The Chinese Adaptation of the Teachers’ Sense of Efficacy Scale in Early Childhood Pre-Service Teachers: Validity, Measurement Invariance, and Reliability
Abstract
1. Introduction
1.1. Measurement of TSE
1.2. Cross-Cultural Factor Structure Issues
1.3. The Current Research
2. Materials and Methods
2.1. Research Design and Participants
2.2. Measures
2.2.1. Teachers’ Sense of Efficacy Scale Short Form, TSES-SF
2.2.2. Student Teacher Professional Identity Scale, STPIS
2.3. Procedures
2.4. Data Analysis
3. Results
3.1. Preliminary Analyses
3.2. Construct Validity
3.2.1. The Preliminary Model Fit
3.2.2. The Overall Model Fit
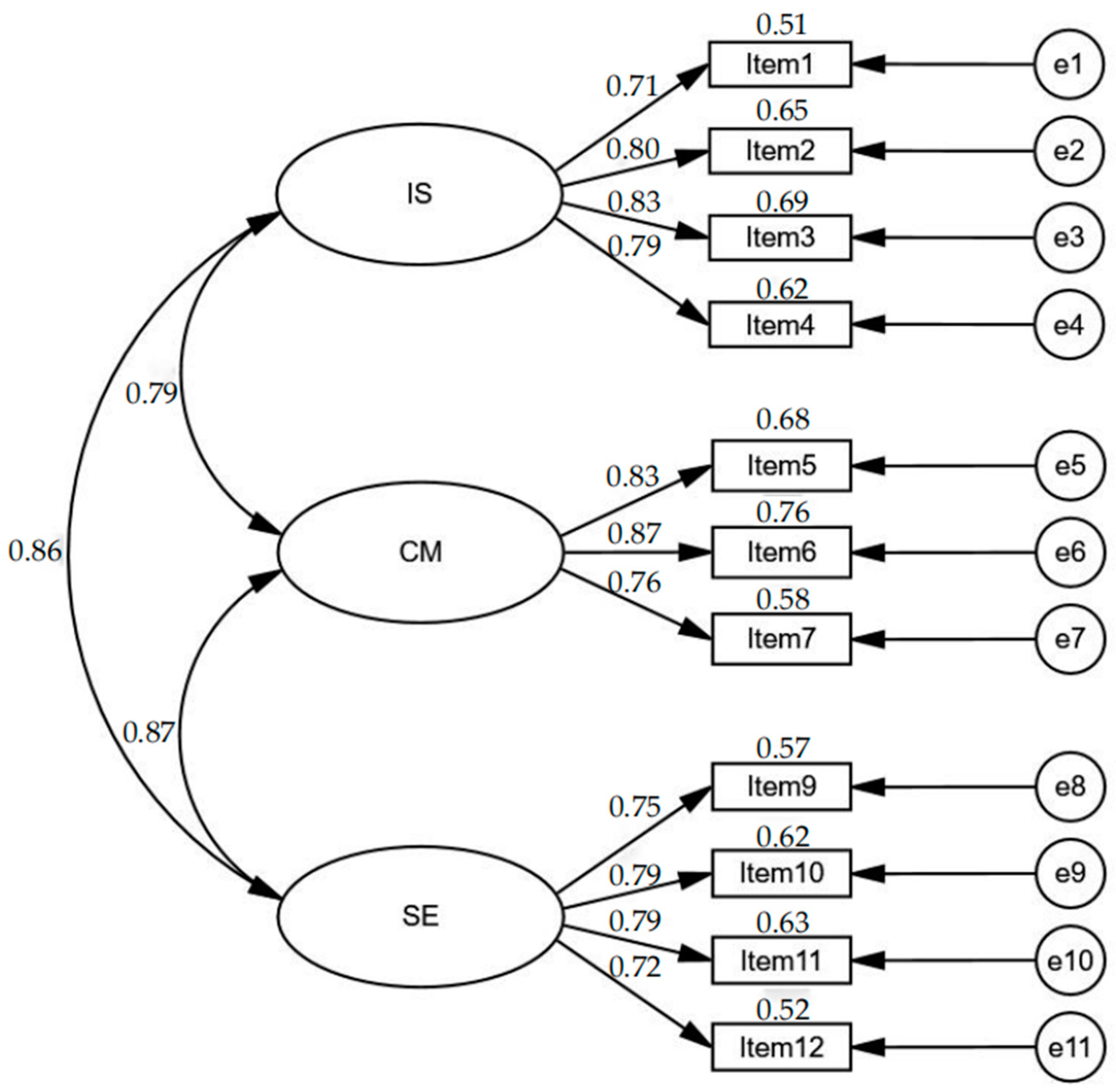
3.2.3. The Internal Structure Model Fit
3.3. Measurement Invariance
3.4. Concurrent Validity and Convergent Validity
3.5. Criterion-Related Validity
3.6. Reliability
4. Discussion
Limitations
5. Conclusions and Contribution
Author Contributions
Funding
Institutional Review Board Statement
Informed Consent Statement
Data Availability Statement
Conflicts of Interest
Abbreviations
| TSE | Teachers’ sense of efficacy |
| TSES | Teachers’ Sense of Efficacy Scale |
| TSES-SF | Teachers’ Sense of Efficacy Scale Short Form |
| C-TSES-SF | Chinese Version of Teachers’ Sense of Efficacy Scale Short Form |
| IS | Efficacy for instructional strategies |
| CM | Efficacy for classroom management |
| SE | Efficacy for student engagement |
| TS | Teaching and Support |
| PI | Professional identity |
| STPIS | Student Teacher Professional Identity Scale |
| PW | Professional willingness |
| PVa | Professional values |
| PE | Professional efficacy |
| PVo | Professional volition |
| PSTs | Pre-service teachers |
| EC-PSTs | Early childhood pre-service teachers |
| ISTs | In-service teachers |
| EC-ISTs | Early childhood in-service teachers |
| ECE | Early childhood education |
| SD | Standard deviation |
| M | Mean |
| EFA | Exploratory factor analysis |
| CFA | Confirmatory factor analysis |
| KMO | Kaiser-Meyer-Olkin |
| χ2/df | Chi-square by degrees of freedom ratio |
| CFI | Comparative fit index |
| TLI (NNFI) | Tucker–Lewis coefficient (Bentler-Bonett non-normed fit index) |
| RMSEA | Root mean square error of approximation |
| GFI | Goodness of fit index |
| NFI | Normed fit index |
| IFI | Incremental fit index |
| AIC | Akaike information criterion |
| ECVI | Expected cross validation index |
| AVE | Average variance extracted |
| CR | Composite reliability |
Appendix A
Appendix A.1
| TSES-SF Chinese Version | ||||||||
|---|---|---|---|---|---|---|---|---|
| 1 | 2 | 3 | 4 | 5 | 6 | 7 | 8 | 9 |
| 完全不能 | 微乎其微 | 很小程度 | 略有一些 | 一定程度 | 相当多 | 比较大程度 | 接近非常大 | 非常大程度 |
| 教学策略效能感 | ||||||||
| 1. 你能在多大程度上使用不同的教育评价方法? | ||||||||
| 2. 当幼儿感到困惑时,你能在多大程度上为其提供另一种解释或例子呢? | ||||||||
| 3. 你能在多大程度上为幼儿创设一个好的问题? | ||||||||
| 4. 你能在课堂上很好地实施替代策略吗? | ||||||||
| 班级管理效能感 | ||||||||
| 5. 你能在多大程度上控制课堂上幼儿破坏课堂秩序的行为? | ||||||||
| 6. 你能在多大程度上让幼儿遵守课堂的规则? | ||||||||
| 7. 你能在多大程度上让一个吵闹或说话的幼儿安静下来? | ||||||||
| 8. 你多大程度上能为班级里不同小组的幼儿建立课堂管理体系? | ||||||||
| 幼儿参与效能感 | ||||||||
| 9. 你能多大程度上让幼儿树立自己能在教育教学活动中有良好表现的信心? | ||||||||
| 10. 你能在多大程度上帮助幼儿重视学习? | ||||||||
| 11. 你能在多大程度上激励那些对教育教学活动兴趣低下的幼儿? | ||||||||
| 12. 你能在多大程度上指导家长,使其协助他们的幼儿在幼儿园有良好的发展? | ||||||||
Appendix A.2
| Original TSES-SF (Tschannen-Moran & Hoy, 2001) | ||||||||
|---|---|---|---|---|---|---|---|---|
| 1 | 2 | 3 | 4 | 5 | 6 | 7 | 8 | 9 |
| Nothing | Negligible | Very Little | A slight Degree | Some Degree | A Fair Amount | Quite a Bit | Almost a Great Deal | A Great Deal |
| Efficacy for instructional strategies (IS) | ||||||||
| 1. To what extent can you use a variety of assessment strategies? | ||||||||
| 2. To what extent can you provide an alternative explanation or example when students are confused? | ||||||||
| 3. To what extent can you craft good questions for your students? | ||||||||
| 4. How well can you implement alternative strategies in your classroom? | ||||||||
| Efficacy for classroom management (CM) | ||||||||
| 5. How much can you do to control disruptive behavior in the classroom? | ||||||||
| 6. How much can you do to get students to follow classroom rules? | ||||||||
| 7. How much can you do to calm a student who is disruptive or noisy? | ||||||||
| 8. How well can you establish a classroom management system with each group of students? | ||||||||
| Efficacy for student engagement (SE) | ||||||||
| 9. How much can you do to get students to believe they can do well in schoolwork? | ||||||||
| 10. How much can you do to help your students value learning? | ||||||||
| 11. How much can you do to motivate students who show low interest in schoolwork? | ||||||||
| 12. How much can you assist families in helping their children do well in school? | ||||||||
| 1 | The sampled university was selected because it has the longest history (from 1956) of offering ECE programs in Hainan, with the largest number of EC-PSTs enrolled, making it a representative site for this study. Additionally, approximately 80% of EC-ISTs in Hainan are graduates of this university. |
| 2 | Such as Curriculum Standards of Teacher Education and Professional Competency Standards of Normal Students of Preschool Education. |
| 3 | Such as Certification Standards for Pre-school Education Major. |
| 4 | Such as Implementation Plan for Undergraduate Education Evaluation in Higher Education Institutions (2021–2025). |
References
- Abraham, J., Ferfolja, T., Sickel, A., Power, A., Curry, C., Fraser, D., & Mackay, K. (2021). Development and validation of a scale to explore pre-service teachers’ sense of preparedness, engagement and selfefficacy in classroom teaching. Australian Journal of Teacher Education, 46(1), 1–23. [Google Scholar] [CrossRef]
- Bagozzi, R., & Yi, Y. (1988). On the evaluation of structural equation models. Journal of the Academy of Marketing Sciences, 16, 74–94. [Google Scholar] [CrossRef]
- Bandura, A. (1997). Self-efficacy: The exercise of control. Freeman. [Google Scholar]
- Behling, O., & Law, K. S. (2000). Translating questionnaires and other research instruments: Problems and solutions. Sage Publications. [Google Scholar]
- Bentler, P. M., & Bonett, D. G. (1980). Significance tests and goodness of fit in the analysis of covariance structures. Psychological Bulletin, 88(3), 588–606. [Google Scholar] [CrossRef]
- Bollen, K. A. (1989). Structural equations with latent variables. John Wiley & Sons. [Google Scholar]
- Brown, T. A. (2015). Confirmatory factor analysis for applied research (2nd ed.). The Guilford Press. [Google Scholar]
- Bull, R., & Bautista, A. (2018). A careful balancing act: Evolving and harmonizing a hybrid system of ECEC in Singapore. In S. L. Kagan (Ed.), The early advantage: Early childhood systems that lead by example (pp. 155–181). Teachers College Press. [Google Scholar]
- Burgueño, R., Sicilia, A., Medina-Casaubón, J., Alcaraz-Ibañez, M., & Lirola, M. J. (2019). Psychometry of the teacher’s sense of efficacy scale in Spanish teachers’ education. The Journal of Experimental Education, 87, 89–100. [Google Scholar] [CrossRef]
- Cetin-Dindar, A. (2022). Examining in-service and pre-service science teachers’ learning environment perceptions and their sense of efficacy beliefs. Educational Studies, 51(2), 1–23. [Google Scholar] [CrossRef]
- Chan, W. T., Waschl, N., Bull, R., & Ng, E. L. (2024). Does experience matter? measuring self-efficacy in preservice and in-service early childhood educators using the teachers’ sense of efficacy scale. The Asia-Pacific Education Researcher, 33, 1201–1212. [Google Scholar] [CrossRef]
- Chen, F. (2007). Sensitivity of goodness of fit indexes to lack of measurement invariance. Structural Equation Modeling, 14, 464–504. [Google Scholar] [CrossRef]
- Chen, F., Curran, P. J., Bollen, K. A., Kirby, J., & Paxton, P. (2008). An empirical evaluation of the use of fixed cutoff points in RMSEA test statistic in structural equation models. Sociological Methods & Research, 36, 462–494. [Google Scholar] [CrossRef]
- Cheung, G. W., & Rensvold, R. B. (2002). Evaluating goodness-of-fit indexes for testing measurement invariance. Structural Equation Modeling, 9, 233–255. [Google Scholar] [CrossRef]
- Cohen, J. (1988). Statistical power analysis for the behavioral sciences (2nd ed.). Erlbaum. [Google Scholar]
- Cronk, B. C. (2004). How to use SPSS: A step by step guide to analysis and interpretation (3rd ed.). Pyrczak Publishing. [Google Scholar]
- Curran, P. J., West, S. G., & Finch, J. F. (1996). The robustness of test statistics to nonnormality and specification error in confirmatory factor analysis. Psychological Methods, 1(1), 16–29. [Google Scholar] [CrossRef]
- Çiftçi, A., & Topçu, M. S. (2023). Improving early childhood pre-service teachers’ computational thinking teaching self-efficacy beliefs in a STEM course. Research in Science & Technological Education, 41(4), 1215–1241. [Google Scholar] [CrossRef]
- Dilekli, Y., & Tezci, E. (2020). A cross-cultural study: Teachers’ self-efficacy beliefs for teaching thinking skills. Thinking Skills and Creativity, 35, 100624. [Google Scholar] [CrossRef]
- Ding, L., & Hong, Z. Z. (2023). On the relationship between pre-service teachers’ sense of self-efcacy and emotions in the integration of technology in their teacher developmental programs. The Asia-Pacifc Education Researcher, 33(4), 869–878. [Google Scholar] [CrossRef]
- Duffin, L. C., French, B. F., & Patrick, H. (2012). The teachers’ sense of efficacy scale: Confirming the factor structure with beginning pre-service teachers. Teaching and Teacher Education, 28(6), 827–834. [Google Scholar] [CrossRef]
- Enochs, L. G., & Riggs, I. M. (1990). Further development of an elementary science teaching efficacy belief instrument: A preservice elementary scale. School Science & Mathematics, 90, 694–706. [Google Scholar] [CrossRef]
- Fives, H., & Buehl, M. M. (2010). Examining the factor structure of the teachers’ sense of efficacy scale. The Journal of Experimental Education, 78, 118–134. [Google Scholar] [CrossRef]
- Fives, H., Hamman, D., & Olivarez, A. (2007). Does burnout begin with student teaching? analyzing efficacy, burnout, and support during the student–teaching semester. Teaching and Teacher Education, 23(6), 916–934. [Google Scholar] [CrossRef]
- Fornell, C., & Larcker, D. F. (1981). Evaluating structural equation models with unobservable variables and measurement error. Journal of Marketing Research, 18(1), 39–50. [Google Scholar] [CrossRef]
- Gibson, S., & Dembo, M. H. (1984). Teacher efficacy: A construct validation. Journal of Educational Psychology, 76(4), 569–582. [Google Scholar] [CrossRef]
- Ho, I. T., & Hau, K.-T. (2004). Australian and Chinese teacher efficacy: Similarities and differences in personal instruction, discipline, guidance efficacy and beliefs in external determinants. Teaching and Teacher Education, 20, 313–323. [Google Scholar] [CrossRef]
- Ho, V. T., Tran, V. D., & Nguyen, V. D. (2023). Examining the factor structure of the teachers’ sense of efficacy scale in the Vietnamese educational context. International Journal of Education and Practice, 11(1), 47–58. [Google Scholar] [CrossRef]
- Holmes, P. (2005). Ethnic Chinese students’ communication with cultural others in a New Zealand University. Communication Education, 54(4), 289–311. [Google Scholar] [CrossRef]
- Hong, X. M., Zhang, H., Zhang, M. Z., & Du, J. G. (2021). Satisfaction status of normal university students’ internship and its relationship with professional identity: The mediating role of the sense of self-efficacy. Higher Education Exploration, 123–128. [Google Scholar]
- Hoy, A. W., & Spero, R. B. (2005). Changes in teacher efficacy during the early years of teaching: A comparison of four measures. Teaching and Teacher Education, 21(4), 343–356. [Google Scholar] [CrossRef]
- Hoy, W. K., & Woolfolk, A. E. (1990). Socialization of student teachers. American Educational Research Journal, 27(2), 279–300. [Google Scholar] [CrossRef]
- Hu, B. Y., Teo, T., Nie, Y. Y., & Wu, Z. L. (2017). Classroom quality and Chinese preschool Children’s approaches to learning. Learning and Individual Differences, 54, 51–59. [Google Scholar] [CrossRef]
- Hu, L., & Bentler, P. M. (1999). Cutoff criteria for fit indexes in covariance structure analysis: Conventional criteria versus new alternatives. Structural Equation Modeling, 6, 1–55. [Google Scholar] [CrossRef]
- Hurley, A. E., Scandura, T. A., Schriesheim, C. A., Brannick, M. T., Seers, A., Vandenberg, R. J., & Williams, L. J. (1997). Exploratory and confirmatory factor analysis: Guidelines, issues, and alternatives. Journal of Organizational Behavior, 18(6), 667–683. [Google Scholar] [CrossRef]
- Joo, Y. J., Bong, M., & Choi, H. J. (2000). Self-efficacy for self-regulated learning, academic self-efficacy, and internet self-efficacy in web-based instruction. Educational Technology Research and Development, 48(2), 5–17. [Google Scholar] [CrossRef]
- Karami, H., Mozaffari, F., & Nourzadeh, S. (2021). Examining the psychometric features of the teacher’s sense of efficacy scale in the English-as-a-foreign-language teaching context. Current Psychology, 40(6), 2680–2697. [Google Scholar] [CrossRef]
- Khairani, A. Z., & Makara, K. A. (2020). Examining the factor structure of the teachers’ sense of efficacy scale with Malaysian samples of in-service and pre-service teachers. Pertanika Journal of Social Science and Humanities, 28(1), 309–323. Available online: https://eprints.gla.ac.uk/212461/1/212461.pdf (accessed on 2 July 2024).
- Kim, C. M., Kim, M. K., Lee, C., Spector, J. M., & DeMeester, K. (2013). Teacher beliefs and technology integration. Teaching and Teacher Education, 29, 76–85. [Google Scholar] [CrossRef]
- Kim, H., & Cho, Y. J. (2014). Pre-service teachers’ motivation, sense of teaching efficacy, and expectation of reality shock. Asia-Pacific Journal of Teacher Education, 42(1), 67–81. [Google Scholar] [CrossRef]
- Klassen, R. M., Bong, M., Usher, E. L., Chong, W. H., Huan, V. S., Wong, I. Y. F., & Georgiou, T. (2009). Exploring the validity of a teachers’ self-efficacy scale in five countries. Contemporary Educational Psychology, 34, 67–76. [Google Scholar] [CrossRef]
- Klassen, R. M., Tze, V. M. C., Betts, S. M., & Gordon, K. A. (2011). Teacher efficacy research 1998–2009: Signs of progress or unfulfilled promise? Educational Psychology Review, 23, 21–43. [Google Scholar] [CrossRef]
- Kline, R. B. (2005). Principles and practice of structural equation modeling (2nd ed.). Guilford Press. [Google Scholar]
- Knoublauch, D., & Hoy, W. A. (2008). Maybe I can teach those kids. The influence of contextual factors on student teachers’ efficacy beliefs. Teaching and Teacher Education, 24(1), 166–179. [Google Scholar] [CrossRef]
- Lentillon-Kaestner, V., Guillet-Descas, E., Martinent, G., & Cece, V. (2018). Validity and reliability of questionnaire on perceived professional identity among teachers (QIPPE) scores. Studies in Educational Evaluation, 59, 235–243. [Google Scholar] [CrossRef]
- Leung, Y. W., Mak, T. C. T., Chan, D. K. C., & Capio, C. M. (2023). Early childhood educators’ physical literacy predict their self-efficacy and perceived competence to promote physical activity. Early Education and Development, 1–12. [Google Scholar] [CrossRef]
- Lim, E. M. (2023). The effects of pre-service early childhood teachers’ digital literacy and self-efficacy on their perception of AI education for young children. Education and Information Technologies, 28(10), 12969–12995. [Google Scholar] [CrossRef]
- Lin, H. L., & Gorrell, J. (2001). Exploratory analysis of pre-service teacher efficacy in Taiwan. Teaching and Teacher Education, 17(5), 623–635. [Google Scholar] [CrossRef]
- Lu, M. H., Pang, F. F., Chen, X. M., Zou, Y. Q., Chen, J. W., & Liang, D. C. (2021). Psychometric properties of the teachers’ sense of efficacy scale for Chinese special education teachers. Journal of Psychoeducational Assessment, 39(2), 212–226. [Google Scholar] [CrossRef]
- Ma, K., Trevethan, R., & Lu, S. (2019). Measuring teacher sense of efficacy: Insights and recommendations concerning scale design and data analysis from research with preservice and inservice teachers in China. Frontiers of Education in China, 14(4), 612–686. [Google Scholar] [CrossRef]
- Marschall, G. (2022). The role of teacher identity in teacher self-efficacy development: The case of Katie. Journal of Mathematics Teacher Education, 25, 725–747. [Google Scholar] [CrossRef]
- Martínez Ortega, Y., Gomà-i-Freixanet, M., & Valero, S. (2017). Psychometric properties and normative data of the Zuckerman–Kuhlman personality questionnaire in a psychiatric outpatient sample. Journal of Personality Assessment, 99(2), 219–224. [Google Scholar] [CrossRef] [PubMed]
- Matsuda, Y., & Hamada, S. (2024). Impact of self-efficacy and professional identity on Japanese early childhood education and care (ECEC) teachers’ absenteeism tendency and turnover intention. Education, 3(13), 1–15. [Google Scholar] [CrossRef]
- Meade, A. W. (2005, April 15–17). Sample size and tests of measurement invariance. The 20th Annual Conference of the Society for Industrial and Organizational Psychology, Los Angeles, CA, USA. [Google Scholar] [CrossRef]
- Ministry of Education of the People’s Republic of China. (2001). Guidelines for kindergarten education. Available online: http://www.moe.gov.cn/srcsite/A06/s3327/200107/t20010702_81984.html (accessed on 2 July 2024).
- Ministry of Education of the People’s Republic of China. (2024). Number of full-time teachers of schools by type and level. Available online: http://www.moe.gov.cn/jyb_sjzl/moe_560/2022/quanguo/202401/t20240110_1099533.html (accessed on 1 June 2024).
- Monteiro, E., & Forlin, C. (2023). Validating the use of the 24-item long version and the 12-item short version of the Teachers’ Sense of Efficacy Scale (TSES) for measuring teachers’ self-efficacy in Macao (SAR) for inclusive education. Emerald Open Research, 1(3), 1–22. [Google Scholar] [CrossRef]
- Nie, Y., Lau, S., & Liau, A. K. (2012). The teacher efficacy scale: A reliability and validity study. The Asia-Pacific Education Researcher, 21(2), 414–421. Available online: http://hdl.handle.net/10722/169108 (accessed on 2 July 2024).
- Nunnally, J. C., & Bernstein, I. H. (1994). Psychometric theory (3rd ed.). McGraw-Hill. [Google Scholar]
- Pereira, A. J., & Tay, L. Y. (2023). Governmental neoliberal teacher professionalism: The constrained freedom of choice for teachers’ professional development. Teaching and Teacher Education, 125, 104045. [Google Scholar] [CrossRef]
- Pintus, A., Bertolini, C., Scipione, L., & Antonietti, M. (2021). Validity and reliability of the Italian version of the Teachers’ Sense of Efficacy Scale. International Journal of Educational Management, 35(6), 1166–1175. [Google Scholar] [CrossRef]
- Plourde, L. A. (2002). The influence of student teaching on pre-service elementary teachers’ science self-efficacy and outcome expectancy beliefs. Journal of Instructional Psychology, 29(4), 245–253. [Google Scholar] [CrossRef]
- Poulou, M. (2007). Personal teaching efficacy and its sources: Student teachers’ perceptions. Educational Psychology, 27(2), 191–218. [Google Scholar] [CrossRef]
- Putnick, D. L., & Bornstein, M. H. (2016). Measurement invariance conventions and reporting: The state of the art and future directions for psychological research. Developmental Review, 41, 71–90. [Google Scholar] [CrossRef] [PubMed]
- Ruan, J., Nie, Y., Hong, J., Monobe, G., Zheng, G., Kambara, H., & You, S. (2015). Cross-Cultural validation of teachers’ sense of efficacy scale in three asian countries: Test of measurement invariance. Journal of Psychoeducational Assessment, 33(8), 769–779. [Google Scholar] [CrossRef]
- Sak, R. (2015). Comparison of self-efficacy between male and female pre-service early childhood teachers. Early Child Development and Care, 185(10), 1629–1640. [Google Scholar] [CrossRef]
- Salas-Rodríguez, F., Lara, S., & Martínez, M. (2021). Spanish version of the teachers’ sense of efficacy scale: An adaptation and validation study. Frontiers in Psychology, 12, 714145. [Google Scholar] [CrossRef]
- Singh, K., Junnarkar, M., & Kaur, J. (2016). Measures of positive psychology: Development and validation. Springer Science + Business Media. [Google Scholar] [CrossRef]
- Smith, J., & Hu, R. (2013). Rethinking teacher education: Synchronizing eastern and western views of teaching and learning to promote 21st century skills and global perspectives. Education Research and Perspectives, 40, 86–108. [Google Scholar] [CrossRef]
- Stevenson, H. W., Lee, S., & Graham, T. (1993). Chinese and Japanese kindergartens: Case study in comparative research. In B. Spodek (Ed.), Handbook of research on the education of young children. Macmillan Publishing Company. [Google Scholar]
- Sun, Q., Kang, H., Chang, B., & Lausch, D. (2019). Teaching international students from Confucian Heritage Culture countries: Perspectives from three U.S. host campuses. Asia Pacific Education Review, 20, 559–572. [Google Scholar] [CrossRef]
- Tabachnick, B. G., & Fidell, L. S. (2013). Using multivariate statistics (6th ed.). Pearson. [Google Scholar]
- Terwee, C. B., Bot, S. D. M., De Boer, M. R., Van Der Windt, D. A. W. M., Knol, D. L., Dekker, J., Bouter, L. M., & De Vet, H. C. W. (2007). Quality criteria were proposed for measurement properties of health status questionnaires. Journal of Clinical Epidemiology, 60(1), 34–42. [Google Scholar] [CrossRef] [PubMed]
- Thanh, P. T. H. (2012). A framework to implement cross-cultural pedagogy: The case of implementing learning reform at Confucian heritage. Higher Education Review, 44(3), 27–40. [Google Scholar]
- Tschannen-Moran, M., & Hoy, A. W. (2001). Teacher efficacy: Capturing an elusive construct. Teaching and Teacher Education, 17(7), 783–805. [Google Scholar] [CrossRef]
- Tschannen-Moran, M., Hoy, A. W., & Hoy, W. K. (1998). Teacher efficacy: Its meaning and measure. Review of Educational Research, 68(2), 202–248. [Google Scholar] [CrossRef]
- Tsigilis, N., Koustelios, A., & Grammatikopoulos, V. (2010). Psychometric properties of the teachers’ sense of efficacy scale within the Greek educational context. Journal of Psychoeducational Assessment, 28(2), 153–162. [Google Scholar] [CrossRef]
- Tsui, K. T., & Kennedy, K. J. (2009). Evaluating the Chinese version of the teacher sense of efficacy scale (C-TSE): Translation adequacy and factor structure. The Asia-Pacific Education Researcher, 18(2), 245–260. [Google Scholar] [CrossRef]
- Valls, M., Bonvin, P., & Benoit, V. (2020). Psychometric properties of the French version of the teachers’ sense of efficacy scale (TSES-12f). European Review of Applied Psychology, 70(3), 100551. [Google Scholar] [CrossRef]
- Wang, X. Q., Zeng, L. H., Zhang, D. J., & Li, S. (2013). An initial research on the professional identification scale for normal students. Journal of Southwest University (Social Sciences Edition), 36(5), 152–157. [Google Scholar] [CrossRef]
- Wang, X. Q., Zhu, J. C., Liu, L., & Chen, X. Q. (2017). Cognitive-processing bias in Chinese student teachers with strong and weak professional identity. Frontiers in Psychology, 8, 784. [Google Scholar] [CrossRef]
- Wang, X. Q., Zhu, J. C., Liu, L., Chen, X. Y., & Huo, J. Y. (2018). Active construction of profession-related events: The priming effect among pre-service teachers with different professional identity. Frontiers in Psychology, 9, 233. [Google Scholar] [CrossRef] [PubMed]
- Wang, Y., Liu, C., & Wang, Y. (2022). The relationship between pre-service kindergarten teachers’ professional identification and career adaptability: A chain mediation model. Frontiers in Psychology, 13, 1045947. [Google Scholar] [CrossRef]
- Widaman, K. F., & Reise, S. P. (1997). Exploring the measurement invariance of psychological instruments: Applications in the substance use domain. In K. J. Bryant, M. E. Windle, & S. G. West (Eds.), The science of prevention: Methodological advances from alcohol and substance abuse research (pp. 281–324). American Psychological Association. [Google Scholar]
- Woolfolk, A. E., Rosoff, B., & Hoy, W. (1990). Teachers’ sense of efficacy and their beliefs about managing student. Teaching and Teacher Education, 6(3), 137–148. [Google Scholar] [CrossRef]
- Yilmaz, C. (2011). Teachers’ perceptions of self-efficacy, English proficiency, and instructional strategies. Social Behavior and Personality, 39(1), 91–100. [Google Scholar] [CrossRef]
- Yim, E. P. (2023). Self-efficacy for learning beliefs in collaborative contexts: Relations to pre-service early childhood teachers’ vicarious teaching self-efficacy. Frontiers in Education, 8, 1210664. [Google Scholar] [CrossRef]
- Zarrinabadi, N., Jamalvandi, B., & Rezazadeh, M. (2023). Investigating fixed and growth teaching mindsets and self-efficacy as predictors of language teachers’ burnout and professional identity. Language Teaching Research, 1–19. [Google Scholar] [CrossRef]
- Zhang, J. (2019). An empirical study on professional self-efficacy and professional identity of interns majoring in pre-school education in vocational colleges. Theory and Practice of Education, 39(9), 21–23. [Google Scholar]
- Zhang, L. Y., Chen, M. R., Zeng, X. Q., & Wang, X. Q. (2018). The Relationship between professional identity and career maturity among pre-service kindergarten teachers: The mediating effect of learning engagement. Open Journal of Social Sciences, 6, 167–186. [Google Scholar] [CrossRef]

| Variables | N (%) | SD | Variables | N (%) | SD |
|---|---|---|---|---|---|
| Gender | 0.27 | Home Province | 8.32 | ||
| Male | 31 (7.7) | Hainan | 144 (35.8) | ||
| Anhui | 10 (2.5) | ||||
| Female | 371 (92.3) | Fujian | 14 (3.5) | ||
| Age | 1.35 | Gansu | 6 (1.5) | ||
| 18 | 22 (5.5) | Guangdong | 10 (2.5) | ||
| Guangxi | 20 (5.0) | ||||
| 19 | 75 (18.7) | Guizhou | 18 (4.5) | ||
| Hebei | 9 (2.2) | ||||
| 20 | 132 (32.8) | Henan | 21 (5.2) | ||
| Heilongjiang | 1 (0.2) | ||||
| 21 | 100 (24.9) | Hubei | 7 (1.7) | ||
| Hunan | 21 (5.2) | ||||
| 22 | 40 (10) | Jilin | 6 (1.5) | ||
| Jiangxi | 10 (2.5) | ||||
| 23 | 21 (5.2) | Liaoning | 7 (1.7) | ||
| Inner Mongolia | 5 (1.2) | ||||
| 24 | 12 (3.0) | Qinghai | 4 (1.0) | ||
| College year | 0.87 | Shandong | 5 (1.2) | ||
| Freshman | 94 (23.4) | Shanxi | 6 (1.5) | ||
| (first year) | Shaanxi | 9 (2.2) | |||
| Sophomore | 119 (29.6) | Sichuan | 17 (4.2) | ||
| (second year) | Tibet | 16 (4.0) | |||
| Junior | 171 (42.5) | Xinjiang | 14 (3.5) | ||
| (third year) | Yunnan | 7 (1.7) | |||
| Senior | 18 (4.5) | Zhejiang | 7 (1.7) | ||
| (fourth year) | Chongqing | 8 (2.0) |
| Factor | Item | Item No. |
|---|---|---|
| IS | 1. To what extent can you use a variety of assessment strategies? | 4 |
| 2. To what extent can you provide an alternative explanation or example when children are confused? | ||
| 3. To what extent can you craft good questions for your children? | ||
| 4. How well can you implement alternative strategies in your classroom? | ||
| CM | 5. How much can you do to control disruptive behavior in the classroom? | 4 |
| 6. How much can you do to get children to follow classroom rules? | ||
| 7. How much can you do to calm a child who is disruptive or noisy? | ||
| 8. How well can you establish a classroom management system with each group of children? | ||
| SE | 9. How much can you do to get children to believe they can do well in educational and instructional activities? | 4 |
| 10. How much can you do to help your children value learning? | ||
| 11. How much can you do to motivate children who show low interest in educational and instructional activities? | ||
| 12. How much can you assist families in helping their children do well in kindergarten? |
| Item | Sample (n = 402) | |||||
|---|---|---|---|---|---|---|
| M | SD | Skewness | Std. Error | Kurtosis | Std. Error | |
| 1 | 5.72 | 1.22 | −0.03 | 0.12 | 0.44 | 0.24 |
| 2 | 6.06 | 1.19 | 0.00 | 0.12 | 0.20 | 0.24 |
| 3 | 6.00 | 1.26 | −0.33 | 0.12 | 0.48 | 0.24 |
| 4 | 5.72 | 1.26 | 0.02 | 0.12 | 0.09 | 0.24 |
| 5 | 5.67 | 1.23 | −0.11 | 0.12 | −0.33 | 0.24 |
| 6 | 5.88 | 1.24 | −0.06 | 0.12 | −0.31 | 0.24 |
| 7 | 5.82 | 1.23 | 0.13 | 0.12 | 0.04 | 0.24 |
| 8 | 5.65 | 1.24 | −0.07 | 0.12 | −0.12 | 0.24 |
| 9 | 6.14 | 1.20 | 0.06 | 0.12 | −0.26 | 0.24 |
| 10 | 6.08 | 1.16 | −0.11 | 0.12 | 0.03 | 0.24 |
| 11 | 5.86 | 1.16 | −0.07 | 0.12 | −0.06 | 0.24 |
| 12 | 5.66 | 1.28 | 0.01 | 0.12 | −0.31 | 0.24 |
| No. of Factors | Item No. | χ2 | df | χ2/df | GFI | RMSEA | NFI | IFI | TLI (NNFI) | CFI | AIC | ECVI | |
|---|---|---|---|---|---|---|---|---|---|---|---|---|---|
| Model 1 | 1 | 12 | 337.53 | 54 | 6.25 | 0.87 | 0.114 | 0.89 | 0.91 | 0.89 | 0.91 | 385.53 | 0.96 |
| Model 2 | 2 | 12 | 314.00 | 53 | 5.92 | 0.88 | 0.111 | 0.90 | 0.92 | 0.90 | 0.92 | 364.00 | 0.91 |
| Model 3 | 3 | 12 | 197.24 | 51 | 3.87 | 0.92 | 0.085 | 0.94 | 0.95 | 0.94 | 0.95 | 251.24 | 0.63 |
| Model 4 | 3 | 11 | 142.67 | 41 | 3.48 | 0.94 | 0.079 | 0.95 | 0.96 | 0.95 | 0.96 | 192.67 | 0.48 |
| Model 5 | 3 | 11 | 168.74 | 41 | 4.12 | 0.92 | 0.088 | 0.94 | 0.95 | 0.94 | 0.95 | 218.74 | 0.55 |
| Model 6 | Bi-factor model | 12 | 134.44 | 44 | 3.06 | 0.95 | 0.072 | 0.96 | 0.94 | 0.96 | 0.97 | 202.44 | 0.51 |
| CR | AVE | |||||||
|---|---|---|---|---|---|---|---|---|
| IS | CM | SE | TS | IS | CM | SE | TS | |
| Model 2 | - | 0.89 | - | 0.89 | - | 0.62 | - | 0.54 |
| Model 3 | 0.86 | 0.88 | 0.85 | - | 0.61 | 0.64 | 0.58 | - |
| Model 4 | 0.86 | 0.86 | 0.85 | - | 0.61 | 0.67 | 0.58 | - |
| Model 5 | 0.87 | 0.86 | 0.83 | - | 0.58 | 0.67 | 0.61 | - |
| Model 6 | 0.36 | 0.31 | 0.57 | - | 0.19 | 0.13 | 0.51 | - |
| Model | χ2 | df | CFI | RMSEA | Δχ2 | Δdf | ΔCFI | ΔRMSEA |
|---|---|---|---|---|---|---|---|---|
| Age | ||||||||
| Configural invariance | 235.38 | 82 | 0.945 | 0.068 | - | - | - | - |
| Metric invariance | 241.94 | 90 | 0.946 | 0.065 | 6.56 | 8 | 0.001 | 0.003 |
| Scalar invariance | 256.99 | 101 | 0.944 | 0.062 | 15.05 | 11 | 0.002 | 0.003 |
| Residual invariance | 301.46 | 118 | 0.934 | 0.062 | 44.47 *** | 17 | 0.010 | 0.001 |
| College Year | ||||||||
| Configural invariance | 244.81 | 82 | 0.941 | 0.070 | - | - | - | - |
| Metric invariance | 247.32 | 90 | 0.943 | 0.066 | 2.51 | 8 | 0.002 | 0.004 |
| Scalar invariance | 251.79 | 101 | 0.945 | 0.061 | 6.98 | 11 | 0.002 | 0.005 |
| Residual invariance | 264.32 | 118 | 0.947 | 0.056 | 12.53 | 17 | 0.002 | 0.005 |
| C-TSES-SF | IS | CM | SE | |
|---|---|---|---|---|
| C-TSES-SF | 1 | |||
| IS | 0.90 *** | 1 | ||
| CM | 0.89 *** | 0.69 *** | 1 | |
| SE | 0.92 *** | 0.73 *** | 0.76 *** | 1 |
| C-TSES-SF | IS | CM | SE | |
|---|---|---|---|---|
| STPIS | 0.56 *** | 0.45 *** | 0.62 *** | 0.48 *** |
| PVa | 0.30 *** | 0.23 *** | 0.34 *** | 0.25 *** |
| PE | 0.55 *** | 0.45 *** | 0.63 *** | 0.44 *** |
| PW | 0.39 *** | 0.34 *** | 0.39 *** | 0.33 *** |
| PVo | 0.33 *** | 0.23 *** | 0.36 *** | 0.32 *** |
Disclaimer/Publisher’s Note: The statements, opinions and data contained in all publications are solely those of the individual author(s) and contributor(s) and not of MDPI and/or the editor(s). MDPI and/or the editor(s) disclaim responsibility for any injury to people or property resulting from any ideas, methods, instructions or products referred to in the content. |
© 2025 by the authors. Licensee MDPI, Basel, Switzerland. This article is an open access article distributed under the terms and conditions of the Creative Commons Attribution (CC BY) license (https://creativecommons.org/licenses/by/4.0/).
Share and Cite
Shao, M.; Muhamad, M.M.; Razali, F.; Mohd Nasiruddin, N.J.; Sha, X.; Yin, G. The Chinese Adaptation of the Teachers’ Sense of Efficacy Scale in Early Childhood Pre-Service Teachers: Validity, Measurement Invariance, and Reliability. Behav. Sci. 2025, 15, 329. https://doi.org/10.3390/bs15030329
Shao M, Muhamad MM, Razali F, Mohd Nasiruddin NJ, Sha X, Yin G. The Chinese Adaptation of the Teachers’ Sense of Efficacy Scale in Early Childhood Pre-Service Teachers: Validity, Measurement Invariance, and Reliability. Behavioral Sciences. 2025; 15(3):329. https://doi.org/10.3390/bs15030329
Chicago/Turabian StyleShao, Mingxing, Mohd Mokhtar Muhamad, Fazilah Razali, Nasnoor Juzaily Mohd Nasiruddin, Xinchong Sha, and Guoqiang Yin. 2025. "The Chinese Adaptation of the Teachers’ Sense of Efficacy Scale in Early Childhood Pre-Service Teachers: Validity, Measurement Invariance, and Reliability" Behavioral Sciences 15, no. 3: 329. https://doi.org/10.3390/bs15030329
APA StyleShao, M., Muhamad, M. M., Razali, F., Mohd Nasiruddin, N. J., Sha, X., & Yin, G. (2025). The Chinese Adaptation of the Teachers’ Sense of Efficacy Scale in Early Childhood Pre-Service Teachers: Validity, Measurement Invariance, and Reliability. Behavioral Sciences, 15(3), 329. https://doi.org/10.3390/bs15030329

