based Online Intervention. Behavioral Sciences, 16(1), 42. https://doi.org/10.3390/bs16010042

